Trắc nghiệm Biến đổi đơn giản biểu thức chứa căn thức bậc hai (có đáp án - phần 2)
Tài liệu bài tập trắc nghiệm Biến đổi đơn giản biểu thức chứa căn thức bậc hai lớp 9 có đáp án với các dạng bài tập cơ bản, nâng cao đầy đủ các mức độ: nhận biết, thông hiểu, vận dụng, vận dụng cao sẽ giúp học sinh ôn luyện và biết cách làm bài tập Toán 9.
Trắc nghiệm Biến đổi đơn giản biểu thức chứa căn thức bậc hai (có đáp án - phần 2)
(199k) Học Toán 9 KNTTHọc Toán 9 CDHọc Toán 9 CTST
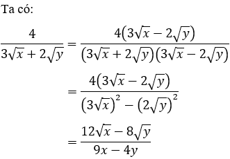
Câu 1: Rút gọn biểu thức với x ≥ 0; y ≥ 0 ta được kết quả là:
Lời giải:
Đáp án cần chọn là: A
Câu 2: Giá trị của biểu thức là:
Lời giải:
Đáp án cần chọn là: A
Câu 3: Rút gọn biểu thức với a > 0, ta được kết quả là:
Lời giải:
Đáp án cần chọn là: B
Câu 4: Trục căn thức ở mẫu biểu thức với a ≥ 0; a ≠ 4 ta được:
Lời giải:
Đáp án cần chọn là: C
Câu 5: Trục căn thức ở mẫu biểu thức với a ≥ 0; a ≠ 12 ta được:
Lời giải:
Đáp án cần chọn là: D
Câu 6: Trục căn thức ở mẫu biểu thức với x ≥ 0; y ≥ 0 ta được:
Lời giải:
Đáp án cần chọn là: C
Câu 7: Trục căn thức ở mẫu biểu thức ta được:
Lời giải:
Đáp án cần chọn là: D
Câu 8: Tính giá trị biểu thức
A. −3
B. −2
C. 2
D. 3
Lời giải:
Đáp án cần chọn là: B
Câu 9: Tính giá trị biểu thức
A. 28
B. 14
C. −14
D. 15
Lời giải:
Đáp án cần chọn là: B
Câu 10: Giá trị biểu thức là giá trị nào sau đây?
Lời giải:
Đáp án cần chọn là: A
Câu 11: Cho ba biểu thức .
Biểu thức nào bằng với biểu thức
với x, y không âm?
A. P
B. Q
C. R
D. P – Q
Lời giải:
Đáp án cần chọn là: C
Câu 12: Cho ba biểu thức:
Biểu thức nào bằng với biểu thức với x, y, x ≠ y không âm.
A. M
B. N
C. P
D. M.N
Lời giải:
Đáp án cần chọn là: B
Câu 13: Số nghiệm của phương trình là:
A. 1
B. 0
C. 3
D. 2
Lời giải:
Ta có
Đáp án cần chọn là: D
Câu 14: Số nghiệm của phương trình là:
A. 1
B. 0
C. 3
D. 2
Lời giải:
Đáp án cần chọn là: D
Câu 15: Phương trình có mấy nghiệm?
A. 1
B. 0
C. 3
D. 2
Lời giải:
Vậy phương trình có một nghiệm x = 2
Đáp án cần chọn là: A
Câu 16: Phương trình có nghiệm là?
A. x = 8
B. x = 4
C. x = 2
D. x = 6
Lời giải:
Vậy phương trình có một nghiệm x = 6
Đáp án cần chọn là: D
Câu 17: Giá trị của biểu thức là:
A. 1
B. 0
C. 3
D. 2
Lời giải:
Đáp án cần chọn là: B
Câu 18: Rút gọn biểu thức ta được:
A. 2a
B. a
C. 3a
D. 12a
Lời giải:
Đáp án cần chọn là: B
Câu 19: Rút gọn biểu thức ta được:
Lời giải:
Đáp án cần chọn là: D
(199k) Học Toán 9 KNTTHọc Toán 9 CDHọc Toán 9 CTST
Xem thêm bài tập trắc nghiệm Toán lớp 9 có lời giải hay khác:
- Trắc nghiệm Biến đổi đơn giản biểu thức chứa căn thức bậc hai (có đáp án)
- Trắc nghiệm Rút gọn biểu thức chứa căn thức bậc hai (có đáp án)
- Trắc nghiệm Rút gọn biểu thức chứa căn thức bậc hai (có đáp án - phần 2)
- Trắc nghiệm Căn bậc ba (có đáp án)
Tủ sách VIETJACK luyện thi vào 10 cho 2k11 (2026):
Đã có app VietJack trên điện thoại, giải bài tập SGK, SBT Soạn văn, Văn mẫu, Thi online, Bài giảng....miễn phí. Tải ngay ứng dụng trên Android và iOS.
Theo dõi chúng tôi miễn phí trên mạng xã hội facebook và youtube:Loạt bài Chuyên đề: Lý thuyết - Bài tập Toán lớp 9 Đại số và Hình học có đáp án có đầy đủ Lý thuyết và các dạng bài được biên soạn bám sát nội dung chương trình sgk Đại số 9 và Hình học 9.
Nếu thấy hay, hãy động viên và chia sẻ nhé! Các bình luận không phù hợp với nội quy bình luận trang web sẽ bị cấm bình luận vĩnh viễn.
- Giải Tiếng Anh 9 Global Success
- Giải sgk Tiếng Anh 9 Smart World
- Giải sgk Tiếng Anh 9 Friends plus
- Lớp 9 Kết nối tri thức
- Soạn văn 9 (hay nhất) - KNTT
- Soạn văn 9 (ngắn nhất) - KNTT
- Giải sgk Toán 9 - KNTT
- Giải sgk Khoa học tự nhiên 9 - KNTT
- Giải sgk Lịch Sử 9 - KNTT
- Giải sgk Địa Lí 9 - KNTT
- Giải sgk Giáo dục công dân 9 - KNTT
- Giải sgk Tin học 9 - KNTT
- Giải sgk Công nghệ 9 - KNTT
- Giải sgk Hoạt động trải nghiệm 9 - KNTT
- Giải sgk Âm nhạc 9 - KNTT
- Giải sgk Mĩ thuật 9 - KNTT
- Lớp 9 Chân trời sáng tạo
- Soạn văn 9 (hay nhất) - CTST
- Soạn văn 9 (ngắn nhất) - CTST
- Giải sgk Toán 9 - CTST
- Giải sgk Khoa học tự nhiên 9 - CTST
- Giải sgk Lịch Sử 9 - CTST
- Giải sgk Địa Lí 9 - CTST
- Giải sgk Giáo dục công dân 9 - CTST
- Giải sgk Tin học 9 - CTST
- Giải sgk Công nghệ 9 - CTST
- Giải sgk Hoạt động trải nghiệm 9 - CTST
- Giải sgk Âm nhạc 9 - CTST
- Giải sgk Mĩ thuật 9 - CTST
- Lớp 9 Cánh diều
- Soạn văn 9 Cánh diều (hay nhất)
- Soạn văn 9 Cánh diều (ngắn nhất)
- Giải sgk Toán 9 - Cánh diều
- Giải sgk Khoa học tự nhiên 9 - Cánh diều
- Giải sgk Lịch Sử 9 - Cánh diều
- Giải sgk Địa Lí 9 - Cánh diều
- Giải sgk Giáo dục công dân 9 - Cánh diều
- Giải sgk Tin học 9 - Cánh diều
- Giải sgk Công nghệ 9 - Cánh diều
- Giải sgk Hoạt động trải nghiệm 9 - Cánh diều
- Giải sgk Âm nhạc 9 - Cánh diều
- Giải sgk Mĩ thuật 9 - Cánh diều


Giải bài tập SGK & SBT
Tài liệu giáo viên
Sách
Khóa học
Thi online
Hỏi đáp

