Trắc nghiệm Hệ hai phương trình bậc nhất hai ẩn (có đáp án)
Tài liệu bài tập trắc nghiệm Hệ hai phương trình bậc nhất hai ẩn lớp 9 có đáp án với các dạng bài tập cơ bản, nâng cao đầy đủ các mức độ: nhận biết, thông hiểu, vận dụng, vận dụng cao sẽ giúp học sinh ôn luyện và biết cách làm các dạng bài tập Toán 9.
Trắc nghiệm Hệ hai phương trình bậc nhất hai ẩn (có đáp án)
(199k) Học Toán 9 KNTTHọc Toán 9 CDHọc Toán 9 CTST
Câu 1: Hệ phương trình có nghiệm duy nhất khi
Lời giải:
Đáp án cần chọn là: A
Câu 2: Hệ phương trình (các hệ số a’; b’; c’ khác 0) vô số nghiệm khi?
Lời giải:
Hệ phương trình
có vô số nghiệm khi d: ax + by = c và d’: a’x + b’y = c’ trùng nhau, suy ra hệ phương trình có vô số nghiệm
Đáp án cần chọn là: B
Câu 3: Hệ phương trình bậc nhất hai ẩn (các hệ số khác 0) vô nghiệm khi?
Lời giải:
Xét hệ phương trình bậc nhất hai ẩn (các hệ số khác 0)
Đáp án cần chọn là: B
Câu 4: Hệ phương trình có các hệ số khác 0 và
. Chọn câu đúng.
A. Hệ phương trình có nghiệm duy nhất
B. Hệ phương trình vô nghiệm
C. Hệ phương trình vô số nghiệm
D. Chưa kết luận được về nghiệm của hệ
Lời giải:
Đáp án cần chọn là: B
Câu 5: Không giải hệ phương trình, dự đoán số nghiệm của hệ
A. Vô số nghiệm
B. Vô nghiệm
C. Có nghiệm duy nhất
D. Có hai nghiệm phân biệt
Lời giải:
Xét hệ phương trình nên hệ phương trình có nghiệm duy nhất
Đáp án cần chọn là: C
Câu 6: Không giải hệ phương trình, dự đoán số nghiệm của hệ
A. Vô số nghiệm
B. Vô nghiệm
C. Có nghiệm duy nhất
D. Có hai nghiệm phân biệt
Lời giải:
Xét hệ phương trình nên hệ phương trình có nghiệm duy nhất
Đáp án cần chọn là: C
Câu 7: Xác định giá trị của tham số m để hệ phương trình vô nghiệm
Lời giải:
Để hệ phương trình
Đáp án cần chọn là: A
Câu 8: Xác định giá trị của tham số m để hệ phương trình vô nghiệm
A. m = 1
B. m = −1
C. m = 3
D. m = −3
Lời giải:
Để hệ phương trình
vô nghiệm thì đường thẳng d: y = 2x – 4 song song với đường thẳng d’:
suy ra
Đáp án cần chọn là: D
Câu 9: Không giải hệ phương trình, dự đoán số nghiệm của hệ
A. Vô số nghiệm
B. Vô nghiệm
C. Có nghiệm duy nhất
D. Có hai nghiệm phân biệt
Lời giải:
Đáp án cần chọn là: B
Câu 10: Cho hệ (I): . Chọn kết luận đúng.
A. Hai hệ đã cho đều vô nghiệm
B. Hai hệ đã cho đều có nghiệm duy nhất
C. Hệ (I) vô nghiệm, hệ (II) có nghiệm duy nhất
D. Hệ (I) và (II) đều có vô số nghiệm
Lời giải:
Xét hệ (I):
Nhận thấy rằng hai đường thẳng (d1): y = x + 1 và (d2): y = x + 1 trùng nhau nên hệ (I) có vô số nghiệm.
Nhận thấy rằng hai đường thẳng trùng nhau nên hệ (II) có vô số nghiệm
Đáp án cần chọn là: D
Câu 11: Xác định giá trị của tham số m để hệ phương trình có nghiệm duy nhất
A. m ≠ 2
B. m ≠ −2
C. m = 2
D. m ≠ ± 2
Lời giải:
Để hệ phương trình có nghiệm duy nhất thì
Đáp án cần chọn là: D
Câu 12: Xác định giá trị của tham số m để hệ phương trình có nghiệm duy nhất.
A. m ≠ 0
B. m ≠ 2
C. m ≠ {0;3}
D. m = 0; m = 3
Lời giải:
Nhận thấy hệ này có nghiệm duy nhất vì hai đường thẳng cắt nhau
Để hệ phương trình đã cho có nghiệm duy nhất thì hai đường thẳng:
cắt nhau
Suy ra m ≠ {0; 2; 3}
Kết hợp cả TH1 và TH2 ta có m ≠ {0; 3}
Vậy hệ phương trình đã cho có nghiệm duy nhất khi m ≠ {0; 3}
Đáp án cần chọn là: C
Câu 13: Hệ phương trình nhận cặp số nào sau đây là nghiệm?
A. (−21; 15)
B. (21; −15)
C. (1; 1)
D. (1; −1)
Lời giải:
Thay lần lượt các cặp số (−21; 15); (21; −15); (1; 1) và (1; −1) vào hệ phương trình ta được:
+) Với cặp số (21; −15) thì ta có (vô lý) nên loại B
+) Với cặp số (1; 1) thì ta có (vô lý) nên loại C
+) Với cặp số (1; −1) thì ta có (vô lý) nên loại D
+) Với cặp số (−21; 15) thì ta có (luôn đúng) nên chọn A
Đáp án cần chọn là: A
Câu 14: Hệ phương trình nhận cặp số nào sau đây là nghiệm?
A. (1; 2)
B. (8; −3)
C. (3; −8)
D. (3; 8)
Lời giải:
+) Với cặp số (1; 2) thì ta có (vô lý) nên loại A
+) Với cặp số (8; −3) thì ta có (vô lý) nên loại B
+) Với cặp số (3; 8) thì ta có (vô lý) nên loại D
+) Với cặp số (3; −8) thì ta có (luôn đúng) nên chọn C
Đáp án cần chọn là: C
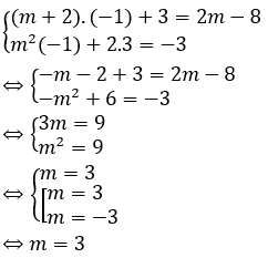
Câu 15: Cho hệ phương trình . Tìm các giá trị của tham số m để hệ phương trình nhận cặp (1; 2) làm nghiệm
A. m = 0
B. m = −1
C. m = −2
D. m = 3
Lời giải:
Để hệ phương trình nhận cặp (1; 2) làm nghiệm thì
Vậy m = −2
Đáp án cần chọn là: C
Câu 16: Cho hệ phương trình . Tìm các giá trị của tham số m để hệ phương trình nhận cặp số (−1; 3) làm nghiệm
A. m = 0
B. m = −2
C. m = −3
D. m = 3
Lời giải:
Để hệ phương trình nhận cặp số (−1; 3) làm nghiệm thì
Vậy m = 3
Đáp án cần chọn là: D
Câu 17: Cặp số (−2; −3) là nghiệm của hệ phương trình nào sau đây?
Lời giải:
Đáp án cần chọn là: C
Câu 18: Cặp số (3;−5) là nghiệm của hệ phương trình nào sau đây?
Lời giải:
Đáp án cần chọn là: B
Câu 19: Cho hệ phương trình: . Xác định các giá trị của tham số m để hệ phương trình vô số nghiệm
A. m = 0
B. m = 1
C. m = 2
D. m = 3
Lời giải:
Để hệ phương trình có vô số nghiệm thì
Đáp án cần chọn là: B
Câu 20: Cho hệ phương trình: . Xác định các giá trị của tham số m để hệ phương trình vô nghiệm.
A. m = 0
B. m = 2
C. m = −2
D. m = −3
Lời giải:
+ TH1: Với m = 0 ta có hệ hay hệ phương trình có nghiệm duy nhất nên loại m = 0
+ TH2: Với m 0
Để hệ phương trình có vô số nghiệm thì
Đáp án cần chọn là: C
(199k) Học Toán 9 KNTTHọc Toán 9 CDHọc Toán 9 CTST
Xem thêm bài tập trắc nghiệm Toán lớp 9 có lời giải hay khác:
- Trắc nghiệm Phương trình bậc nhất hai ẩn (có đáp án)
- Trắc nghiệm Phương trình bậc nhất hai ẩn (có đáp án - phần 2)
- Trắc nghiệm Giải hệ phương trình bằng phương pháp thế (có đáp án)
- Trắc nghiệm Giải hệ phương trình bằng phương pháp cộng đại số (có đáp án)
Tủ sách VIETJACK luyện thi vào 10 cho 2k11 (2026):
Đã có app VietJack trên điện thoại, giải bài tập SGK, SBT Soạn văn, Văn mẫu, Thi online, Bài giảng....miễn phí. Tải ngay ứng dụng trên Android và iOS.
Theo dõi chúng tôi miễn phí trên mạng xã hội facebook và youtube:Loạt bài Chuyên đề: Lý thuyết - Bài tập Toán lớp 9 Đại số và Hình học có đáp án có đầy đủ Lý thuyết và các dạng bài được biên soạn bám sát nội dung chương trình sgk Đại số 9 và Hình học 9.
Nếu thấy hay, hãy động viên và chia sẻ nhé! Các bình luận không phù hợp với nội quy bình luận trang web sẽ bị cấm bình luận vĩnh viễn.
- Giải Tiếng Anh 9 Global Success
- Giải sgk Tiếng Anh 9 Smart World
- Giải sgk Tiếng Anh 9 Friends plus
- Lớp 9 Kết nối tri thức
- Soạn văn 9 (hay nhất) - KNTT
- Soạn văn 9 (ngắn nhất) - KNTT
- Giải sgk Toán 9 - KNTT
- Giải sgk Khoa học tự nhiên 9 - KNTT
- Giải sgk Lịch Sử 9 - KNTT
- Giải sgk Địa Lí 9 - KNTT
- Giải sgk Giáo dục công dân 9 - KNTT
- Giải sgk Tin học 9 - KNTT
- Giải sgk Công nghệ 9 - KNTT
- Giải sgk Hoạt động trải nghiệm 9 - KNTT
- Giải sgk Âm nhạc 9 - KNTT
- Giải sgk Mĩ thuật 9 - KNTT
- Lớp 9 Chân trời sáng tạo
- Soạn văn 9 (hay nhất) - CTST
- Soạn văn 9 (ngắn nhất) - CTST
- Giải sgk Toán 9 - CTST
- Giải sgk Khoa học tự nhiên 9 - CTST
- Giải sgk Lịch Sử 9 - CTST
- Giải sgk Địa Lí 9 - CTST
- Giải sgk Giáo dục công dân 9 - CTST
- Giải sgk Tin học 9 - CTST
- Giải sgk Công nghệ 9 - CTST
- Giải sgk Hoạt động trải nghiệm 9 - CTST
- Giải sgk Âm nhạc 9 - CTST
- Giải sgk Mĩ thuật 9 - CTST
- Lớp 9 Cánh diều
- Soạn văn 9 Cánh diều (hay nhất)
- Soạn văn 9 Cánh diều (ngắn nhất)
- Giải sgk Toán 9 - Cánh diều
- Giải sgk Khoa học tự nhiên 9 - Cánh diều
- Giải sgk Lịch Sử 9 - Cánh diều
- Giải sgk Địa Lí 9 - Cánh diều
- Giải sgk Giáo dục công dân 9 - Cánh diều
- Giải sgk Tin học 9 - Cánh diều
- Giải sgk Công nghệ 9 - Cánh diều
- Giải sgk Hoạt động trải nghiệm 9 - Cánh diều
- Giải sgk Âm nhạc 9 - Cánh diều
- Giải sgk Mĩ thuật 9 - Cánh diều


Giải bài tập SGK & SBT
Tài liệu giáo viên
Sách
Khóa học
Thi online
Hỏi đáp

