Trắc nghiệm Liên hệ giữa phép chia và phép khai phương (có đáp án)
Tài liệu bài tập trắc nghiệm Liên hệ giữa phép chia và phép khai phương lớp 9 có đáp án với các dạng bài tập cơ bản, nâng cao đầy đủ các mức độ: nhận biết, thông hiểu, vận dụng, vận dụng cao sẽ giúp học sinh ôn luyện và biết cách làm các dạng bài tập Toán 9.
Trắc nghiệm Liên hệ giữa phép chia và phép khai phương (có đáp án)
(199k) Học Toán 9 KNTTHọc Toán 9 CDHọc Toán 9 CTST
Câu 1: Rút gọn biểu thức , ta được:
Lời giải:
Đáp án cần chọn là: C
Câu 2: Rút gọn biểu thức: với a, b > 0, ta được:
Lời giải:
(vì a, b > 0 ⇒ a + b > 0 ⇒ |a + b| = a + b)
Đáp án cần chọn là: B
Câu 3: Rút gọn biểu thức với b ≠ 0 ta được?
Lời giải:
Đáp án cần chọn là: D
Câu 4: Rút gọn biểu thức với m > 0; n < 0, ta được?
Lời giải:
Ta có:
(vì m > 0; n < 0)
Đáp án cần chọn là: A
Câu 5: Rút gọn biểu thức với ab ≠ 0, ta được?
Lời giải:
Đáp án cần chọn là: B
Câu 6: Rút gọn biểu thức với ab ≠ 0, ta được?
Lời giải:
Đáp án cần chọn là: A
Câu 7: Rút gọn biểu thức với x > 0, ta được?
Lời giải:
Đáp án cần chọn là: A
Câu 8: Rút gọn biểu thức với x > 0, ta được?
Lời giải:
Đáp án cần chọn là: C
Câu 9: Với x > 5, cho biểu thức và B = x.
Có bao nhiêu giá trị của x để A = B?
A. 1
B. 2
C. 0
D. Vô số
Lời giải:
Vậy không có giá trị nào của x thỏa mãn điều kiện đề bài.
Đáp án cần chọn là: C
Câu 10: Với x > 0, cho biểu thức và B = 2x.
Có bao nhiêu giá trị của x để A = B?
A. 1
B. 2
C. 0
D. Vô số
Lời giải:
Vậy có 1 giá trị của x thỏa mãn điều kiện đề bài.
Đáp án cần chọn là: A
Câu 11: Với x, y ≥ 0; x ≠ y, rút gọn biểu thức ta được?
Lời giải:
Đáp án cần chọn là: D
Câu 12: Với x, y ≥ 0; 3x ≠ y, rút gọn biểu thức ta được?
Lời giải:
Đáp án cần chọn là: C
Câu 13: Giá trị của biểu thức là?
Lời giải:
Đáp án cần chọn là: A
Câu 14: Giá trị của biểu thức là?
Lời giải:
Đáp án cần chọn là: B
Câu 15: Với a ≥ 0, b ≥ 0, a ≠ b, rút gọn biểu thức ta được?
Lời giải:
Đáp án cần chọn là: B
Câu 16: Với a≥0, b≥0, 2a≠3b, rút gọn biểu thức ta được?
Lời giải:
Đáp án cần chọn là: A
Câu 17: Khẳng định nào sau đây đúng về nghiệm x0 của phương trình: ?
A. x0 < 5
B. x0 > 8
C. x0 > 9
D. 5 < x0 < 7
Lời giải:
Đáp án cần chọn là: D
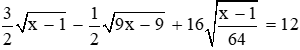
Câu 18: Chọn kết luận đúng về nghiệm x0 (nếu có) của phương trình:
A. x0 > 3
B. x0 = −13
C. x0 ∈ ∅
D. x0 = 13
Lời giải:
Vậy phương trình vô nghiệm
Đáp án cần chọn là: C
Câu 19: Nghiệm của phương trình là?
A. x = −9
B. x = 5
C. x = 8
D. x = 9
Lời giải:
Đáp án cần chọn là: D
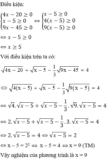
Câu 20: Nghiệm của phương trình là?
A. x = 37
B. x = 7
C. x = 35
D. x = 5
Lời giải:
Vậy nghiệm của phương trình là x = 37
Đáp án cần chọn là: A
(199k) Học Toán 9 KNTTHọc Toán 9 CDHọc Toán 9 CTST
Xem thêm bài tập trắc nghiệm Toán lớp 9 có lời giải hay khác:
- Trắc nghiệm Căn bậc hai (có đáp án)
- Trắc nghiệm Căn thức bậc hai và hằng đẳng thức (có đáp án)
- Trắc nghiệm Liên hệ giữa phép nhân và phép khai phương (có đáp án)
- Trắc nghiệm Biến đổi đơn giản biểu thức chứa căn thức bậc hai (có đáp án)
Tủ sách VIETJACK luyện thi vào 10 cho 2k11 (2026):
Đã có app VietJack trên điện thoại, giải bài tập SGK, SBT Soạn văn, Văn mẫu, Thi online, Bài giảng....miễn phí. Tải ngay ứng dụng trên Android và iOS.
Theo dõi chúng tôi miễn phí trên mạng xã hội facebook và youtube:Loạt bài Chuyên đề: Lý thuyết - Bài tập Toán lớp 9 Đại số và Hình học có đáp án có đầy đủ Lý thuyết và các dạng bài được biên soạn bám sát nội dung chương trình sgk Đại số 9 và Hình học 9.
Nếu thấy hay, hãy động viên và chia sẻ nhé! Các bình luận không phù hợp với nội quy bình luận trang web sẽ bị cấm bình luận vĩnh viễn.
- Giải Tiếng Anh 9 Global Success
- Giải sgk Tiếng Anh 9 Smart World
- Giải sgk Tiếng Anh 9 Friends plus
- Lớp 9 Kết nối tri thức
- Soạn văn 9 (hay nhất) - KNTT
- Soạn văn 9 (ngắn nhất) - KNTT
- Giải sgk Toán 9 - KNTT
- Giải sgk Khoa học tự nhiên 9 - KNTT
- Giải sgk Lịch Sử 9 - KNTT
- Giải sgk Địa Lí 9 - KNTT
- Giải sgk Giáo dục công dân 9 - KNTT
- Giải sgk Tin học 9 - KNTT
- Giải sgk Công nghệ 9 - KNTT
- Giải sgk Hoạt động trải nghiệm 9 - KNTT
- Giải sgk Âm nhạc 9 - KNTT
- Giải sgk Mĩ thuật 9 - KNTT
- Lớp 9 Chân trời sáng tạo
- Soạn văn 9 (hay nhất) - CTST
- Soạn văn 9 (ngắn nhất) - CTST
- Giải sgk Toán 9 - CTST
- Giải sgk Khoa học tự nhiên 9 - CTST
- Giải sgk Lịch Sử 9 - CTST
- Giải sgk Địa Lí 9 - CTST
- Giải sgk Giáo dục công dân 9 - CTST
- Giải sgk Tin học 9 - CTST
- Giải sgk Công nghệ 9 - CTST
- Giải sgk Hoạt động trải nghiệm 9 - CTST
- Giải sgk Âm nhạc 9 - CTST
- Giải sgk Mĩ thuật 9 - CTST
- Lớp 9 Cánh diều
- Soạn văn 9 Cánh diều (hay nhất)
- Soạn văn 9 Cánh diều (ngắn nhất)
- Giải sgk Toán 9 - Cánh diều
- Giải sgk Khoa học tự nhiên 9 - Cánh diều
- Giải sgk Lịch Sử 9 - Cánh diều
- Giải sgk Địa Lí 9 - Cánh diều
- Giải sgk Giáo dục công dân 9 - Cánh diều
- Giải sgk Tin học 9 - Cánh diều
- Giải sgk Công nghệ 9 - Cánh diều
- Giải sgk Hoạt động trải nghiệm 9 - Cánh diều
- Giải sgk Âm nhạc 9 - Cánh diều
- Giải sgk Mĩ thuật 9 - Cánh diều


Giải bài tập SGK & SBT
Tài liệu giáo viên
Sách
Khóa học
Thi online
Hỏi đáp

