Trắc nghiệm Bất đẳng thức (có lời giải)
Trắc nghiệm Bất đẳng thức< (có lời giải)/h2>
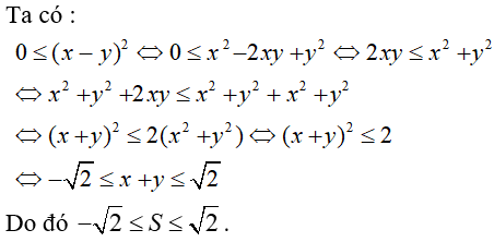
Bài 1: Cho các số thực x, y thỏa mãn x2 + y2 = 1. Kí hiệu S = x + y, khi đó khẳng định nào sau đây là đúng?
Chọn đáp án C
Bài 2: Cho số thực x > 2. Biểu thức nào luôn nhận giá trị nhỏ nhất trong các biểu thức sau: ?
Chọn đáp án B
Bài 3: Tìm giá trị nhỏ nhất của biểu thức f(x) = x2 - 6|x| với x ∈ R.
A. -9;
B. -6;
C. 0;
D. 3.
Chọn đáp án A
Bài 4: Tìm giá trị nhỏ nhất của biểu thức g(x) = x2 + 3|x| với x ∈ R.
Chọn đáp án C
Bài 5: Cho hai số thực a, b tùy ý. Mệnh đề nào sau đây là đúng?
Chọn đáp án B
Bài 6: Cho hai số thực a, b tùy ý. Mệnh đề nào sau đây là đúng?
Chọn đáp án C
Bài 7: Giá trị nhỏ nhất của hàm số với x > 0 là:
Chọn đáp án D
Bài 8: Cho x ≥ 2. Giá trị lớn nhất của hàm số là:
Chọn đáp án A
Bài 9: Giá trị nhỏ nhất của hàm số với x > 0 là:
A. 1;
B. 2;
C. 3;
D. 2√2.
Chọn đáp án C
Bài 10: Nếu x ≥ 0 thì giá trị nhỏ nhất của biểu thức là:
A. 2;
B. 1;
C. 3/2;
D. 5/2.
Chọn đáp án A
Bài 11: Nếu a > b và c > d thì bất đẳng thức nào sau đây luôn đúng?
Chọn đáp án C
Bài 12: Nếu a, b và c là các số bất kì và a > b thì bất đẳng thức nào sau đây luôn đúng?
Áp dụng tính chất: Nếu a > b và c là số bất kì thì a + c > b + c.
Chọn đáp án C
Bài 13: Nếu a > b và c > d thì bất đẳng thức nào sau đây luôn đúng?
Chọn đáp án D
Bài 14: Nếu a > b > 0, c > d > 0 thì bất đẳng thức nào sau đây không đúng?
Chọn đáp án B
Bài 15: Sắp xếp ba số sau theo thứ tự từ bé đến lớn:
Chọn đáp án A
Bài 16: Cho hai số thực a, b sao cho a > b. Bất đẳng thức nào sau đây không đúng ?
Chọn đáp án C
Bài 17: Cho biết hai số thực a và b có tổng bằng 3. Khẳng định nào sau đây là đúng về tích của hai số a và b?
A. Có giá trị nhỏ nhất là 9/4;
B. Có giá trị lớn nhất là 9/4;
C. Có giá trị lớn nhất là 3/2;
D. Không có giá trị lớn nhất.
Chọn đáp án B
Bài 18: Bất đẳng thức nào sau đây là đúng với mọi số thực x?
Chọn đáp án D
Bài 19: Cho a ≥ 1, b ≥ 1. Bất đẳng thức nào sau đây không đúng?
Chọn đáp án C
Bài 20: Giá trị nhỏ nhất của hàm số với x >0 là:
Chọn đáp án D
Bài 21: Giá trị nhỏ nhất của biểu thức x2 + 3x với x ∈ R là:
Chọn đáp án B
Bài 22: Với giá trị nào của a thì hệ phương trình có nghiệm (x; y) với x.y lớn nhất?
Chọn đáp án B
Bài 23: Nếu m, n là các số thực thỏa mãn m > 0, n ≤ 0 thì bất đẳng thức nào sau đây luôn đúng?
Nếu m > 0 thì – m < 0
Ta có: n < 0 và – m < 0
Nên n + (-m) < 0 hay n – m < 0
Chọn đáp án B
Bài 24: Bất đẳng thức nào sau đây đúng với mọi số thực a?
Chọn đáp án D
Bài 25: Nếu a, b, c là các số thực bất kì và a < b thì bất đẳng thức nào sau đây luôn đúng?
Chọn đáp án A
Bài 26: Nếu a > b > 0, c > d > 0 thì bất đẳng thức nào sau đây không đúng?
Chọn đáp án C
Bài 27: Nếu a, b là các số thực thỏa mãn a - b > a và a + b ≤ b thì bất đẳng thức nào sau đây luôn đúng?
Chọn đáp án D
Bài 28: Nếu các số thực a, b, c thỏa mãn a + 4c > b + 4c thì bất đẳng thức nào sau đây luôn đúng?
Chọn đáp án C
Bài 29: Một tam giác có độ dài các cạnh là 1, 2 , x, trong đó x là số nguyên. Tìm x.
A. x = 1;
B. x = 2;
C. x = 3;
D. x = 4.
Chọn đáp án B
Bài 30: Với số thực a bất kì, biểu thức nào sau đây có thể nhận giá trị âm?
Chọn đáp án D
Bài 31: Tìm số lớn nhất, nhỏ nhất trong các số sau: .
Chọn đáp án D
Bài 32: Với giá trị thực nào của a thì hệ phương trình có nghiệm (x; y) với 3x + y nhỏ nhất?
Chọn đáp án C
(199k) Học Toán 10 KNTTHọc Toán 10 CDHọc Toán 10 CTST
Xem thêm bài tập trắc nghiệm Toán lớp 10 có đáp án hay khác:
- Trắc nghiệm Bài 2 (có đáp án): Bất phương trình và hệ bất phương trình một ẩn
- Trắc nghiệm Bài 3 (có đáp án): Dấu của nhị thức bậc nhất
- Trắc nghiệm Bài 4 (có đáp án): Bất phương trình bậc nhất hai ẩn
- Trắc nghiệm Bài 5 (có đáp án): Dấu của tam thức bậc hai
- 40+ Bài tập Bất đẳng thức; Bất phương trình
Tủ sách VIETJACK shopee lớp 10-11 (cả 3 bộ sách):
Đã có app VietJack trên điện thoại, giải bài tập SGK, SBT Soạn văn, Văn mẫu, Thi online, Bài giảng....miễn phí. Tải ngay ứng dụng trên Android và iOS.
Theo dõi chúng tôi miễn phí trên mạng xã hội facebook và youtube:Nếu thấy hay, hãy động viên và chia sẻ nhé! Các bình luận không phù hợp với nội quy bình luận trang web sẽ bị cấm bình luận vĩnh viễn.
- Giải Tiếng Anh 10 Global Success
- Giải Tiếng Anh 10 Friends Global
- Giải sgk Tiếng Anh 10 iLearn Smart World
- Giải sgk Tiếng Anh 10 Explore New Worlds
- Lớp 10 - Kết nối tri thức
- Soạn văn 10 (hay nhất) - KNTT
- Soạn văn 10 (ngắn nhất) - KNTT
- Soạn văn 10 (siêu ngắn) - KNTT
- Giải sgk Toán 10 - KNTT
- Giải sgk Vật lí 10 - KNTT
- Giải sgk Hóa học 10 - KNTT
- Giải sgk Sinh học 10 - KNTT
- Giải sgk Địa lí 10 - KNTT
- Giải sgk Lịch sử 10 - KNTT
- Giải sgk Kinh tế và Pháp luật 10 - KNTT
- Giải sgk Tin học 10 - KNTT
- Giải sgk Công nghệ 10 - KNTT
- Giải sgk Hoạt động trải nghiệm 10 - KNTT
- Giải sgk Giáo dục quốc phòng 10 - KNTT
- Lớp 10 - Chân trời sáng tạo
- Soạn văn 10 (hay nhất) - CTST
- Soạn văn 10 (ngắn nhất) - CTST
- Soạn văn 10 (siêu ngắn) - CTST
- Giải Toán 10 - CTST
- Giải sgk Vật lí 10 - CTST
- Giải sgk Hóa học 10 - CTST
- Giải sgk Sinh học 10 - CTST
- Giải sgk Địa lí 10 - CTST
- Giải sgk Lịch sử 10 - CTST
- Giải sgk Kinh tế và Pháp luật 10 - CTST
- Giải sgk Hoạt động trải nghiệm 10 - CTST
- Lớp 10 - Cánh diều
- Soạn văn 10 (hay nhất) - Cánh diều
- Soạn văn 10 (ngắn nhất) - Cánh diều
- Soạn văn 10 (siêu ngắn) - Cánh diều
- Giải sgk Toán 10 - Cánh diều
- Giải sgk Vật lí 10 - Cánh diều
- Giải sgk Hóa học 10 - Cánh diều
- Giải sgk Sinh học 10 - Cánh diều
- Giải sgk Địa lí 10 - Cánh diều
- Giải sgk Lịch sử 10 - Cánh diều
- Giải sgk Kinh tế và Pháp luật 10 - Cánh diều
- Giải sgk Tin học 10 - Cánh diều
- Giải sgk Công nghệ 10 - Cánh diều
- Giải sgk Hoạt động trải nghiệm 10 - Cánh diều
- Giải sgk Giáo dục quốc phòng 10 - Cánh diều


Giải bài tập SGK & SBT
Tài liệu giáo viên
Sách
Khóa học
Thi online
Hỏi đáp

