18 bài tập trắc nghiệm Hàm số (có đáp án)
18 bài tập trắc nghiệm Hàm số (có đáp án)
(199k) Học Toán 10 KNTTHọc Toán 10 CDHọc Toán 10 CTST
Câu 1: Công thức nào sau đây không phải là hàm số?
Công thức |y| = 5x, ứng với x > 0 tìm được hai giá trị của y là y = 5x và y = -5x nên |y| = 5x không phải là hàm số.
Chọn đáp án D
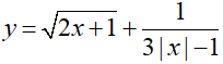
Câu 2: Tập xác định của hàm số là:
Chọn đáp án D
Câu 3: Cho hàm số . Tính f(√5 - √3).
Chọn đáp án C
Câu 4: Xét tính chẵn, lẻ của hai hàm số f(x) = -|x| và g(x) = |x + 1| - |x - 1|.
A. f(x) là hàm số chẵn, g(x) là hàm số chẵn;
B. f(x) là hàm số lẻ, g(x) là hàm số chẵn;
C. f(x) là hàm số lẻ, g(x) là hàm số lẻ;
D. f(x) là hàm số chẵn, g(x) là hàm số lẻ.
Chọn đáp án D
Câu 5: Xét tính đồng biến và nghịch biến của hàm số y = f(x) = -x2 + 4x - 2 trên các khoảng (-∞ 2) và (2; +∞) .
A. f(x) đồng biến trên khoảng (-∞ 2) và nghịch biến trên khoảng (2; +∞);
B. f(x) đồng biến trên cả hai khoảng (-∞ 2) và (2; +∞);
C. f(x) nghịch biến trên khoảng (-∞ 2) và đồng biến trên khoảng (2; +∞);
D. f(x) nghịch biến trên cả hai khoảng (-∞ 2) và (2; +∞).
Chọn đáp án A
Câu 6: Tập xác định của hàm số là:
Chọn đáp án B
Câu 7: Tập xác định của hàm số là:
Chọn đáp án C
Câu 8: Cho hàm số . Khi đó:
Ta có:
f(-1) = 3.(-1) = -3
f(-2)= 3.(-2) = -6
f(2) = 22 + 2 = 6
f(0) = 02 + 2 = 2
Chọn đáp án C
Câu 9: Tìm m để hàm số xác định trên khoảng (0; 5).
Chọn đáp án D
Câu 10: Hàm số nghịch biến trên khoảng nào sau đây?
Chọn đáp án A
Câu 11: Tìm m để hàm số luôn nghịch biến trong khoảng xác định của nó.
Chọn đáp án A
Câu 12: Hàm số nào là hàm số lẻ
Xét hàm số y = x3 + x
Tập xác định : D = R
Ta có: f(-x) = (-x)3 + (- x) = -x3 – x = - f(x)
Do đó, hàm số y = x3 + x là hàm số lẻ.
Chọn đáp án B
Câu 13: Hàm số nào có tập xác định D = R.
Chọn đáp án C
Câu 14: Trong các hình vẽ sau, hình nào minh họa đồ thị hàm số chẵn?
Vì đồ thị hàm số chẵn nhận trục tung làm trục đối xứng nên phương án C đúng.
Chọn đáp án C
Câu 15: Trong các hình sau, hình nào minh họa đồ thị của một hàm số lẻ?
Đồ thị hàm số lẻ nhận gốc tọa độ làm tâm đối xứng nên phương án B đúng.
Chọn đáp án B
Câu 16: Trong các điểm M(-1; 5); N(1; 4); P(2; 0); Q(3; 1), điểm nào thuộc đồ thị hàm số y = x2 - 2x + 5
A. Điểm M
B. Điểm N
C. Điểm P
D. Điểm Q
Thay tọa độ từng điểm vào công thức hàm số, nếu được đẳng thức đúng thì điểm đó thuộc đồ thị.
* Với điểm M(-1; 5), ta thay x = -1; y = 5 vào công thức y = x2 - 2x + 5 , nhận thấy
5 ≠ (-1)2 - 2.(-1) + 5 nên M không thuộc đồ thị hàm số.
* Với N (1; 4) ta được:
4 = 12 – 2.1 + 5 nên điểm N thuộc đồ thị hàm số.
* Với P(2; 0) ta được:
0 ≠ 22 - 2.2 + 5 nên điểm P không thuộc đồ thị hàm số.
* Với điểm Q(3; 1) ta được:
1 ≠ 32 - 2.3 + 5 nên điểm Q không thuộc đồ thị hàm số.
Chọn đáp án B
Câu 17: Cho hàm số y = f(x) có đồ thị như hình vẽ bên.
Khẳng định nào sau đây là đúng?
A. f(x) đồng biến trên khoảng (-∞; -1);
B. f(x) nghịch biến trên khoảng (-∞; 0);
C. f(x) đồng biến trên khoảng (1; +∞);
D. f(x) nghịch biến trên khoảng (-1; 1).
Quan sát đồ thị, theo chiều từ trái sang phải; nếu đồ thị đi lên (hoặc đi xuống) trong khoảng nào đó thì hàm số sẽ đồng biến (hoặc nghịch biến) trong khoảng này.
Ta thấy:
+ Trên khoảng (-∞ -1) đồ thị hàm số đi xuống nên hàm số nghịch biến.
+ Trên khoảng ( -1; 1) thì giá trị của hàm số không đổi y = 1 nên hàm số không đồng biến, không nghịch biến.
+ Trên khoảng (1; +∞) đồ thị hàm số đi lên nên hàm số đồng biến.
Chọn đáp án C
Câu 18: Hàm số nào sau đây không chẵn, không lẻ?
Chọn đáp án C
(199k) Học Toán 10 KNTTHọc Toán 10 CDHọc Toán 10 CTST
Xem thêm bài tập trắc nghiệm Toán lớp 10 có đáp án hay khác:
- 17 bài tập trắc nghiệm Hàm số y = ax + b
- 15 bài tập trắc nghiệm Hàm số bậc hai
- Top 12 Bài tập trắc nghiệm Hàm số bậc nhất và bậc hai
- Đề kiểm tra Đại số 10 Chương 2 (có đáp án)
- 13 bài tập trắc nghiệm Đại cương về phương trình
Tủ sách VIETJACK shopee lớp 10-11 (cả 3 bộ sách):
Đã có app VietJack trên điện thoại, giải bài tập SGK, SBT Soạn văn, Văn mẫu, Thi online, Bài giảng....miễn phí. Tải ngay ứng dụng trên Android và iOS.
Theo dõi chúng tôi miễn phí trên mạng xã hội facebook và youtube:Nếu thấy hay, hãy động viên và chia sẻ nhé! Các bình luận không phù hợp với nội quy bình luận trang web sẽ bị cấm bình luận vĩnh viễn.
- Giải Tiếng Anh 10 Global Success
- Giải Tiếng Anh 10 Friends Global
- Giải sgk Tiếng Anh 10 iLearn Smart World
- Giải sgk Tiếng Anh 10 Explore New Worlds
- Lớp 10 - Kết nối tri thức
- Soạn văn 10 (hay nhất) - KNTT
- Soạn văn 10 (ngắn nhất) - KNTT
- Soạn văn 10 (siêu ngắn) - KNTT
- Giải sgk Toán 10 - KNTT
- Giải sgk Vật lí 10 - KNTT
- Giải sgk Hóa học 10 - KNTT
- Giải sgk Sinh học 10 - KNTT
- Giải sgk Địa lí 10 - KNTT
- Giải sgk Lịch sử 10 - KNTT
- Giải sgk Kinh tế và Pháp luật 10 - KNTT
- Giải sgk Tin học 10 - KNTT
- Giải sgk Công nghệ 10 - KNTT
- Giải sgk Hoạt động trải nghiệm 10 - KNTT
- Giải sgk Giáo dục quốc phòng 10 - KNTT
- Lớp 10 - Chân trời sáng tạo
- Soạn văn 10 (hay nhất) - CTST
- Soạn văn 10 (ngắn nhất) - CTST
- Soạn văn 10 (siêu ngắn) - CTST
- Giải Toán 10 - CTST
- Giải sgk Vật lí 10 - CTST
- Giải sgk Hóa học 10 - CTST
- Giải sgk Sinh học 10 - CTST
- Giải sgk Địa lí 10 - CTST
- Giải sgk Lịch sử 10 - CTST
- Giải sgk Kinh tế và Pháp luật 10 - CTST
- Giải sgk Hoạt động trải nghiệm 10 - CTST
- Lớp 10 - Cánh diều
- Soạn văn 10 (hay nhất) - Cánh diều
- Soạn văn 10 (ngắn nhất) - Cánh diều
- Soạn văn 10 (siêu ngắn) - Cánh diều
- Giải sgk Toán 10 - Cánh diều
- Giải sgk Vật lí 10 - Cánh diều
- Giải sgk Hóa học 10 - Cánh diều
- Giải sgk Sinh học 10 - Cánh diều
- Giải sgk Địa lí 10 - Cánh diều
- Giải sgk Lịch sử 10 - Cánh diều
- Giải sgk Kinh tế và Pháp luật 10 - Cánh diều
- Giải sgk Tin học 10 - Cánh diều
- Giải sgk Công nghệ 10 - Cánh diều
- Giải sgk Hoạt động trải nghiệm 10 - Cánh diều
- Giải sgk Giáo dục quốc phòng 10 - Cánh diều


Giải bài tập SGK & SBT
Tài liệu giáo viên
Sách
Khóa học
Thi online
Hỏi đáp

