Trắc nghiệm tổng hợp cuối năm Đại số lớp 10 (có đáp án)
Trắc nghiệm tổng hợp cuối năm Đại số lớp 10 (có đáp án)
(199k) Học Toán 10 KNTTHọc Toán 10 CDHọc Toán 10 CTST
Câu 1: Đường thẳng đi qua hai điểm A(1; -2) và B(-2; 0) có hệ số góc là
Chọn đáp án B
Câu 2: Cho hàm số y = f(x) = (m2 - 1)x + 2m - 3.
Tất cả các giá trị của tham số m để hàm số đồng biến trên R là
Chọn đáp án C
Câu 3: Xét tính chẵn lẻ của hàm số y = f(x) = |1 - 2x| + |2x + 1| ta có
A. f(x) là hàm số lẻ.
B. f(x) là hàm số chẵn.
A. f(x) là hàm số không chẵn, không lẻ.
D. f(x) là hàm số vừa chẵn vừa lẻ.
Chọn đáp án B
Câu 4: Cho hàm số y = f(x) = x + 3m - 2. Tất cả các giá trị của tham số m sao cho f(x) ≥ 0, ∀ x ∈ [1; +∞) là
Chọn đáp án C
Câu 5: Khi đường thẳng (Δ): y = x + 2m cắt parabol (P): y = x2 - x + 3 tại hai điểm phân biệt A,B thì tọa độ trung điểm I của đoạn thẳng AB là
Chọn đáp án A
Câu 6: Số nghiệm của phương trình 2(x2 - 2x)2 - 3(x2 - 2x) + 1 = 0 là
A. 1;
B. 2;
C. 3;
D. 4.
Chọn đáp án D
Câu 7: Tập nghiệm của phương trình là
Chọn đáp án A
Câu 8: Xác định m để phương trình x2 + 2x + m = 0 có hai nghiệm x1, x2 thỏa mãn điều kiện 3x1 + 2x2 = 1.
A. m = 15;
B. m = -15;
C. m = 35;
D. m = -35.
Chọn đáp án D
Câu 9: Điều kiện của tham số m để phương trình |(m - 1)x + 6| + |x + 2| = 0 có nghiệm là
A. m = 4;
B. m ≠ 4;
C. m = -2;
D. m ≠ -2.
Chọn đáp án A
Câu 10: Số nghiệm của hệ phương trình là
A. 1
B. 2
C. 3
D. 4
Chọn đáp án B
Câu 11: Tất cả các giá trị của tham số m để hệ phương trình có nghiệm là
A. m = 0;
B. m ≠ 0;
C. m = 2;
D. m ≠ 2.
Chọn đáp án B
Câu 12: Cho hai số không âm x, y có tổng bằng S không đổi. Giá trị lớn nhất của tích xy là
Chọn đáp án D
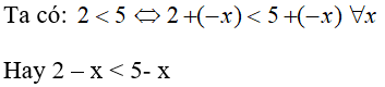
Câu 13: Trong các khẳng định sau, khẳng định nào đúng với mọi số thực x?
A. 5x > 2x;
B. 5x2 > 2x2;
C. x + 3 > 7 - x;
D. 2 - x < 5 - x.
Chọn đáp án D
Câu 14: Tập nghiệm của bất phương trình là
Chọn đáp án A
Câu 15: Với những giá trị nào của m thì biểu thức có giá trị âm?
Chọn đáp án D
Câu 16: Cho bất phương trình: mx2 + 2(m - 1)x + m + 2 < 0. Điều kiện của tham số m để bất phương trình đã cho vô nghiệm là
Chọn đáp án C
Câu 17: Tập nghiệm của bất phương trình là
Chọn đáp án B
Câu 18: Cho biết điểm thi trắc nghiệm môn Tiếng Anh (thang điểm 100) của 20 học sinh trong một phòng thi như sau
| 92 | 98 | 65 | 49 | 82 | 74 | 90 | 87 | 76 | 88 |
| 84 | 60 | 78 | 90 | 65 | 70 | 96 | 85 | 68 | 45 |
Số trung bình cộng và số trung vị của các số liệu thống kê tương ứng là
Chọn đáp án C
Câu 19: Xác định phương sai của các số liệu thống kê trong câu 18.
A. 212,49
B. 210,49
C. 80,49
D. 82,49
Chọn đáp án A
Câu 20: Tính giá trị biểu thức S = cos213° + cos232° + cos258° + cos277°.
A.S = 1;
B. S = 2;
C. S = 3;
D. S = 4.
Chọn đáp án B
Câu 21: Với điều kiện các biểu thức đều có nghĩa, đẳng thức nào sau đây là sai?
Chọn đáp án D
Câu 22: Rút gọn biểu thức , ta được
Chọn đáp án B
Câu 23: Cho biết α = 1/3 với π/2 < α < π. Giá trị của là
Chọn đáp án D
Câu 24: Rút gọn biểu thức ta được
Chọn đáp án B
Câu 25: Cho tam giác ABC. Khẳng định nào sau đây là đúng?
Chọn đáp án C
(199k) Học Toán 10 KNTTHọc Toán 10 CDHọc Toán 10 CTST
Xem thêm bài tập trắc nghiệm Toán lớp 10 có đáp án hay khác:
- 17 bài tập trắc nghiệm Giá trị lượng giác của góc (cung) có liên quan đặc biệt
- 14 bài tập trắc nghiệm Công thức lượng giác
- Top 11 Bài tập trắc nghiệm Cung và góc lượng giác; Công thức lượng giác
- Đề kiểm tra Đại số 10 Chương 6 (có đáp án)
- Đề thi Đại số 10 Học kì 2 (có đáp án)
Tủ sách VIETJACK shopee lớp 10-11 (cả 3 bộ sách):
Đã có app VietJack trên điện thoại, giải bài tập SGK, SBT Soạn văn, Văn mẫu, Thi online, Bài giảng....miễn phí. Tải ngay ứng dụng trên Android và iOS.
Theo dõi chúng tôi miễn phí trên mạng xã hội facebook và youtube:Nếu thấy hay, hãy động viên và chia sẻ nhé! Các bình luận không phù hợp với nội quy bình luận trang web sẽ bị cấm bình luận vĩnh viễn.
- Giải Tiếng Anh 10 Global Success
- Giải Tiếng Anh 10 Friends Global
- Giải sgk Tiếng Anh 10 iLearn Smart World
- Giải sgk Tiếng Anh 10 Explore New Worlds
- Lớp 10 - Kết nối tri thức
- Soạn văn 10 (hay nhất) - KNTT
- Soạn văn 10 (ngắn nhất) - KNTT
- Soạn văn 10 (siêu ngắn) - KNTT
- Giải sgk Toán 10 - KNTT
- Giải sgk Vật lí 10 - KNTT
- Giải sgk Hóa học 10 - KNTT
- Giải sgk Sinh học 10 - KNTT
- Giải sgk Địa lí 10 - KNTT
- Giải sgk Lịch sử 10 - KNTT
- Giải sgk Kinh tế và Pháp luật 10 - KNTT
- Giải sgk Tin học 10 - KNTT
- Giải sgk Công nghệ 10 - KNTT
- Giải sgk Hoạt động trải nghiệm 10 - KNTT
- Giải sgk Giáo dục quốc phòng 10 - KNTT
- Lớp 10 - Chân trời sáng tạo
- Soạn văn 10 (hay nhất) - CTST
- Soạn văn 10 (ngắn nhất) - CTST
- Soạn văn 10 (siêu ngắn) - CTST
- Giải Toán 10 - CTST
- Giải sgk Vật lí 10 - CTST
- Giải sgk Hóa học 10 - CTST
- Giải sgk Sinh học 10 - CTST
- Giải sgk Địa lí 10 - CTST
- Giải sgk Lịch sử 10 - CTST
- Giải sgk Kinh tế và Pháp luật 10 - CTST
- Giải sgk Hoạt động trải nghiệm 10 - CTST
- Lớp 10 - Cánh diều
- Soạn văn 10 (hay nhất) - Cánh diều
- Soạn văn 10 (ngắn nhất) - Cánh diều
- Soạn văn 10 (siêu ngắn) - Cánh diều
- Giải sgk Toán 10 - Cánh diều
- Giải sgk Vật lí 10 - Cánh diều
- Giải sgk Hóa học 10 - Cánh diều
- Giải sgk Sinh học 10 - Cánh diều
- Giải sgk Địa lí 10 - Cánh diều
- Giải sgk Lịch sử 10 - Cánh diều
- Giải sgk Kinh tế và Pháp luật 10 - Cánh diều
- Giải sgk Tin học 10 - Cánh diều
- Giải sgk Công nghệ 10 - Cánh diều
- Giải sgk Hoạt động trải nghiệm 10 - Cánh diều
- Giải sgk Giáo dục quốc phòng 10 - Cánh diều


Giải bài tập SGK & SBT
Tài liệu giáo viên
Sách
Khóa học
Thi online
Hỏi đáp

