Đề kiểm tra Toán 11 Đại số Chương 4 (có đáp án)
Đề kiểm tra Toán 11 Đại số Chương 4 (có đáp án)
(199k) Xem Khóa học Toán 11 KNTTXem Khóa học Toán 11 CDXem Khóa học Toán 11 CTST
Câu 1: Dãy số nào sau đây có giới hạn khác 0?
Câu 2: Dãy số nào sau đây có giới hạn bằng 0?
Câu 3: Dãy số (un) với có giới hạn bằng :
A. - 35
B. -25
C. -5
D. 15
Câu 4: Dãy số (un) với có giới hạn bằng
A. 1
B. – 1
C. .
D. 0
Câu 5: Tìm .
A. 2
B. 1
C. 3/2.
D. 1/2.
Câu 6: Tìm .
Câu 7: Tìm .
A. 1
B. 1/2.
C. 3/4.
D. 1/3.
Câu 8: Tìm .
Câu 9: Gía trị của lim(n4 - 2n2 + 3) là .
A. +∞.
B. -∞ .
C. 1
D. 4
Câu 10: Giá trị của lim(-2n3 + 3n - 1) là .
A. +∞.
B. -2
C. -∞.
D. Không tồn tại .
Câu 11: Tính .
A. +∞.
B. -1
C. 1
D.0
Câu 12: Cho hàm số . Tính
.
A. Không tồn tại.
B. 2
C. -2
D. 0
Câu 13: Tính .
A. Không tồn tại.
B. 1
C.-1
D. +∞.
Câu 14: Tính .
A. +∞.
B. -∞.
C. 0
D. - 1
Câu 15: Tìm .
A. 1/3.
B. 2/3.
C. 0
D. 4/9.
Câu 16: Tìm .
A. 0
B. 3/5.
C. 3/2.
D. 1
Câu 17: Tìm .
A. 1
B. 0
C. 3
D. 1/3.
Câu 18: Giới hạn có giá trị bằng
A. 1/2.
B. 2
C. 1
D. +∞.
Câu 19: Tính giới hạn
A. –4
B. –2
C. 2
D. 4
Câu 20: Cho hàm số . Chọn giá trị đúng của
.
Câu 21: Tính ta được kết quả.
A. -∞.
B. +∞.
C. 0.
D. -2.
Câu 22: Cho . Tính P = m - n
A. -2.
B. -1.
C. 1.
D. 13.
Câu 23: Tính ta được kết quả.
Câu 24: Tìm giới hạn .
A. +∞.
B. -∞.
C. 1/4.
D. Đáp án khác.
Câu 25: Tìm giới hạn ta được kết quả.
A. +∞.
B. -∞.
C. -1/2.
D. 0.
Câu 26: bằng bao nhiêu?
A. -1.
B. 1.
C. 0.
D. .
Câu 27: Chọn kết quả đúng của trong các kết quả sau.
A. -∞.
B. 0.
C. 1/2.
D. +∞.
Câu 28: Tính giới hạn ta được kết quả.
A. -∞.
B. +∞.
C. 3/2.
D. 1.
Câu 29: Tính giới hạn ta được kết quả.
A. +∞.
B. -∞.
C. 1/3.
D. 1.
Câu 30: Giới hạn của là.
A. 3/2
B. 2/3
C. -3/4
D. -3/2
Câu 31: Giới hạn của bằng
A. -∞.
B. 0.
C. 4/3.
D. 8/5.
Câu 32: Cho hàm số chọn kết quả đúng của
.
A. 0.
B. √2.
C. 1/2.
D. √2/2.
Câu 33: Giá trị đúng của .
Câu 34: Tìm các giá trị thực của tham số a để hàm số để tồn tại
.
A. 2
B. 3
C. 4
D.1
Câu 35: Tìm các giá trị thực của tham số m để hàm số để tồn tại
.
A. m = -1
B. m = 1
C. m = 5
D. m = 11/2.
Câu 36: Cho hàm số . Biết hàm số f(x) liên tục tại x = 1. Giá trị của m; n là
A. n = -1 và m = 0
B. n = m = 1
C.n = 0 và m = 1
D. n = 1 và m = 0
Câu 37: Giá trị nào của tham số m để hàm số liên tục tại x= -1 .
A. √2.
B. -√2.
C. ±√2.
D. ±2.
Câu 38: Hàm số có đồ thị dưới đây gián đoạn tại điểm có hoành độ bằng bao nhiêu?
A. 0 .
B. 1.
C. 2.
D. 3.
Hướng dẫn giải và Đáp án
| Câu | 1 | 2 | 3 | 4 | 5 | 6 | 7 | 8 | 9 | 10 |
| Đáp án | B | D | A | D | D | C | A | B | A | C |
| Câu | 11 | 12 | 13 | 14 | 15 | 16 | 17 | 18 | 19 | 20 |
| Đáp án | D | B | A | C | A | C | A | A | B | B |
| Câu | 21 | 22 | 23 | 24 | 25 | 26 | 27 | 28 | 29 | 30 |
| Đáp án | C | C | C | D | C | A | B | C | C | B |
| Câu | 31 | 32 | 33 | 34 | 35 | 36 | 37 | 38 | ||
| Đáp án | D | A | A | A | B | D | C | B |
Câu 1:
Chọn đáp án B.
Câu 2:
Chọn đáp án D.
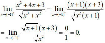
Câu 3:
Chọn đáp án A.
Câu 4:
Chọn đáp án D.
Câu 5:
Chọn đáp án D.
Câu 6:
Chọn đáp án C.
Câu 7:
Chọn đáp án A.
Câu 8:
Chọn đáp án B.
Câu 9:
Chọn đáp án A.
Câu 10:
Chọn đáp án C.
Câu 11:
Chọn đáp án D.
Câu 12:
Chọn đáp án B.
Câu 13:
Chọn đáp án A.
Câu 14:
Chọn đáp án C.
Câu 15:
Chọn đáp án A.
Câu 16:
Chọn đáp án C.
Câu 17:
Chọn đáp án A.
Câu 18:
Ta có:
1+ 2+ 3 + .. + n là tổng của n + 1 số hạng của 1 cấp số cộng có u1 = 1 và d = 1 nên:
Chọn đáp án A.
Câu 19:
Chọn đáp án B.
Câu 20:
Chọn đáp án B.
Câu 21:
Chọn đáp án C.
Câu 22:
Chọn đáp án C.
Câu 23:
Chọn đáp án C.
Câu 24:
Chọn đáp án D.
Câu 25:
Chọn đáp án C.
Câu 26:
Chọn đáp án A.
Câu 27:
Chọn đáp án B.
Câu 28:
Chọn đáp án C.
Câu 29:
Chọn đáp án C.
Câu 30:
Chọn đáp án B.
Câu 31:
Chọn đáp án D.
Câu 32:
Chọn đáp án A.
Câu 33:
Chọn đáp án A.
Câu 34:
Chọn đáp án A.
Câu 35:
Chọn đáp án B.
Câu 36:
Chọn đáp án D.
Câu 37:
Chọn đáp án C.
Câu 38:
Chọn đáp án B.
(199k) Xem Khóa học Toán 11 KNTTXem Khóa học Toán 11 CDXem Khóa học Toán 11 CTST
Xem thêm Bài tập trắc nghiệm Toán 11 có lời giải hay khác:
- 17 bài tập trắc nghiệm Định nghĩa và ý nghĩa của đạo hàm
- 37 bài tập trắc nghiệm Các quy tắc tính đạo hàm (có đáp án)
- 37 bài tập trắc nghiệm Các quy tắc tính đạo hàm (phần 2)
- 38 bài tập trắc nghiệm Đạo hàm của các hàm số lượng giác
- 18 bài tập trắc nghiệm Vi phân
Tủ sách VIETJACK shopee lớp 10-11 (cả 3 bộ sách):
Đã có app VietJack trên điện thoại, giải bài tập SGK, SBT Soạn văn, Văn mẫu, Thi online, Bài giảng....miễn phí. Tải ngay ứng dụng trên Android và iOS.
Theo dõi chúng tôi miễn phí trên mạng xã hội facebook và youtube:Nếu thấy hay, hãy động viên và chia sẻ nhé! Các bình luận không phù hợp với nội quy bình luận trang web sẽ bị cấm bình luận vĩnh viễn.
- Giải Tiếng Anh 11 Global Success
- Giải sgk Tiếng Anh 11 Smart World
- Giải sgk Tiếng Anh 11 Friends Global
- Lớp 11 - Kết nối tri thức
- Soạn văn 11 (hay nhất) - KNTT
- Soạn văn 11 (ngắn nhất) - KNTT
- Giải sgk Toán 11 - KNTT
- Giải sgk Vật Lí 11 - KNTT
- Giải sgk Hóa học 11 - KNTT
- Giải sgk Sinh học 11 - KNTT
- Giải sgk Lịch Sử 11 - KNTT
- Giải sgk Địa Lí 11 - KNTT
- Giải sgk Giáo dục KTPL 11 - KNTT
- Giải sgk Tin học 11 - KNTT
- Giải sgk Công nghệ 11 - KNTT
- Giải sgk Hoạt động trải nghiệm 11 - KNTT
- Giải sgk Giáo dục quốc phòng 11 - KNTT
- Giải sgk Âm nhạc 11 - KNTT
- Lớp 11 - Chân trời sáng tạo
- Soạn văn 11 (hay nhất) - CTST
- Soạn văn 11 (ngắn nhất) - CTST
- Giải sgk Toán 11 - CTST
- Giải sgk Vật Lí 11 - CTST
- Giải sgk Hóa học 11 - CTST
- Giải sgk Sinh học 11 - CTST
- Giải sgk Lịch Sử 11 - CTST
- Giải sgk Địa Lí 11 - CTST
- Giải sgk Giáo dục KTPL 11 - CTST
- Giải sgk Hoạt động trải nghiệm 11 - CTST
- Giải sgk Âm nhạc 11 - CTST
- Lớp 11 - Cánh diều
- Soạn văn 11 Cánh diều (hay nhất)
- Soạn văn 11 Cánh diều (ngắn nhất)
- Giải sgk Toán 11 - Cánh diều
- Giải sgk Vật Lí 11 - Cánh diều
- Giải sgk Hóa học 11 - Cánh diều
- Giải sgk Sinh học 11 - Cánh diều
- Giải sgk Lịch Sử 11 - Cánh diều
- Giải sgk Địa Lí 11 - Cánh diều
- Giải sgk Giáo dục KTPL 11 - Cánh diều
- Giải sgk Tin học 11 - Cánh diều
- Giải sgk Công nghệ 11 - Cánh diều
- Giải sgk Hoạt động trải nghiệm 11 - Cánh diều
- Giải sgk Giáo dục quốc phòng 11 - Cánh diều
- Giải sgk Âm nhạc 11 - Cánh diều


Giải bài tập SGK & SBT
Tài liệu giáo viên
Sách
Khóa học
Thi online
Hỏi đáp

