Trắc nghiệm Nhị thức Niu - Tơn
Bài tập trắc nghiệm Nhị thức Niu - Tơn lớp 11 có lời giải chi tiết giúp học sinh ôn tập và biết cách làm bài tập Toán 11.
Trắc nghiệm Nhị thức Niu - Tơn
(199k) Học Toán 11 KNTTHọc Toán 11 CDHọc Toán 11 CTST
Bài 1: Tìm số hạng đứng giữa trong khai triển (x3 + xy)21
Chọn đáp án D
Bài 2: Tìm hệ số của x5 trong khai triển P(x) = x(1 - 2x)5 + x2(1 + 3x)10
A. 80
B. 3240
C. 3320
D. 259200
Chọn đáp án C
Bài 3: Tìm hệ số của x5 trong khai triển : P(x) = (1 + x) + 2(1 + x)2 + ... + 8(1 + x)8.
A. 630
B. 635
C. 636
D.637
Các biểu thức (1 + x), (1 + x)2, ⋯, (1 + x)4 không chứa số hạng chứa x5.
Chọn đáp án C
Bài 4: Tìm số nguyên dương n thỏa mãn .
A.n = 8
B.n = 9
C.n = 10
D. n = 11
Chọn đáp án C
Bài 5: Tìm số nguyên dương n thỏa mãn .
A.n = 5
B.n = 9
C.n = 10
D.n = 4
Chọn đáp án A
Bài 6: Tìm số nguyên dương n sao cho:
A. 5
B. 11
C. 12
D. 4
Chọn đáp án A
Bài 7: Tính
Chọn đáp án D
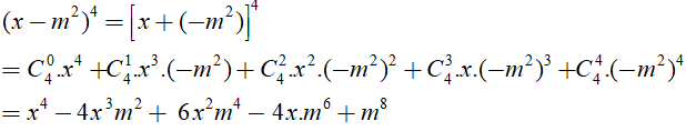
Bài 8: Khai triển biểu thức (x-m2)4 thành tổng các đơn thức:
A. x4 –x3m+x2m2 + m4
B. x4 –x3m2+x2m4 –xm6+ m8
C. x4 –4x3m+6x2m2 -4xm+ m4
D. x4 –4x3m2+6x2m4 – 4xm6+ m8
Sử dụng nhị thức Niuton với a = x, b = - m2
Chọn đáp án D
Bài 9: Tìm số hạng không chứa x trong khai triển
A. 2268 B. -2268
C. 84 D. -27
Chọn đáp án là B
Bài 10: Xác định hệ số của số hạng chứa x3 trong khai triển (x2-2/x)n nếu biết tổng các hệ số của ba số hạng đầu trong khai triển đó bằng 49.
A. 160 B. -160
C. 160x3 D. -160x3
Chọn đáp án là B
Bài 11: Tính tổng S = 32015.C2015o-32014C20151+32013C20152-…+3C20152014 -C20152015
A. 22015 B. -22015
C. 32015 D. 42015
Chọn đáp án A
Bài 12: Trong khai triển nhị thức (a + 2)n + 6, (n ∈ N). Có tất cả 17 số hạng. Vậy n bằng:
A. 17
B. 11
C. 10
D. 12
Chọn đáp án C
Bài 13: Tìm hệ số của x12 trong khai triển (2x - x2)10
Chọn đáp án B
Bài 14: Tìm số hạng chứa x3 trong khai triển
Chọn đáp án B
(199k) Học Toán 11 KNTTHọc Toán 11 CDHọc Toán 11 CTST
Xem thêm Bài tập trắc nghiệm Toán 11 có lời giải hay khác:
- Trắc nghiệm Toán 11 Bài 4: Phép thử và biến cố
- Trắc nghiệm Toán 11 Bài 5: Xác suất của biến cố (có lời giải)
- Trắc nghiệm Toán 11 Bài 5: Xác suất của biến cố (có lời giải - phần 2)
- Bài tập tổng ôn Tổ hợp; Xác suất (có lời giải)
- Trắc nghiệm Phương pháp quy nạp toán học; Dãy số
Tủ sách VIETJACK shopee lớp 10-11 (cả 3 bộ sách):
Đã có app VietJack trên điện thoại, giải bài tập SGK, SBT Soạn văn, Văn mẫu, Thi online, Bài giảng....miễn phí. Tải ngay ứng dụng trên Android và iOS.
Theo dõi chúng tôi miễn phí trên mạng xã hội facebook và youtube:Nếu thấy hay, hãy động viên và chia sẻ nhé! Các bình luận không phù hợp với nội quy bình luận trang web sẽ bị cấm bình luận vĩnh viễn.
- Giải Tiếng Anh 11 Global Success
- Giải sgk Tiếng Anh 11 Smart World
- Giải sgk Tiếng Anh 11 Friends Global
- Lớp 11 - Kết nối tri thức
- Soạn văn 11 (hay nhất) - KNTT
- Soạn văn 11 (ngắn nhất) - KNTT
- Giải sgk Toán 11 - KNTT
- Giải sgk Vật Lí 11 - KNTT
- Giải sgk Hóa học 11 - KNTT
- Giải sgk Sinh học 11 - KNTT
- Giải sgk Lịch Sử 11 - KNTT
- Giải sgk Địa Lí 11 - KNTT
- Giải sgk Giáo dục KTPL 11 - KNTT
- Giải sgk Tin học 11 - KNTT
- Giải sgk Công nghệ 11 - KNTT
- Giải sgk Hoạt động trải nghiệm 11 - KNTT
- Giải sgk Giáo dục quốc phòng 11 - KNTT
- Giải sgk Âm nhạc 11 - KNTT
- Lớp 11 - Chân trời sáng tạo
- Soạn văn 11 (hay nhất) - CTST
- Soạn văn 11 (ngắn nhất) - CTST
- Giải sgk Toán 11 - CTST
- Giải sgk Vật Lí 11 - CTST
- Giải sgk Hóa học 11 - CTST
- Giải sgk Sinh học 11 - CTST
- Giải sgk Lịch Sử 11 - CTST
- Giải sgk Địa Lí 11 - CTST
- Giải sgk Giáo dục KTPL 11 - CTST
- Giải sgk Hoạt động trải nghiệm 11 - CTST
- Giải sgk Âm nhạc 11 - CTST
- Lớp 11 - Cánh diều
- Soạn văn 11 Cánh diều (hay nhất)
- Soạn văn 11 Cánh diều (ngắn nhất)
- Giải sgk Toán 11 - Cánh diều
- Giải sgk Vật Lí 11 - Cánh diều
- Giải sgk Hóa học 11 - Cánh diều
- Giải sgk Sinh học 11 - Cánh diều
- Giải sgk Lịch Sử 11 - Cánh diều
- Giải sgk Địa Lí 11 - Cánh diều
- Giải sgk Giáo dục KTPL 11 - Cánh diều
- Giải sgk Tin học 11 - Cánh diều
- Giải sgk Công nghệ 11 - Cánh diều
- Giải sgk Hoạt động trải nghiệm 11 - Cánh diều
- Giải sgk Giáo dục quốc phòng 11 - Cánh diều
- Giải sgk Âm nhạc 11 - Cánh diều


Giải bài tập SGK & SBT
Tài liệu giáo viên
Sách
Khóa học
Thi online
Hỏi đáp

