Đề kiểm tra 1 tiết Toán 12 Giải tích Chương 1 (có đáp án)
Đề kiểm tra 1 tiết Toán 12 Giải tích Chương 1 (có đáp án)
(199k) Xem Khóa học Toán 12 KNTTXem Khóa học Toán 12 CDXem Khóa học Toán 12 CTST
Câu 1: Kết luận nào sau đây về tính đơn điệu của hàm số
A. Hàm số đồng biến trên các khoảng (-∞; 3) và (3; +∞) .
B. Hàm số luôn đồng biến trên R\{3}
C. Hàm số nghịch biến trên các khoảng (-∞; 3) và (3; +∞)
D. Hàm số luôn nghịch biến trên R\{3}
Câu 2: Tìm khoảng nghịch biến của hàm số sau: y = -x4 - 2x2
A. (-∞; 0) B. (0; +∞) C. R D. (1; +∞)
Câu 3: Tìm m để hàm số
tăng trên từng khoảng xác định của
A. m ≥ 1 B. m ≠ 1 C. m > 1 D. m ≤ 1
Câu 4: Tìm giá trị lớn nhất của m để hàm số y = x3 + 3x2 - mx - 4 đồng biến trên khoảng R?
A. m = -3 B. m < -3 C. m = 3 D. m ≥ 3
Câu 5:Đồ thị hàm số
có tất cả bao nhiêu đường tiệm cận?
A. 1 B. 2 C. 3 D. 4
Câu 6: Cho hàm số y = x3 - 3x2 + 1. Tích của giá trị cực đại và cực tiểu của hàm số bằng bao nhiêu?
A. -6 B. -3 C. 3 D. 4
Câu 7: Tìm m để hàm số y = -x3 + (2m - 1)x2 + (m - 2)x - 2 có cực đại và cực tiểu
Câu 8: Tìm m để hàm số y = -x4 +2(2m - 1)x3 + 3 có đúng một cực trị
Câu 9: Tìm m để hàm số y = x3 - 2mx2 + m2x - 2 đạt cực tiểu tại x = 1
A. m = -1 B. m = 1 C. m = 2 D. m = -2
Câu 10: Đồ thị hàm số y = x3 - 3x2 - 9x + 2 có hai cực trị nằm trên đường thẳng song song với đường thẳng nào dưới đây?
A. y = -8x - 1 B. y = -8x + 1 C. y = -24x - 3 D. y = -x/8 + 1
Câu 11: Gọi x1,x2 là hai điểm cực trị của y = x3 - 3mx2 + 3(m2 - 1)x m3 + m .
Câu 12: Giá trị nhỏ nhất của hàm số
Câu 13: Giá trị lớn nhất của hàm số
A. 1 B. 7/3 C. 2 D. 1/3
Câu 14: Giá trị nhỏ nhất của hàm số
A. 2√ - 2 B. 9/10 C. 2√2 - 1 D. 1 - 2√2
Câu 15: Tìm m để giá trị nhỏ nhất của
trên đoạn [0; 1] bằng -2
Chọn D
Câu 16: Cho hàm số y = x3 - 3x2 + 1. Ba tiếp tuyến tại giao điểm của đồ thị hàm số với đường thẳng y = x - 2 có tổng các hệ số góc là:
A. 15 B. 33 C. 36 D. 17
Câu 17: Tiếp tuyến tại điểm cực tiểu của đồ thị hàm số
A. song song với đường thẳng x = 1 B. song song với trục hoành
C. có hệ số góc dương D. có hệ số góc bằng -1
Câu 18: Cho hàm số y = x3 + 3x2 + 3x + 1 có đồ thị (C) . Phương trình tiếp tuyến của (C) tại giao điểm của (C) với trục tung là:
A. y = 8x + 1 B. y = 3x + 1 C. y = -8x + 1 D. y = 3x -1
Câu 19: Tìm m để y = x4 - 2mx2 + m3 - m2 tiếp xúc với trục hoành tại hai điểm
A. m = 2 B. m = -2 C. m = 1 D. Cả A và C đúng
Câu 20: Người ta cần làm một cái thùng hình trụ có thể tích 192π(m3). Chất liệu để làm mặt bên thùng có giá là 3$/ m2 , và chất liệu để làm đáy thùng có giá là 9$/m2 . Bán kính của thùng để tốn ít tiền nhất là:
A. 4m B. 6m C. 8m D. ∛32 m
Hướng dẫn giải và Đáp án
| 1-C | 2-B | 3-A | 4-A | 5-C |
| 6-B | 7-C | 8-C | 9-B | 10-B |
| 11-D | 12-C | 13-B | 14-A | 15-D |
| 16-A | 17-B | 18-B | 19-D | 20-D |
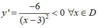
Câu 1:
Tập xác định: D = R\{3}
Đạo hàm
Do đó, hàm số nghịch biến trên các khoảng (-∞; 3) và (3; +∞)
Chọn C.
Câu 2:
y = -x4 - 2x2 ⇒ y' = -4x3 - 4x = -4x(x2 + 1)
y' > 0 ⇔ x < 0; y' < 0 ⇔ x > 0
Do đó, hàm số đã cho nghịch biến trên khoảng .
Chọn B.
Câu 3:
Câu 4:
y' = 3x2 + 6x - m
Để hàm số đã cho đồng biến trên R khi và chỉ khi:
y' = 3x2 + 6x - m ≥ 0 ∀ x ∈ R
⇔ Δ = 9 + 3m ≤ 0 ⇔ m ≤ -3
Vậy giá trị lớn nhất của m để hàm số đã cho đồng biến trên R là m = -3.
Chọn A.
Câu 5:
* Phương trình x2 - x + 3 = 0 vô nghiệm
Phương trình x2 - 4mx - 3 = 0 có a.c < 0
nên phương trình luôn có 2 nghiệm phân biệt.
Suy ra, đồ thị hàm số đã cho có 2 đường TCĐ.
* Lại có:
Do đó, đồ thị hàm số đã cho có 1 TCN là y = 1.
Vậy đồ thị của hàm số đã cho có tất cả 3 đường tiệm cận.
Chọn C
Câu 6:
Do đó, tích của giá trị cực đại và cực tiểu của hàm số đã cho là: 1.(-3) = - 3.
Chọn B.
Câu 7:
Ta có: y' = -3x2 + 2(2m - 1)x + m - 2 (*)
Để hàm số đã cho có cực đại và cực tiểu khi và chỉ khi: phương trình có hai nghiệm phân biệt và y’ đổi dấu khi qua các nghiệm đó.
Chọn C.
Câu 8:
Ta có:
Để hàm số đã cho có đúng 1 cực trị khi và chỉ khi phương trình: x2 = 2m - 1 có nghiệm kép x = 0 hoặc vô nghiệm
Chọn C.
Câu 9:
Ta có:
Để hàm số đã cho đạt cực tiểu tại x=1 khi và chỉ khi:
Chọn B.
Câu 10:
Ta có:
Lấy y chia cho y’ ta được:
Giả sử đồ thị hàm số đã cho có hai điểm cực trị là: M(x1; y1) và N(x2; y2).
⇒y'(x1)=0; y'(x2)=0
⇒y(x1) = -8x1 - 1; y(x2) = -8x2 - 1
Suy ra, phương trình đường thẳng MN là: y = -8x – 1
Đường thẳng này song song với đường thẳng y = - 8x +1
Chọn B.
Câu 11:
Ta có: y' = 3x2 - 6mx + 3m2 - 3
Để đồ thị hàm số đã cho có 2 điểm cực trị khi và chỉ khi phương trình y’ = 0 có 2 nghiệm phân biệt và y’ đổi dấu qua các nghiệm đó.
y' = 3x2 - 6mx + 3m2 - 3
⇔Δ' = 9m2 - 9m2 + 9 = 9 > 0
Do đó, hàm số đã cho có 2 điểm cực trị x1, x2 là nghiệm phương trình y’ = 0.
Áp dụng hệ thức Vi-et ta có:
Chọn D.
Câu 12:
Câu 13:
Câu 14:
Câu 15:
Câu 16:
Phương trình hoành độ giao điểm của hai đồ thị:
Ba tiếp tuyến tại giao điểm của đồ thị hàm số với đường thẳng y = x - 2 có tổng các hệ số góc là: 9 + 9 + (-3) = 15.
Chọn A.
Câu 17:
Do đó, hàm số đã cho đạt cực tiểu tại điểm x = 3 => y = -5
Phương trình tiếp tuyến tại điểm cực tiểu là:
y = 0(x - 3) – 5 = -5
Đây là đường thẳng song song với trục hoành,
Chọn B.
Câu 18:
Cho x = 0 ta được y = 1.
Do đó, giao điểm của (C) với trục tung là A(0; 1).
y' = 3x2 + 6x + 3 ⇔y'(0) = 3
Phương trình tiếp tuyến tại điểm A là:
y= 3(x - 0) + 1 hay y = 3x + 1
Chọn B
Câu 19:
y' = 4x3 - 4mx = 4x(x2 -m) (*)
Để đồ thị hàm số đã cho tiếp xúc với trục hoành tại hai điểm khi đồ thị hàm số đã cho có 3 điểm cực trị và đường thẳng y = 0 (trục hoành) là tiếp tuyến của đồ thị hàm số.
* Điều kiện để hàm số có 3 điểm cực trị là (*) có 3 nghiệm phân biệt
* Điều kiện để đường thẳng y = 0 ( trục hoành) là tiếp tuyến của đồ thị hàm số là hệ phương trình sau có nghiệm:
Vậy có 2 giá trị của m thỏa mãn là m = 1 hoặc m = 2
Chọn D.
Câu 20:
(199k) Xem Khóa học Toán 12 KNTTXem Khóa học Toán 12 CDXem Khóa học Toán 12 CTST
Xem thêm bài tập trắc nghiệm Toán lớp 12 có đáp án hay khác:
- 28 bài tập trắc nghiệm Lũy thừa (có đáp án)
- 28 bài tập trắc nghiệm Lũy thừa (có đáp án - phần 2)
- 30 bài tập trắc nghiệm Hàm số lũy thừa (có đáp án)
- 30 bài tập trắc nghiệm Hàm số lũy thừa (có đáp án - phần 2)
- 27 bài tập trắc nghiệm Lôgarit (có đáp án)
Đã có app VietJack trên điện thoại, giải bài tập SGK, SBT Soạn văn, Văn mẫu, Thi online, Bài giảng....miễn phí. Tải ngay ứng dụng trên Android và iOS.
Theo dõi chúng tôi miễn phí trên mạng xã hội facebook và youtube:Nếu thấy hay, hãy động viên và chia sẻ nhé! Các bình luận không phù hợp với nội quy bình luận trang web sẽ bị cấm bình luận vĩnh viễn.
- Giải Tiếng Anh 12 Global Success
- Giải sgk Tiếng Anh 12 Smart World
- Giải sgk Tiếng Anh 12 Friends Global
- Lớp 12 Kết nối tri thức
- Soạn văn 12 (hay nhất) - KNTT
- Soạn văn 12 (ngắn nhất) - KNTT
- Giải sgk Toán 12 - KNTT
- Giải sgk Vật Lí 12 - KNTT
- Giải sgk Hóa học 12 - KNTT
- Giải sgk Sinh học 12 - KNTT
- Giải sgk Lịch Sử 12 - KNTT
- Giải sgk Địa Lí 12 - KNTT
- Giải sgk Giáo dục KTPL 12 - KNTT
- Giải sgk Tin học 12 - KNTT
- Giải sgk Công nghệ 12 - KNTT
- Giải sgk Hoạt động trải nghiệm 12 - KNTT
- Giải sgk Giáo dục quốc phòng 12 - KNTT
- Giải sgk Âm nhạc 12 - KNTT
- Giải sgk Mĩ thuật 12 - KNTT
- Lớp 12 Chân trời sáng tạo
- Soạn văn 12 (hay nhất) - CTST
- Soạn văn 12 (ngắn nhất) - CTST
- Giải sgk Toán 12 - CTST
- Giải sgk Vật Lí 12 - CTST
- Giải sgk Hóa học 12 - CTST
- Giải sgk Sinh học 12 - CTST
- Giải sgk Lịch Sử 12 - CTST
- Giải sgk Địa Lí 12 - CTST
- Giải sgk Giáo dục KTPL 12 - CTST
- Giải sgk Tin học 12 - CTST
- Giải sgk Hoạt động trải nghiệm 12 - CTST
- Giải sgk Âm nhạc 12 - CTST
- Lớp 12 Cánh diều
- Soạn văn 12 Cánh diều (hay nhất)
- Soạn văn 12 Cánh diều (ngắn nhất)
- Giải sgk Toán 12 Cánh diều
- Giải sgk Vật Lí 12 - Cánh diều
- Giải sgk Hóa học 12 - Cánh diều
- Giải sgk Sinh học 12 - Cánh diều
- Giải sgk Lịch Sử 12 - Cánh diều
- Giải sgk Địa Lí 12 - Cánh diều
- Giải sgk Giáo dục KTPL 12 - Cánh diều
- Giải sgk Tin học 12 - Cánh diều
- Giải sgk Công nghệ 12 - Cánh diều
- Giải sgk Hoạt động trải nghiệm 12 - Cánh diều
- Giải sgk Giáo dục quốc phòng 12 - Cánh diều
- Giải sgk Âm nhạc 12 - Cánh diều


Giải bài tập SGK & SBT
Tài liệu giáo viên
Sách
Khóa học
Thi online
Hỏi đáp

