Trắc nghiệm tổng hợp Toán 12 Giải tích chọn lọc, (có đáp án - phần 2)
Với bài tập & câu hỏi trắc nghiệm tổng hợp Toán 12 Giải tích chọn lọc lớp 12 có lời giải chi tiết với bài tập đa dạng sẽ giúp học sinh ôn luyện và biết cách làm bài tập Toán 12.
Trắc nghiệm tổng hợp Toán 12 Giải tích chọn lọc, (có đáp án - phần 2)
(199k) Học Toán 12 KNTTHọc Toán 12 CDHọc Toán 12 CTST
Bài 24: Cho
Khẳng định nào sai?
Dễ thấy B, C, D là các khẳng định đúng, còn khẳng định A sai vì đổi biến mà không đổi cận
Bài 25: Biến đổi
Khi đó, f(t) là hàm nào trong các hàm số sau?
A. f(t) = 2t2 - 2t B. f(t) = t2 + t C. f(t) = t2 - t D. f(t) = 2t2 + 2t
Ta có:
Bài 26: Diện tích hình giới hạn bởi đường cong y = x2 + 1 tiếp tuyến với đường cong này tại M(2; 5) và trục là:
A. 0 B. -8/3 C. 8/3 D. Kết quả khác.
Ta có : y’ = 2x nên y'(2) = 4
Phương trình tiếp tuyến với y = x2 + 1 tại M(2 ;5) là :
y = y'(2)(x - 2) + 5 => y = 4(x - 2) + 5 = 4x - 3
Xét phương trình hoành độ giao điểm của hai đồ thị :
x2 + 1 = 4x - 3 => x = 2 .
Ta có diện tích hình phẳng cần tính là:
Bài 27: Thể tích vật tròn xoay khi quay hình phẳng giới hạn bởi các đường y = 4/x, y = 0, x = 1, x = 4 quanh trục Ox là:
A. 6π B. 4π C. 12π D. 8π
Bài 28: Thể tích vật tròn xoay khi quay hình phẳng giới hạn bởi các đường
quanh trục Ox là:
A. π(e2 + e) B. π(e2 - e) C. πe2 D. πe
Bài 29: Phần thực và phần ảo của số phức z thỏa mãn z− = (1 + 2i)2 + (1 - 2i)3 là
A. 14 và 6i B. –14 và 6 C. 14 và – 6 D. –14 và –6.
Ta có:
Suy ra z = -14 - 6i. Vậy phần thực và phần ảo của z là: -14 và - 6
Bài 30: Thực hiện phép tính T = 3i(5 + 2i) + (2 - 5i)(3 + 7i) ta có:
A. T = 35 + 14i B. T = 35 - 24i C. T = -35 + 14i D. T = -35 - 14i
Ta có: T = 3i(5 + 2i) + (2 - 5i)(3 + 7i)
T = 15i + 6i2 + 6 + 14i - 15i - 35i2 = 15i - 6 + 6 + 14i - 15i + 35 = 35 + 14i
Bài 31: Thực hiện phép tính
A. T = 1 + i B. T = 1 - i C. T = -1 + i D. T = -1 - i
Ta có
Bài 32: Các số thực x, y thỏa mãn: (x + 2y) + (2x - y)i = 6 + 7i. Giá trị biểu thức T = x + y bằng:
A. 4 B. 5 C. 6 D. 7.
Ta có: (x + 2y) + (2x - y)i = 6 + 7i
Vậy: T = 4 + 1 = 5
Bài 33: Phương trình z2 - 8z + 20 = 0 có hai nghiệm là
A. 8 ± 4i B. -8 ± 4i C. -4 ± 2i D. 4 ± 2i
Bài 34: Số phức z = a + bi có phần thực, phần ảo là các số nguyên và thỏa mãn: z3 = 2 + 11i. Giá trị biểu thức T = a + b là
A. 2 B. 3 C. 4 D. 5
Ta có: z3 = a3 + 3a2bi + 3ab2i2 + b3i3 = a3 - 3ab2 + (3a2b - b3)i
Lại có:
Từ phương trình thứ nhất ta có: a(a2 - 3b2). Vì a,b nguyên nên a là ước của 2.
Nếu a=1 thì 1 - 3b2 = 2. Suy ra b2 = -1/3 ∉ Z (loại)
Nếu a=-1 thì b = ±1 , không thỏa mãn phương trình thứ hai của hệ.
Nếu a=-2 thì b2 = 5/3 ∉ Z (loại).
Nếu a=2 thì b = ±1 . Kết hợp với phương trình thứ hai ta có: a = 2, b = 1
Vậy T = 3
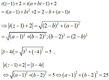
Bài 35: Tập hợp các điểm biểu diễn số phức z thỏa mãn |i(z - 1) + 2| = |3 - 4i| là
A. Đường tròn tâm I(1; 2) bán kính R = 5
B. Đường tròn tâm I(1; -2) bán kính R = 5
C. Đường tròn tâm I(-1; 2) bán kính R = 5
D. Đường tròn tâm I(-1; -2) bán kính R = 5
Đặt z = a + bi (a, b ∈ R). Ta có:
Do đó: |i(z - 1) + 2| = |3 - 4i| <=> (a - 1)2 + (b - 2)2 = 25
Tập hợp các điểm M(a,b) biểu diễn của số phức z là đường tròn tâm I(1;2), bán kính là R=5
Bài 36: Cho số phức z thỏa mãn |z− + 1 - i| = |z|. Giá trị nhỏ nhất của môđun của z là
Cho số phức z thỏa mãn: |z− + 1 - i| = |z|
Đặt z = a + bi (a, b ∈ R) . Ta có: z− + 1 - i = a - bi + 1 - i = a + 1 - (b + 1)i
Từ giả thiết ta có :
(a + 1)2 + (b + 1)2 = a2 + b2 ⇔ a2 + 2a + 1 + b2 + 2b + 1 = a2 + b2
⇔ 2a + 2b + 2 = 0 ⇔ a + b + 1 = 0 ⇔ b = -1 - a
Khi đó |z|2 = a2 + b2 = a2 + ( -1 - a)2 = 2a2 + 2a + 1
Từ đó suy ra môđun của z nhỏ nhất bằng 1/√2
Bài 37: Biết rằng logMN = logNM và N ≠ . Tính giá trị của MN.
A. -1 B. 1 C. 2 D. 10
logMN = logNM
Bài 38: Biết:
Khi đó ap bằng
A. logab B. alogba C. logba D. b
plogba = logb(logba) => logbap = logb(logba)
=> ap = logba
Bài 39: Giả sử x là nghiệm của phương trình logx25 - logx4 = logx√x.
Điều kiện 9 < x ≠ 1
logx25 - logx4 = logx√x
Bài 40: Điện tích (tính bằng culông) được tích trong các tấm của một tụ điện bị rò sau thời gian t giây được xác đinh bởi công thức Q(t) = Q0.(1,122)-1 trong đó Q0 là điện tích ban đầu. Sau bao lâu thì điện tích trong tụ còn một nửa (làm tròn kết quả đến hàng đơn vị)?
A. 5 giây B. 6 giây C. 8 giây D. 10 giây.
Khi điện tích trong tụ còn một nửa thì
Ta có:
Bài 41: Tìm tập nghiệm của bất phương trình
A. (1; 3) B. (-1; 3) C. (-1; 1) ∪ (3; +∞) D. (-∞; 1) ∪ (3; +∞)
Bài 42: Tìm tập nghiệm của bất phương trình
A. (1 - √5; 1 + √5) B. (1 - √5; -1) ∪ (3; 1 + √5)
C. (-1; -√5; -1) ∪ (3; 1 + √5) D. (-∞; 1 - √5) ∪ (1 + √5; +∞)
Bài 43:
A. ln3x - 2ln2x + 2lnx + C B. -ln3x - 2ln2x + 2lnx + C
C. ln3x + 2ln2x + 2lnx + C D. ln3x - 2ln2x - 2lnx + C
Đặt t = lnx, suy ra dt = dx/x
I = ∫(3t2 - 4t + 2)dt = t3 - 2t2 + 2t + C = ln3x - 2lnxx + 2lnx + C
Bài 44: Hàm số F(x) = ln|sinx - 3cosx| là một nguyên hàm của hàm số nào trong các hàm số sau đây?
Bài 45: Tính ∫x2.sinxdx
A. -x2cosx + 2x.sinx - 2cosx + C B. x2sinx + 2x.cosx - 2sinx + C
C. -x2cosx + 2x.sinx + 2cosx + C D. 2x.cosx + sinx + C
Bài 46: Cho tích phân
Nếu đổi biến số t = sin2x thì:
(199k) Học Toán 12 KNTTHọc Toán 12 CDHọc Toán 12 CTST
Xem thêm bài tập trắc nghiệm Toán lớp 12 có đáp án hay khác:
- Trắc nghiệm Sự đồng biến nghịch biến của hàm số (có lời giải)
- Trắc nghiệm Sự đồng biến nghịch biến của hàm số (có lời giải - phần 2)
- Trắc nghiệm Cực trị của hàm số (có lời giải)
- Trắc nghiệm Cực trị của hàm số (có lời giải - phần 2)
- Trắc nghiệm Giá trị lớn nhất và giá trị nhỏ nhất của hàm số (có lời giải)
Đã có app VietJack trên điện thoại, giải bài tập SGK, SBT Soạn văn, Văn mẫu, Thi online, Bài giảng....miễn phí. Tải ngay ứng dụng trên Android và iOS.
Theo dõi chúng tôi miễn phí trên mạng xã hội facebook và youtube:Nếu thấy hay, hãy động viên và chia sẻ nhé! Các bình luận không phù hợp với nội quy bình luận trang web sẽ bị cấm bình luận vĩnh viễn.
- Giải Tiếng Anh 12 Global Success
- Giải sgk Tiếng Anh 12 Smart World
- Giải sgk Tiếng Anh 12 Friends Global
- Lớp 12 Kết nối tri thức
- Soạn văn 12 (hay nhất) - KNTT
- Soạn văn 12 (ngắn nhất) - KNTT
- Giải sgk Toán 12 - KNTT
- Giải sgk Vật Lí 12 - KNTT
- Giải sgk Hóa học 12 - KNTT
- Giải sgk Sinh học 12 - KNTT
- Giải sgk Lịch Sử 12 - KNTT
- Giải sgk Địa Lí 12 - KNTT
- Giải sgk Giáo dục KTPL 12 - KNTT
- Giải sgk Tin học 12 - KNTT
- Giải sgk Công nghệ 12 - KNTT
- Giải sgk Hoạt động trải nghiệm 12 - KNTT
- Giải sgk Giáo dục quốc phòng 12 - KNTT
- Giải sgk Âm nhạc 12 - KNTT
- Giải sgk Mĩ thuật 12 - KNTT
- Lớp 12 Chân trời sáng tạo
- Soạn văn 12 (hay nhất) - CTST
- Soạn văn 12 (ngắn nhất) - CTST
- Giải sgk Toán 12 - CTST
- Giải sgk Vật Lí 12 - CTST
- Giải sgk Hóa học 12 - CTST
- Giải sgk Sinh học 12 - CTST
- Giải sgk Lịch Sử 12 - CTST
- Giải sgk Địa Lí 12 - CTST
- Giải sgk Giáo dục KTPL 12 - CTST
- Giải sgk Tin học 12 - CTST
- Giải sgk Hoạt động trải nghiệm 12 - CTST
- Giải sgk Âm nhạc 12 - CTST
- Lớp 12 Cánh diều
- Soạn văn 12 Cánh diều (hay nhất)
- Soạn văn 12 Cánh diều (ngắn nhất)
- Giải sgk Toán 12 Cánh diều
- Giải sgk Vật Lí 12 - Cánh diều
- Giải sgk Hóa học 12 - Cánh diều
- Giải sgk Sinh học 12 - Cánh diều
- Giải sgk Lịch Sử 12 - Cánh diều
- Giải sgk Địa Lí 12 - Cánh diều
- Giải sgk Giáo dục KTPL 12 - Cánh diều
- Giải sgk Tin học 12 - Cánh diều
- Giải sgk Công nghệ 12 - Cánh diều
- Giải sgk Hoạt động trải nghiệm 12 - Cánh diều
- Giải sgk Giáo dục quốc phòng 12 - Cánh diều
- Giải sgk Âm nhạc 12 - Cánh diều


Giải bài tập SGK & SBT
Tài liệu giáo viên
Sách
Khóa học
Thi online
Hỏi đáp

