Trắc nghiệm Tích phân
Bài tập trắc nghiệm Tích phân lớp 12 có lời giải chi tiết với bài tập đa dạng sẽ giúp học sinh ôn luyện và biết cách làm bài tập Toán 12.
Trắc nghiệm Tích phân
(199k) Học Toán 12 KNTTHọc Toán 12 CDHọc Toán 12 CTST
Bài 1:
Tìm n?
A.6 B.5 C.4 D.3
Ta có:
Vậy chọn đáp án D.
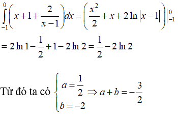
Bài 2: Kết quả của tích phân
được viết dưới dạng a+bln2. Tính giá trị của a+b.
Ta có:
Vậy chọn đáp án D
Bài 3: Giả sử
Giá trị của K là:
A.9 B.3 C.81 D.8
Ta có:
Do đó, K = 3
Bài 4: Cho:
Tính giá trị của a-b.
A.3 B.1 C.2 D.0.
Khi x = 1 thì t = e, khi x = e thì t = ee + 1 .
Từ đó suy ra: a = 1; b = 1 nên a – b = 0.
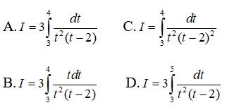
Bài 5: Cho
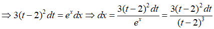
Giả sử đặt t = ∛ex + 2 thì ta được:
⇒(t - 2)3 = ex
Đổi cận: x = 0 thì t = 3 ; x = 3ln2 thì t = 4
Khi đó
Bài 6: Cho
Khi đó a+b bằng
A.10+ √7 B.22 C. √7 + 6 D.Đáp án khác.
Ta có
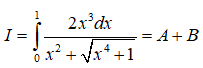
Bài 7: Cho
Đặt t = x2 . Biết
Đặt t = x2 ⇒ dt = 2xdx. Ta có:
Bài 8: Nếu
với a < d < b thì
A.-2 B.3 C.8 D.0
Ta có:
Bài 9: Cho tích phân
Nếu biến đổi số t = sin2x thì:
Ta có
Bài 10: Biết
Phát biểu nào sau đây nhận giá trị đúng?
Ta có
Bài 11:
A. Không xác định được B.1
C.3 D.-1
Bài 12: Tích phân
Ta chọn đáp án A
Bài 13: Cho hai tích phân:
Trong các khẳng định sau , khẳng định nào đúng?
Đặt t = π/2 - x ⇒ dt = -dx Khi x = a thì t = π/2 - a , khi x = π/2 - a thì t = a
Ta có:
Vậy chọn đáp án B.
Bài 14:
Đặt: t = 3 - x ⇒ dt = - dx .
Khi x = 0 thì t = 3, khi x = a thì t = 3-a.
Vậy chọn đáp án B.
Bài 15: Tính tích phân
A. I = 0 B. I = a2 C. I = -a2 D. I = 2a2 .
Ta có:
Vậy chọn đáp án B.
Bài 16: Tính tích phân
Đặt t = lnx ⇒ dt = (1/x)dx . Khi x = 1 thì t = 0, khi x = 2e thì t = 1+ln2. Ta có:
Vậy chọn đáp án D.
Bài 17: Tính tích phân
Đặt u = x và dv = cos(a - x)dx ,suy ra du = dx và v = -sin(a-x). Do đó
Vậy chọn đáp án C.
Bài 18:
Khẳng định nào dưới đây là sai?
Đặt u = x2 - 1 , ta có du = 2xdx. Khi x = 1 thì u = 0, x = 2 thì u = 3. Do đó
Vậy chọn đáp án C.
(199k) Học Toán 12 KNTTHọc Toán 12 CDHọc Toán 12 CTST
Xem thêm bài tập trắc nghiệm Toán lớp 12 có đáp án hay khác:
- Trắc nghiệm Ứng dụng hình học của tích phân
- Bài tập ôn tập Nguyên hàm, tích phân và ứng dụng (có đáp án)
- Trắc nghiệm Số phức
- Trắc nghiệm Cộng, trừ và nhân số phức
- Trắc nghiệm Phép chia số phức
Đã có app VietJack trên điện thoại, giải bài tập SGK, SBT Soạn văn, Văn mẫu, Thi online, Bài giảng....miễn phí. Tải ngay ứng dụng trên Android và iOS.
Theo dõi chúng tôi miễn phí trên mạng xã hội facebook và youtube:Nếu thấy hay, hãy động viên và chia sẻ nhé! Các bình luận không phù hợp với nội quy bình luận trang web sẽ bị cấm bình luận vĩnh viễn.
- Giải Tiếng Anh 12 Global Success
- Giải sgk Tiếng Anh 12 Smart World
- Giải sgk Tiếng Anh 12 Friends Global
- Lớp 12 Kết nối tri thức
- Soạn văn 12 (hay nhất) - KNTT
- Soạn văn 12 (ngắn nhất) - KNTT
- Giải sgk Toán 12 - KNTT
- Giải sgk Vật Lí 12 - KNTT
- Giải sgk Hóa học 12 - KNTT
- Giải sgk Sinh học 12 - KNTT
- Giải sgk Lịch Sử 12 - KNTT
- Giải sgk Địa Lí 12 - KNTT
- Giải sgk Giáo dục KTPL 12 - KNTT
- Giải sgk Tin học 12 - KNTT
- Giải sgk Công nghệ 12 - KNTT
- Giải sgk Hoạt động trải nghiệm 12 - KNTT
- Giải sgk Giáo dục quốc phòng 12 - KNTT
- Giải sgk Âm nhạc 12 - KNTT
- Giải sgk Mĩ thuật 12 - KNTT
- Lớp 12 Chân trời sáng tạo
- Soạn văn 12 (hay nhất) - CTST
- Soạn văn 12 (ngắn nhất) - CTST
- Giải sgk Toán 12 - CTST
- Giải sgk Vật Lí 12 - CTST
- Giải sgk Hóa học 12 - CTST
- Giải sgk Sinh học 12 - CTST
- Giải sgk Lịch Sử 12 - CTST
- Giải sgk Địa Lí 12 - CTST
- Giải sgk Giáo dục KTPL 12 - CTST
- Giải sgk Tin học 12 - CTST
- Giải sgk Hoạt động trải nghiệm 12 - CTST
- Giải sgk Âm nhạc 12 - CTST
- Lớp 12 Cánh diều
- Soạn văn 12 Cánh diều (hay nhất)
- Soạn văn 12 Cánh diều (ngắn nhất)
- Giải sgk Toán 12 Cánh diều
- Giải sgk Vật Lí 12 - Cánh diều
- Giải sgk Hóa học 12 - Cánh diều
- Giải sgk Sinh học 12 - Cánh diều
- Giải sgk Lịch Sử 12 - Cánh diều
- Giải sgk Địa Lí 12 - Cánh diều
- Giải sgk Giáo dục KTPL 12 - Cánh diều
- Giải sgk Tin học 12 - Cánh diều
- Giải sgk Công nghệ 12 - Cánh diều
- Giải sgk Hoạt động trải nghiệm 12 - Cánh diều
- Giải sgk Giáo dục quốc phòng 12 - Cánh diều
- Giải sgk Âm nhạc 12 - Cánh diều


Giải bài tập SGK & SBT
Tài liệu giáo viên
Sách
Khóa học
Thi online
Hỏi đáp

