Đề kiểm tra Toán 10 Chương 2 Hình học chọn lọc, có đáp án chi tiết
Đề kiểm tra Toán 10 Chương 2 Hình học chọn lọc, có đáp án chi tiết
(199k) Xem Khóa học Toán 10 KNTTXem Khóa học Toán 10 CDXem Khóa học Toán 10 CTST
Câu 1: Tính giá trị biểu thức P = cos30°cos60° - sin30°sin60°.
A. P = √3
B. P = (√3)/2
C. P = 1
D. P = 0
Câu 2: Cho hai góc nhọn α và β phụ nhau. Hệ thức nào sau đây là sai?
A. sinα = - cosβ
B. cosα = sin β
C. tanα = cotβ
D.cotα = tanβ
Câu 3: Cho biết tanα = -3. Giá trị của bằng bao nhiêu ?
Câu 4: Cho biết 3cosα - sinα = 1, 0° < α < 90°. Giá trị của tanα bằng
Câu 5: Cho tam giác đều ABC có đường cao AH. Tính .
A. 30°
B. 60°
C. 120°
D. 150°
Câu 6: Cho hình vuông ABCD. Tính
Câu 7: Cho hai vectơ a→ và b→ khác 0→. Xác định góc α giữa hai vectơ a→ và b→ khi a→.b→ = -|a→|.|b→|
Câu 8: Cho hai vectơ a→ và b→ thỏa mãn |a→| = 3, |b→| = 2 và a→.b→ = -3 Xác định góc α giữa hai vectơ a→ và b→
Câu 9: Cho tam giác đều ABC có cạnh bằng a. Tính tích vô hướng
Câu 10: Cho tam giác ABC vuông tại A và có AB = c, AC = b. Tính
Câu 11: Cho tam giác ABC có AB = 2; BC = 3; CA = 5. Tính
Câu 12: Cho tam giác ABC có BC = a, AC = b; AB = c. Tính
Câu 13: Cho tam giác ABC. Tập hợp các điểm M thỏa mãn là:
A. một điểm.
B. đường thẳng.
C. đoạn thẳng.
D. đường tròn.
Câu 14: Trong mặt phẳng tọa độ Oxy, cho ba điểm A(3;-1); B(2; 10); C(-4; 2). Tính tích vô hướng
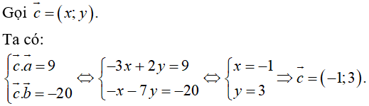
Câu 15: Trong mặt phẳng tọa độ Oxy, cho hai vectơ a→ = (-3; 2) và b→ = (-1; -7) Tìm tọa độ vectơ c→ biết c→.a→ = 9 và c→.b→ = -20
Câu 16: Trong mặt phẳng tọa độ Oxy, cho hai vectơ a→ = (-1; 1) và b→ = (2; 0) . Tính cosin của góc giữa hai vectơ a→ và b→
Câu 17: Trong mặt phẳng tọa độ Oxy, cho hai vectơ . Tìm k để vectơ u→ vuông góc với v→
A. k = 20
B. k = -20
C. k = -40
D. k = 40
Câu 18: Trong mặt phẳng tọa độ Oxy, tính khoảng cách giữa hai điểm M( 1; -2) và N ( -3; 4)
Câu 19: Trong mặt phẳng tọa độ Oxy, cho hai điểm A(-2; 4) và B (8; 4). Tìm tọa độ điểm C thuộc trục hoành sao cho tam giác ABC vuông tại C.
A. C(6; 0)
B. C(0; 0); C(6; 0)
C. C(0; 0)
D. C(-1; 0)
Câu 20: Trong mặt phẳng tọa độ Oxy, cho hai điểm M (-2; 2) và N (1; 1). Tìm tọa độ điểm P thuộc trục hoành sao cho ba điểm M, N, P thẳng hàng.
A. P(2; 0)
B. P(3; 0)
C. P(-4; 0)
D. P(4; 0)
Câu 21: Trong mặt phẳng tọa độ Oxy, cho hai điểm A(2; 2); B (5 ; -2). Tìm điểm M thuộc trục hoàng sao cho
A. M(0; 1)
B. M(6; 0)
C. M(1; 6)
D. M (0; 6)
Câu 22: Trong mặt phẳng tọa độ Oxy, cho tam giác ABC có A(-4; 1), B(2; 4), C(2; -2). Tìm tọa độ tâm I của đường tròn ngoại tiếp tam giác đã cho.
Câu 23: Trong mặt phẳng tọa độ Oxy, cho tam giác ABC có A(-3; 0); B(3; 0) và C(2; 6). Gọi H(a; b) là tọa độ trực tâm của tam giác đã cho. Tính a + 6b
A. 5
B. 6
C.7
D. 8
Câu 24: Trong mặt phẳng tọa độ Oxy, cho tam giác ABC có A(4; 3); B(2; 7) và C(-3; -8). Tìm toạ độ chân đường cao A’ kẻ từ đỉnh A xuống cạnh BC.
A. (1; -4)
B. (-1; 4)
C. (1; 4)
D. (4; 1)
Câu 25: Tam giác ABC có AB = 5; BC = 7; CA = 8. Số đo góc A^ bằng:
A. 30°
B. 45°
C. 60°
D. 90°
Câu 26: Tam giác ABC có và AB = 5. Tính độ dài cạnh AC.
Câu 27: Tam giác ABC có AB = 9; AC = 12 và BC = 15. Tính độ dài đường trung tuyến AM của tam giác đã cho.
A. AM = 15/2 cm.
B. AM = 10 cm.
C. AM = 9 cm.
D. AM = 13/2 cm.
Câu 28: Tam giác ABC có AB = 3; AC = 6 và A^ = 60°. Tính bán kính R của đường tròn ngoại tiếp tam giác ABC.
A. R = 3
B. 3√3.
C. √3.
D. R = 6.
Câu 29: Tam giác ABC có . Tính diện tích tam giác ABC.
Câu 30: Tam giác ABC có a = 21, b = 17; c = 10. Diện tích của tam giác ABC bằng:
A. 16
B. 48
C. 24
D. 84
Hướng dẫn giải và Đáp án
| Câu 1 | 2 | 3 | 4 | 5 | 6 | 7 | 8 | 9 | 10 |
| Đáp án C | A | B | A | C | A | D | B | B | D |
| Câu 11 | 12 | 13 | 14 | 15 | 16 | 17 | 18 | 19 | 20 |
| Đáp án D | B | B | C | D | A | C | B | A | D |
| Câu 21 | 22 | 23 | 24 | 25 | 26 | 27 | 28 | 29 | 30 |
| Đáp án C | A | B | B | C | D | B | A | A | D |
Câu 1:
Câu 2:
Câu 3:
Câu 4:
Câu 5:
Câu 6:
Câu 7:
Câu 8:
Câu 9:
Câu 10:
Câu 11:
Câu 12:
Câu 13:
Câu 14:
Câu 15:
Câu 16:
Câu 17:
Câu 18:
Câu 19:
Câu 20:
Câu 21:
Câu 22:
Câu 23:
Câu 24:
Câu 25:
Câu 26:
Câu 27:
Câu 28:
Câu 29:
Câu 30:
(199k) Xem Khóa học Toán 10 KNTTXem Khóa học Toán 10 CDXem Khóa học Toán 10 CTST
Xem thêm bài tập trắc nghiệm Toán 10 có lời giải hay khác:
- 60 bài tập trắc nghiệm Phương trình đường thẳng (có đáp án)
- 60 bài tập trắc nghiệm Phương trình đường thẳng (có đáp án - phần 2)
- 60 bài tập trắc nghiệm Phương trình đường thẳng (có đáp án - phần 3)
- 43 bài tập trắc nghiệm Phương trình đường tròn (có đáp án)
- 43 bài tập trắc nghiệm Phương trình đường tròn (có đáp án - phần 2)
Để học tốt lớp 10 các môn học sách mới:
- Giải bài tập Lớp 10 Kết nối tri thức
- Giải bài tập Lớp 10 Chân trời sáng tạo
- Giải bài tập Lớp 10 Cánh diều
Tủ sách VIETJACK shopee lớp 10-11 (cả 3 bộ sách):
Đã có app VietJack trên điện thoại, giải bài tập SGK, SBT Soạn văn, Văn mẫu, Thi online, Bài giảng....miễn phí. Tải ngay ứng dụng trên Android và iOS.
Theo dõi chúng tôi miễn phí trên mạng xã hội facebook và youtube:Nếu thấy hay, hãy động viên và chia sẻ nhé! Các bình luận không phù hợp với nội quy bình luận trang web sẽ bị cấm bình luận vĩnh viễn.
- Giải Tiếng Anh 10 Global Success
- Giải Tiếng Anh 10 Friends Global
- Giải sgk Tiếng Anh 10 iLearn Smart World
- Giải sgk Tiếng Anh 10 Explore New Worlds
- Lớp 10 - Kết nối tri thức
- Soạn văn 10 (hay nhất) - KNTT
- Soạn văn 10 (ngắn nhất) - KNTT
- Soạn văn 10 (siêu ngắn) - KNTT
- Giải sgk Toán 10 - KNTT
- Giải sgk Vật lí 10 - KNTT
- Giải sgk Hóa học 10 - KNTT
- Giải sgk Sinh học 10 - KNTT
- Giải sgk Địa lí 10 - KNTT
- Giải sgk Lịch sử 10 - KNTT
- Giải sgk Kinh tế và Pháp luật 10 - KNTT
- Giải sgk Tin học 10 - KNTT
- Giải sgk Công nghệ 10 - KNTT
- Giải sgk Hoạt động trải nghiệm 10 - KNTT
- Giải sgk Giáo dục quốc phòng 10 - KNTT
- Lớp 10 - Chân trời sáng tạo
- Soạn văn 10 (hay nhất) - CTST
- Soạn văn 10 (ngắn nhất) - CTST
- Soạn văn 10 (siêu ngắn) - CTST
- Giải Toán 10 - CTST
- Giải sgk Vật lí 10 - CTST
- Giải sgk Hóa học 10 - CTST
- Giải sgk Sinh học 10 - CTST
- Giải sgk Địa lí 10 - CTST
- Giải sgk Lịch sử 10 - CTST
- Giải sgk Kinh tế và Pháp luật 10 - CTST
- Giải sgk Hoạt động trải nghiệm 10 - CTST
- Lớp 10 - Cánh diều
- Soạn văn 10 (hay nhất) - Cánh diều
- Soạn văn 10 (ngắn nhất) - Cánh diều
- Soạn văn 10 (siêu ngắn) - Cánh diều
- Giải sgk Toán 10 - Cánh diều
- Giải sgk Vật lí 10 - Cánh diều
- Giải sgk Hóa học 10 - Cánh diều
- Giải sgk Sinh học 10 - Cánh diều
- Giải sgk Địa lí 10 - Cánh diều
- Giải sgk Lịch sử 10 - Cánh diều
- Giải sgk Kinh tế và Pháp luật 10 - Cánh diều
- Giải sgk Tin học 10 - Cánh diều
- Giải sgk Công nghệ 10 - Cánh diều
- Giải sgk Hoạt động trải nghiệm 10 - Cánh diều
- Giải sgk Giáo dục quốc phòng 10 - Cánh diều


Giải bài tập SGK & SBT
Tài liệu giáo viên
Sách
Khóa học
Thi online
Hỏi đáp

