35+ bài tập trắc nghiệm Vecto chọn lọc, (có đáp án - phần 2)
35+ bài tập trắc nghiệm Vecto chọn lọc, (có đáp án - phần 2)
(199k) Xem Khóa học Toán 10 KNTTXem Khóa học Toán 10 CDXem Khóa học Toán 10 CTST
Câu 19: Cho tam giác đều ABC và điểm I thỏa mãn IA→ = 2IB→ Mệnh đề nào sau đây đúng?
Đáp án C
Câu 20: Cho tam giác ABC và một điểm M tùy ý. Mệnh đề nào sau đây đúng ?
Đáp án C
Câu 21: Cho tam giác ABC và điểm M thỏa mãn 2MA→ + MB→ = CA→ Khẳng định nào sau đây là đúng ?
A. M trùng A B. M trùng B. C. M trùng C D. M là trọng tâm của tam giác ABC.
Đáp án D
Câu 22: Cho hình chữ nhật ABCD và số thực k> 0. Tập hợp các điểm M thỏa mãn đẳng thức |MA→ + MB→ + MC→ + MD→| = k là A. một đoạn thẳng. B. một đường thẳng. C. một đường tròn. D. một điểm.
Đáp án C
Vì I là điểm cố định nên tập hợp các điểm M thỏa mãn đẳng thức (*) là đường tròn tâm I bán kính R = k/4
Câu 23: Cho hai điểm A, B phân biệt và cố định, với I là trung điểm của AB. Tập hợp các điểm M thỏa mãn đẳng thức |2MA→ + MB→| = |MA→ + 2MB→| là A. đường trung trực của đoạn thẳng AB B. đường tròn đường kính AB C. đường trung trực đoạn thẳng IA D. đường tròn tâm A; bán kính AB.
Đáp án A
Câu 24: Cho tứ giác ABCD. M và N lần lượt là trung điểm của AB, CD. Đẳng thức nào sau đây là đúng?
Đáp án D
Câu 25: Cho hình thang ABCD, hai đường chéo AC và BD cắt nhau tại O. Qua O kẻ MN song song với AB (AB là đáy của hình thang, M ∈ AD ,N ∈ BC). Đặt |AB→ |=a ,|DC→ |=b . Khi đó khẳng định nào sau đây là đúng?
Đáp án B
Áp dụng định lí Ta – lét trong tam giác ta có
Nhận xét. Có thể xét trường hợp a = b để loại trừ phương án C, D. Ngoài ra ta có MN→,AB→,DC→ cùng hướng nên chỉ cần biểu diễn MN qua AB và CD, suy ra đáp án là B.
Câu 26: Cho hình vuông ABCD cạnh a, tâm O. Tính |OB→ + OC→|.
Đáp án A
Câu 27: Cho tam giác ABC với AB = c, BC = a, CA = b. Gọi CM là đường phân giác trong của góc C (M∈AB). Biểu thị nào sau đây là đúng?
Đáp án C
Áp dụng tính chất của đường phân giác ta có:
Câu 28: Với giả thiết của bài 27, khẳng định nào sau đây là đúng?
Đáp án B
Theo kết quả bài 27, ta có:
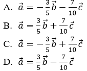
Câu 29: Cho ba vectơ Giá trị của k ; h để
là
Đáp án C
Câu 30: Tam giác ABC có C(–2; –4), trọng tâm G(0; 4), trung điểm cạnh BC là M(2; 0). Tọa độ điẻm A và B là:
A. A(4; 12) , B(4; 6)
B. A(–4; –12), B(6; 4)
C. A(–4; 12), B(6; 4)
D. A(4; –12), B(4–6; 4)
Đáp án C
Câu 31: Cho các vectơ a→(1;3); b→(2;5);c→(7;19). Phân tích vectơ c→ theo các vectơ a→,b→ là:
Đáp án A
Câu 32: Cho các vectơ a→=(-1;2); b→=(3;5). Tìm các số thực x, y sao cho xa→ + ya→ = 0→.
A. x = 0; y = 1 B. x = 0; y = 0 C. x = 1; y = 0 D. x = 1; y = 1
Đáp án B
Câu 33: Cho các vectơ a→=(5;4); b→=(2;-5). Tìm vectơ x→, biết rằng a→ + 2x→ = b→
Đáp án A
Câu 34: Cho các vectơ a→=(1;2); b→=(-3;1); c→=(-4; -2). Phân tích vectơ a→ theo các vectơ không cùng phương b→ ,c→ ta được đẳng thức nào sau đây?
Đáp án D
Câu 35: Cho tam giác ABC với A = (1; 4), B = (2; – 5 ), C = (0; 7).
Điểm M nằm trên trục Ox sao cho vectơ MA→ + MB→ + MC→ có độ dài nhỏ nhất.
Tọa độ điểm M là:
A. M(5; 0) B. M(–2; 0) C. M(3; 0) D. M(1; 0)
Đáp án D
(199k) Xem Khóa học Toán 10 KNTTXem Khóa học Toán 10 CDXem Khóa học Toán 10 CTST
Xem thêm bài tập trắc nghiệm Toán 10 có lời giải hay khác:
- Đề kiểm tra chương 1 (có đáp án)
- 50 bài tập trắc nghiệm Giá trị lượng giác của một góc bất kì từ 0 đến 180 (có đáp án)
- 50 bài tập trắc nghiệm Giá trị lượng giác của một góc bất kì từ 0 đến 180 (có đáp án - phần 2)
- 50 bài tập trắc nghiệm Giá trị lượng giác của một góc bất kì từ 0 đến 180 (có đáp án - phần 3)
- 75 bài tập trắc nghiệm Tích vô hướng của hai vectơ (có đáp án)
Để học tốt lớp 10 các môn học sách mới:
- Giải bài tập Lớp 10 Kết nối tri thức
- Giải bài tập Lớp 10 Chân trời sáng tạo
- Giải bài tập Lớp 10 Cánh diều
Tủ sách VIETJACK shopee lớp 10-11 (cả 3 bộ sách):
Đã có app VietJack trên điện thoại, giải bài tập SGK, SBT Soạn văn, Văn mẫu, Thi online, Bài giảng....miễn phí. Tải ngay ứng dụng trên Android và iOS.
Theo dõi chúng tôi miễn phí trên mạng xã hội facebook và youtube:Nếu thấy hay, hãy động viên và chia sẻ nhé! Các bình luận không phù hợp với nội quy bình luận trang web sẽ bị cấm bình luận vĩnh viễn.
- Giải Tiếng Anh 10 Global Success
- Giải Tiếng Anh 10 Friends Global
- Giải sgk Tiếng Anh 10 iLearn Smart World
- Giải sgk Tiếng Anh 10 Explore New Worlds
- Lớp 10 - Kết nối tri thức
- Soạn văn 10 (hay nhất) - KNTT
- Soạn văn 10 (ngắn nhất) - KNTT
- Soạn văn 10 (siêu ngắn) - KNTT
- Giải sgk Toán 10 - KNTT
- Giải sgk Vật lí 10 - KNTT
- Giải sgk Hóa học 10 - KNTT
- Giải sgk Sinh học 10 - KNTT
- Giải sgk Địa lí 10 - KNTT
- Giải sgk Lịch sử 10 - KNTT
- Giải sgk Kinh tế và Pháp luật 10 - KNTT
- Giải sgk Tin học 10 - KNTT
- Giải sgk Công nghệ 10 - KNTT
- Giải sgk Hoạt động trải nghiệm 10 - KNTT
- Giải sgk Giáo dục quốc phòng 10 - KNTT
- Lớp 10 - Chân trời sáng tạo
- Soạn văn 10 (hay nhất) - CTST
- Soạn văn 10 (ngắn nhất) - CTST
- Soạn văn 10 (siêu ngắn) - CTST
- Giải Toán 10 - CTST
- Giải sgk Vật lí 10 - CTST
- Giải sgk Hóa học 10 - CTST
- Giải sgk Sinh học 10 - CTST
- Giải sgk Địa lí 10 - CTST
- Giải sgk Lịch sử 10 - CTST
- Giải sgk Kinh tế và Pháp luật 10 - CTST
- Giải sgk Hoạt động trải nghiệm 10 - CTST
- Lớp 10 - Cánh diều
- Soạn văn 10 (hay nhất) - Cánh diều
- Soạn văn 10 (ngắn nhất) - Cánh diều
- Soạn văn 10 (siêu ngắn) - Cánh diều
- Giải sgk Toán 10 - Cánh diều
- Giải sgk Vật lí 10 - Cánh diều
- Giải sgk Hóa học 10 - Cánh diều
- Giải sgk Sinh học 10 - Cánh diều
- Giải sgk Địa lí 10 - Cánh diều
- Giải sgk Lịch sử 10 - Cánh diều
- Giải sgk Kinh tế và Pháp luật 10 - Cánh diều
- Giải sgk Tin học 10 - Cánh diều
- Giải sgk Công nghệ 10 - Cánh diều
- Giải sgk Hoạt động trải nghiệm 10 - Cánh diều
- Giải sgk Giáo dục quốc phòng 10 - Cánh diều


Giải bài tập SGK & SBT
Tài liệu giáo viên
Sách
Khóa học
Thi online
Hỏi đáp

