Tổng hợp trắc nghiệm Phương pháp tọa độ trong mặt phẳng (có lời giải)
Tổng hợp trắc nghiệm Phương pháp tọa độ trong mặt phẳng (có lời giải)
(199k) Học Toán 10 KNTTHọc Toán 10 CDHọc Toán 10 CTST
Câu 1: Phương trình tổng quát của đường thẳng ∆ đi qua điểm M(1;3) và có vectơ pháp truyến n→(5; -2) là:
A. 5(x+1) – 2(y+3) = 0
B. 5(x – 1) – 2(y – 3) = 0
C. (x – 5) + 3(y+2) = 0
D. (x+5) + 3(y – 2) = 0
Đáp án B
Câu 2: Phương trình của đường thẳng Δ đi qua M1(3;4) và vuông góc với đường thẳng d:
A. – 5x + 4y – 1 = 0
B. 5x – 4y – 1 = 0
C. 4x + 5y – 32 = 0
D. 4x – 3y = 0
Đáp án A
Câu 3: Cho tam giác ABC với A(1;4), B(3; -2), C(1; 6). Phương trình của trung tuyến AM của tam giác có phương trình là:
A. x – y + 3 = 0
B. x + y – 5 = 0
C. 2x – y + 2 = 0
D. 2x + y – 6 = 0
Đáp án D
Câu 4: Cho α là góc tạo bởi hai đường thẳng d1:3x+2y+4=0,d2: -x+y+4=0. Khi đó khẳng định nào sau đây là đúng?
Đáp án C
Câu 5: Cho các điểm M(1; 1), N(3; -2), P(-1; 6). Phương trình các đường thẳng qua M cách đều N, P là
A. x – 2y + 1 = 0 và y = 1
B. 2x – y – 1 = 0 và x – y = 0
C. 2x + y – 3 = 0 và x = 1
D. 2x – 3y + 1 = 0 và 2x + y – 3 = 0
Đáp án B
Câu 6: Cho đường tròn tiếp xúc với cả đường thẳng d1:x+2y-4=0,d2:x+2y+6=0. Khi đó diện tích hình tròn là
A. 5π B. 10π C. 20π D. 40π
Đáp án C
Câu 7: Cho ba đường thẳng d1:2x-y-1=0,d2:mx-(m-2)y+m+4=0,d3:x+y-2=0. Giá trị của m để ba đường thẳng đồng quy là
A. m = 0 B. m = 2 C. m = -2 D. m = -6
Đáp án A
Câu 8: Quỹ tích các điểm cách đều hai đường thẳng d1:5x-12y+4=0,d2:4x-3y+2=0 là:
A. 9x + 7y + 2 = 0 và 7x – 9y = 0
B. 9x – 7y + 2 = 0 và 77x – 99y + 46 = 0
C. 9x – 7y + 2 = 0 và 7x + 9y = 0
D. 9x + 7y + 2 = 0 và 77x – 99y + 46 = 0
Đáp án D
Câu 9: Cho hình vuông ABCD có tọa độ đỉnh A(3; 2) và tâm hình vuông là I(-1; 4). Khi đó phương trình của đường chéo BD là:
A. 2x – y + 6 = 0
B. x + y – 3 = 0
C. 2x – y – 1 = 0
D. x – y + 5 = 0
Đáp án A
Câu 10: Cho đường tròn (C) có đường kính là AB với A(5; 1), B(1; -3). Khi đó phương trình của (C) là:
A. x2+y2+2x+2y+9=0
B. x2+y2-6x+2y+2=0
C. x2+y2-2x-2y-7=0
D. x2+y2-6x+2y+15=0
Đáp án B
Câu 11: Cho đường tròn (C): x2+y2+8x+6y+5=0 và đường thẳng Δ: 3x – 4y + m = 0. Giá trị của m để đường thẳng cắt đường tròn theo dây cung dài nhất là:
A. m = 0
B. m = 2
C. m = 4
D. m = 6
Đáp án A
Câu 12: Cho phương trình x2+y2-2(m-4)x-2(m+2)y+5m+6=0. Giá trị m để phương trình trên là phương trình của một đường tròn bán kính R = 2 là
A. m=±2
B. m=±5/2
D. m=-2,m=-5/2
C. m=2,m=5/2
Đáp án D
Để phương trình trên là phương trình của một đường tròn có bán kính R = 2 thì
Câu 13: Cho đường tròn (C): x2+y2-2x+2y-14=0 và đường thẳng ∆: - x + 2y – 2 = 0. Đường thẳng ∆ cắt đường tròn (C) theo dây cung có độ dài là:
A. √11
B. 2√5
C. 2√11
D. √3
Đáp án C
Câu 14: Đường tròn có tâm nằm trên đường thẳng ∆1:x+y-3=0, đi qua điểm A(-1; 3) và tiếp xúc với đường thẳng ∆2:x-y+5=0 có phương trình là:
A. x2+y2-4x-2y-8=0
B. x2+y2+x-7y+12=0
C. x2+y2+2x+2y-1=0
D. x2+y22x-2y+9=0
Đáp án B
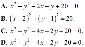
Câu 15: 15. Cho tam giác ABC có A(-2; 4); B (5; 5); C( 6; -2). Đường tròn ngoại tiếp tam giác ABC có phương trình là:
Đáp án D
Câu 16: Phương trình chính tắc của elip có độ dài trục nhỏ bằng 12, độ dài tiêu cự bằng 8 là
Đáp án B
Câu 17: Cho elip có phương trình 16x2 + my2 = 400 có chu vi hình chữ nhật cơ sở là 30. Khi đó m nhận giá trị là:
A. 9 B. 25 C. 64 D. 100
Đáp án C
Câu 18:Elip có một tiêu điểm F(-2; 0) và tích độ dài trục lớn với trục bé bằng 12√5. Phương trình chính tắc của elip là:
Đáp án A
Câu 19: Lập phương trình chính tắc của elip có độ dài trục lớn bằng 6 và tỉ số của tiêu cự với độ dài trục lớn bằng 1/3.
Đáp án A
Câu 20: Elip đi qua các điểm M (0; 3) và có phương trình chính tắc là:
Đáp án B
(199k) Học Toán 10 KNTTHọc Toán 10 CDHọc Toán 10 CTST
Xem thêm bài tập trắc nghiệm Toán 10 có lời giải hay khác:
- Trắc nghiệm Phương trình đường Elip (có lời giải - phần 2)
- Trắc nghiệm Ôn tập cuối năm (có lời giải)
- Trắc nghiệm Ôn tập cuối năm (có lời giải - phần 2)
Để học tốt lớp 10 các môn học sách mới:
- Giải bài tập Lớp 10 Kết nối tri thức
- Giải bài tập Lớp 10 Chân trời sáng tạo
- Giải bài tập Lớp 10 Cánh diều
Tủ sách VIETJACK shopee lớp 10-11 (cả 3 bộ sách):
Đã có app VietJack trên điện thoại, giải bài tập SGK, SBT Soạn văn, Văn mẫu, Thi online, Bài giảng....miễn phí. Tải ngay ứng dụng trên Android và iOS.
Theo dõi chúng tôi miễn phí trên mạng xã hội facebook và youtube:Nếu thấy hay, hãy động viên và chia sẻ nhé! Các bình luận không phù hợp với nội quy bình luận trang web sẽ bị cấm bình luận vĩnh viễn.
- Giải Tiếng Anh 10 Global Success
- Giải Tiếng Anh 10 Friends Global
- Giải sgk Tiếng Anh 10 iLearn Smart World
- Giải sgk Tiếng Anh 10 Explore New Worlds
- Lớp 10 - Kết nối tri thức
- Soạn văn 10 (hay nhất) - KNTT
- Soạn văn 10 (ngắn nhất) - KNTT
- Soạn văn 10 (siêu ngắn) - KNTT
- Giải sgk Toán 10 - KNTT
- Giải sgk Vật lí 10 - KNTT
- Giải sgk Hóa học 10 - KNTT
- Giải sgk Sinh học 10 - KNTT
- Giải sgk Địa lí 10 - KNTT
- Giải sgk Lịch sử 10 - KNTT
- Giải sgk Kinh tế và Pháp luật 10 - KNTT
- Giải sgk Tin học 10 - KNTT
- Giải sgk Công nghệ 10 - KNTT
- Giải sgk Hoạt động trải nghiệm 10 - KNTT
- Giải sgk Giáo dục quốc phòng 10 - KNTT
- Lớp 10 - Chân trời sáng tạo
- Soạn văn 10 (hay nhất) - CTST
- Soạn văn 10 (ngắn nhất) - CTST
- Soạn văn 10 (siêu ngắn) - CTST
- Giải Toán 10 - CTST
- Giải sgk Vật lí 10 - CTST
- Giải sgk Hóa học 10 - CTST
- Giải sgk Sinh học 10 - CTST
- Giải sgk Địa lí 10 - CTST
- Giải sgk Lịch sử 10 - CTST
- Giải sgk Kinh tế và Pháp luật 10 - CTST
- Giải sgk Hoạt động trải nghiệm 10 - CTST
- Lớp 10 - Cánh diều
- Soạn văn 10 (hay nhất) - Cánh diều
- Soạn văn 10 (ngắn nhất) - Cánh diều
- Soạn văn 10 (siêu ngắn) - Cánh diều
- Giải sgk Toán 10 - Cánh diều
- Giải sgk Vật lí 10 - Cánh diều
- Giải sgk Hóa học 10 - Cánh diều
- Giải sgk Sinh học 10 - Cánh diều
- Giải sgk Địa lí 10 - Cánh diều
- Giải sgk Lịch sử 10 - Cánh diều
- Giải sgk Kinh tế và Pháp luật 10 - Cánh diều
- Giải sgk Tin học 10 - Cánh diều
- Giải sgk Công nghệ 10 - Cánh diều
- Giải sgk Hoạt động trải nghiệm 10 - Cánh diều
- Giải sgk Giáo dục quốc phòng 10 - Cánh diều


Giải bài tập SGK & SBT
Tài liệu giáo viên
Sách
Khóa học
Thi online
Hỏi đáp

