Trắc nghiệm Phương trình đường thẳng (có lời giải)
Trắc nghiệm Phương trình đường thẳng (có lời giải)
(199k) Học Toán 10 KNTTHọc Toán 10 CDHọc Toán 10 CTST
Câu 1: Cho đường thẳng Δ có một vectơ chỉ phương là u→(-3;5). Vectơ nào dưới đây không phải là VTCP của Δ?
Đáp án D
Các vectơ khác vectơ – không, cùng phương (tọa độ tỉ lệ) với u→ thì đều là VTCP của đường thẳng Δ.
Do đó vectơ ở phương án D không phải là VTCP.
Câu 2: Phương trình tham số của đường thẳng Δ đi qua điểm M(2; 3) và có hệ số góc k = 4 là:
Đáp án C
Đường thẳng Δ có hệ số góc k = 4 nên có vectơ chỉ phương u→ = (1;4). Do đó C là phương án đúng.
Chú ý. Học sinh có thể nhầm sâng các loại phương trình khác của đường thẳng như các phương án ở A và B. Đây đều là phương trình của đường thẳng nhưng không là phương trình tham số.
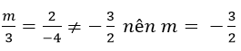
Câu 3: Cho hai đường thẳng d1: 3x – 4y +2 = 0 và d2: mx +2y – 3 = 0. Hai đường thẳng song song với nhau khi:
A. m = 3 B. m=3/2
C. m=-3/2 D. m = - 3
Đáp án C
Hai đường thẳng song song khi:
Câu 4: Cho hai đường thẳng d1: y = 3x – 1 và
Góc giữa hai đường thẳng là:
A. α = 30o B. α=45o C. α=60o D. α=90o
Đáp án B
Hai đường thẳng lần lượt có các vectơ chỉ phương là u1→=(1;3) và u2→=(-1;2) nên ta có
Do đó góc giữa hai đường thẳng là α = 45o.
Câu 5: Cho điểm A(-2; 1) và hai đường thẳng d1: 3x – 4y + 2 = 0 và d2: mx + 3y – 3 = 0. Giá trị của m để khoảng cách từ A đến hai đường thẳng bằng nhau là:
A. m=±1
B. m = 1 và m = 4
C. m=±4
D. m = - 1 và m = 4
Đáp án C
Sử dụng công thức khoảng cách ta có:
Chú ý. Học sinh có thể thử lại các phương án được đưa ra để chọn đáp án đúng, tuy nhiên sẽ tốn nhiều thời gian hơn là làm bài toán trực tiếp.
Câu 6: Cho tam giác ABC với A(-2; 3), B(1; 4), C(5; -2). Phương trình đường trung tuyến AM của tam giác là:
A. x – 2y + 8 = 0
B. 2x + 5y – 11 = 0
C. 3x – y + 9 = 0
D. x + y – 1 = 0
Đáp án B
Câu 7: Cho tam giác ABC có phương trình các cạnh AB: 3x – y + 4 = 0, AC: x + 2y – 4 = 0, BC: 2x + 3y – 2 = 0. Khi đó diện tích của tam giác ABC là:
Đáp án C
Bằng việc lần lượt giải các hệ phương trình bậc nhất hai ẩn, ta có tọa độ các đỉnh của tam giác là
Ta có công thức tính diện tích tam giác ABC là:
Câu 8: Cho điểm A(3; 5) và các đường thẳng d1: y = 6, d2: x = 2. Số đường thẳng d qua A tạo với các đường thẳng d1, d2 một tam giác vuông cân là
A. 0 B. 1 C. 2 D. Vô số
Đáp án B
Do d1 ⊥ d2 nên d có tính chất trên thì d tạo với tía Ox góc 45o hoặc 135o. Mà d1, d2 cắt nhau tại B(2; 6) nên AB tạo với Ox góc 135o. Do đó, trong hai đường thẳng kề trên chỉ có đường thẳng tạo với Ox góc 45o thỏa mãn yêu cầu, còn đường thẳng tạo với Ox góc 135o phải loại bỏ do khi đó không tạo thành tam giác. Đáp án là phương án B.
Chú ý. Học sinh thường quên xét góc của AB tạo với Ox và chọn luôn phương án là hai đường thẳng.
Câu 9: Có bao nhiêu vectơ pháp tuyến của một đường thẳng?
A. 0 B. 1 C. 2 D. Vô số
Đáp án D
Nếu n→ là vectơ pháp tuyến của một đường thẳng thì kn→ (với k ≠ 0) đều là vectơ pháp tuyến của đường thẳng.
Vì thế có vô số vectơ pháp tuyến của một đường thẳng.
Câu 10: Cho đường thẳng Δ có vectơ chỉ phương là u→=(2;-3). Vectơ nào sau đây không phải là vectơ chỉ phương của Δ?
Đáp án A
Nếu u→ là vectơ chỉ phương của một đường thẳng thì ku→ (với k ≠ 0) đều là vectơ chỉ phương của đường thẳng đó.
Vì vậy các vectơ có tọa độ tỉ lệ với u→=(2;-3) đều là vectơ chỉ phương.
Ta có:
Do đó, trong các vectơ đã cho có u1→ không phải là vectơ chỉ phương của đường thẳng ∆.
Câu 11: Cho đường thẳng Δ có vectơ chỉ phương là u→=(2;-3). Vectơ nào sau đây là vectơ pháp tuyến của Δ?
Đáp án C
Gọi u→; n→ lần lượt là vectơ chỉ phương và vectơ pháp tuyến của đường thẳng ∆:
Câu 12: Cho đường thẳng Δ có phương trình
Vectơ nào sau đây là vectơ chỉ phương của Δ?
Đáp án D
Câu 13: Cho đường thẳng Δ có phương trình y = 4x – 2. Vectơ nào sau đây là vectơ pháp tuyến của Δ?
Đáp án B
Đường thẳng Δ có phương trình y = 4x – 2 ⇔ 4x – y – 2 = 0 nên có một vectơ pháp tuyến là n→=(4;-1)
Câu 14: Cho đường thẳng Δ có phương trình Điểm nào sau đây nằm trên đường thẳng Δ?
Đáp án B
Điểm nằm trên đường thẳng ∆ nếu tọa độ điểm thỏa mãn phương trình đường thẳng ứng với một giá trị t nào đó.
Câu 15: Cho đường thẳng Δ có phương trình 3x – 4y + 2 = 0. Điểm nào sau đây không nằm trên đường thẳng Δ?
Đáp án B
Câu 16: Một đường thẳng có bao nhiêu phương trình tham số?
A. 0 B. 1 C. 2 D. Vô số
Đáp án D
Phương trình tham số tùy thuộc vào điểm được chọn trên đường thẳng và vectơ chỉ phương của đường thẳng.
Mà 1 đường thẳng có vô số điểm và có vô số vectơ chỉ phương nên có vô số phương trình tham số của đường thẳng.
Câu 17: Phương trình của đường thẳng qua điểm M(x0; y0) có vectơ chỉ phương u→=(a;b) là:
A. b(x-x0 ) - a(y-y0 )=0
B. a(x+x0 ) + b(y+y0 )=0
C. a(x-x0 ) + b(y-y0 )=0
Đáp án B
Đường thẳng có vectơ pháp tuyến n→=(b;-a) nên phương trình của đường thẳng là b(x-x0)-a(y-y0)=0
Câu 18: Phương trình của đường thẳng qua điểm M(x0 ;y0 ) có vectơ pháp tuyến n→=(a;b) là:
A. b(x - x0) - a(y - y0) = 0
B. a(x + x0) + b(y + y0) = 0
C. a(x - x0) + b(y - y0) = 0
Đáp án D
Câu 19: Phương trình tham số của đường thẳng Δ đi qua điểm M(3; 4) và có vectơ chỉ phương là u→ = (3;4) là:
Đáp án B
Câu 20: Phương trình tổng quát của Δ đi qua điểm M(3;4) và có vectơ pháp tuyến n→=(1;-2)là:
A. 3(x + 1) + 4(y – 2) = 0
B. 3(x – 1) + 4(y + 2) = 0
C. (x – 3) – 2(y – 4) = 0
D. (x + 3) – 2(y + 4) = 0
Đáp án C
(199k) Học Toán 10 KNTTHọc Toán 10 CDHọc Toán 10 CTST
Xem thêm bài tập trắc nghiệm Toán 10 có lời giải hay khác:
- Trắc nghiệm Phương trình đường thẳng (có lời giải - phần 2)
- Trắc nghiệm Phương trình đường thẳng (có lời giải - phần 3)
- Trắc nghiệm Phương trình đường tròn (có lời giải)
- Trắc nghiệm Phương trình đường tròn (có lời giải - phần 2)
- Trắc nghiệm Phương trình đường tròn (có lời giải - phần 3)
Để học tốt lớp 10 các môn học sách mới:
- Giải bài tập Lớp 10 Kết nối tri thức
- Giải bài tập Lớp 10 Chân trời sáng tạo
- Giải bài tập Lớp 10 Cánh diều
Tủ sách VIETJACK shopee lớp 10-11 (cả 3 bộ sách):
Đã có app VietJack trên điện thoại, giải bài tập SGK, SBT Soạn văn, Văn mẫu, Thi online, Bài giảng....miễn phí. Tải ngay ứng dụng trên Android và iOS.
Theo dõi chúng tôi miễn phí trên mạng xã hội facebook và youtube:Nếu thấy hay, hãy động viên và chia sẻ nhé! Các bình luận không phù hợp với nội quy bình luận trang web sẽ bị cấm bình luận vĩnh viễn.
- Giải Tiếng Anh 10 Global Success
- Giải Tiếng Anh 10 Friends Global
- Giải sgk Tiếng Anh 10 iLearn Smart World
- Giải sgk Tiếng Anh 10 Explore New Worlds
- Lớp 10 - Kết nối tri thức
- Soạn văn 10 (hay nhất) - KNTT
- Soạn văn 10 (ngắn nhất) - KNTT
- Soạn văn 10 (siêu ngắn) - KNTT
- Giải sgk Toán 10 - KNTT
- Giải sgk Vật lí 10 - KNTT
- Giải sgk Hóa học 10 - KNTT
- Giải sgk Sinh học 10 - KNTT
- Giải sgk Địa lí 10 - KNTT
- Giải sgk Lịch sử 10 - KNTT
- Giải sgk Kinh tế và Pháp luật 10 - KNTT
- Giải sgk Tin học 10 - KNTT
- Giải sgk Công nghệ 10 - KNTT
- Giải sgk Hoạt động trải nghiệm 10 - KNTT
- Giải sgk Giáo dục quốc phòng 10 - KNTT
- Lớp 10 - Chân trời sáng tạo
- Soạn văn 10 (hay nhất) - CTST
- Soạn văn 10 (ngắn nhất) - CTST
- Soạn văn 10 (siêu ngắn) - CTST
- Giải Toán 10 - CTST
- Giải sgk Vật lí 10 - CTST
- Giải sgk Hóa học 10 - CTST
- Giải sgk Sinh học 10 - CTST
- Giải sgk Địa lí 10 - CTST
- Giải sgk Lịch sử 10 - CTST
- Giải sgk Kinh tế và Pháp luật 10 - CTST
- Giải sgk Hoạt động trải nghiệm 10 - CTST
- Lớp 10 - Cánh diều
- Soạn văn 10 (hay nhất) - Cánh diều
- Soạn văn 10 (ngắn nhất) - Cánh diều
- Soạn văn 10 (siêu ngắn) - Cánh diều
- Giải sgk Toán 10 - Cánh diều
- Giải sgk Vật lí 10 - Cánh diều
- Giải sgk Hóa học 10 - Cánh diều
- Giải sgk Sinh học 10 - Cánh diều
- Giải sgk Địa lí 10 - Cánh diều
- Giải sgk Lịch sử 10 - Cánh diều
- Giải sgk Kinh tế và Pháp luật 10 - Cánh diều
- Giải sgk Tin học 10 - Cánh diều
- Giải sgk Công nghệ 10 - Cánh diều
- Giải sgk Hoạt động trải nghiệm 10 - Cánh diều
- Giải sgk Giáo dục quốc phòng 10 - Cánh diều


Giải bài tập SGK & SBT
Tài liệu giáo viên
Sách
Khóa học
Thi online
Hỏi đáp

