Trắc nghiệm Tích của vectơ với một số (có lời giải - phần 2)
Trắc nghiệm Tích của vectơ với một số (có lời giải - phần 2)
(199k) Học Toán 10 KNTTHọc Toán 10 CDHọc Toán 10 CTST
Câu 21: Điều kiện nào dưới đây là điều kiện cần và đủ để điểm O là trung điểm của đoạn AB?
Đáp án D
Câu 22: Cho hình bình hành ABCD tâm O. Đẳng thức nào sau đây đúng?
Đáp án B
Câu 23: Cho hình bình hành ABCD. Khẳng định nào sau đây đúng?
Đáp án D
Câu 24: Cho tam giác ABC với trung tuyến AM và trọng tâm G. Khi đó AG→ bằng
Đáp án C
Câu 25: Cho tam giác ABC và điểm M thỏa mãn
Khi đó điểm M là:
A. Trọng tâm tam giác ABC
B. Trung điểm của AB
C. Trung điểm của CC’ (C’ là trung điểm của AB)
D. Đỉnh thứ tư của hình bình hành ACBM
Đáp án C
Câu 26: Cho tam giác ABC có A’, B’, C’ lần lượt là trung điềm của các cạnh BC, CA, AB. Khẳng định nào sau đây là sai?
Đáp án D
Tam giác ABC có A’B’; B’C’; A’C’ là các đường trung bình của tam giác nên ta có:
Từ đó, ta có các khẳng định A, B; C đúng và D sai
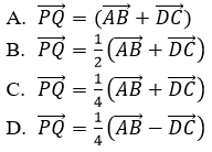
Câu 27: Cho tứ giác ABCD. Gọi M, N lần lượt là trung điểm của AB và CD. Khi đó MN→ bằng:
Đáp án C
Câu 28: Nếu G là trọng tâm tam giác ABC thì khẳng định nào sau đây đúng?
Đáp án B
Câu 29: Cho tam giác ABC, có AM là trung tuyến. I là trung điểm của AM. Khẳng định nào sau đây là đúng?
Đáp án A
Câu 30: Cho tứ giác ABCD. Dựng điểm M sao cho
Khẳng định nào sau đây sai?
A. M là giao điểm của AC và BD
B. M là trung điểm đoạn nối hai trung điểm các cặp cạnh AB và CD
C. M là trung điểm đoạn nối hai trung điểm các cặp cạnh AD và CB
D. M là trung điểm đoạn nối hai trung điểm các đường chéo AC và BD
Đáp án A
Câu 31: Cho hình bình hành ABCD có O là giao điểm của hai đường chéo. Khẳng định nào sau đây sai?
Đáp án C
Câu 32: Cho tứ giác ABCD. Trên các cạnh AB, CD lấy lần lượt các điểm M, N tùy ý. Gọi P, Q lần lượt là trọng tâm các tứ giác AMND và BMNC. Đẳng thức nào sau đây đúng?
Đáp án C
Câu 33: Cho hình vuông ABCD có cạnh AB = 1 và giao điểm các đường chéo là H. Điểm M thỏa mãn điều kiện
A. Trung điểm của AB
B. Trung điểm của CD
C. Trung điểm của AD
D. Điểm H
Đáp án D
Câu 34: Cho ngũ giác ABCDE. Dựng điểm M thỏa mãn điều kiện
Gọi G là trọng tâm tam giác ABC, H là trung điểm của DE. Khi đó:
Đáp án D
Câu 35: Cho lục giác đều ABCDEF. Biểu diễn các vectơ AD→ ,BC→ ,EF→ theo các vectơ u→ = AB→ ,v→=AE→. Đẳng thức nào sau đây sai?
Đáp án C
Câu 36: Cho lục giác ABCDEF. Gọi M, N, P, Q, R, S lần lượt là trung điểm các cạnh AB, BC, CD, DE, EF, FA. Các cặp tam giác nào sau đây có cùng trọng tâm?
A. MPR và MDE
B. MPR và ABQ
C. MPR và NQS
D. MNR và PQS
Đáp án C
Câu 37: Cho hai vectơ a→ và b→ không cùng phương. Hai vectơ nào sau đây cùng phương?
Đáp án C
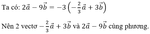
Câu 38: Biết rằng hai vectơ a→ và b→ không cùng phương nhưng hai vectơ 2xa→ - 3b→ và (2x+1)a→ + a→ cùng phương. Khi đó giá trị của x bằng:
Đáp án D
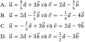
Câu 39: Cho hai vectơ a→ và b→ không cùng phương. Hai vectơ nào sau đây cùng phương?
Đáp án C
Câu 40: Cho hai điểm phân biệt A, B cố định và số thực k > 0. I là trung điểm của AB. Tập hợp các điểm M sao cho |MA→ + MB→ | = k là:
A. Đường thẳng AB
B. Đường tròn tâm I, bán kính k/2
C. Đường tròn tâm I, bán kính k
D. Đường tròn tâm I, bán kính 2k
Đáp án B
(199k) Học Toán 10 KNTTHọc Toán 10 CDHọc Toán 10 CTST
Xem thêm bài tập trắc nghiệm Toán 10 có lời giải hay khác:
- Trắc nghiệm Tích của vectơ với một số (có lời giải - phần 3)
- Trắc nghiệm Hệ trục tọa độ (có đáp án)
- Tổng hợp trắc nghiệm Vecto (có lời giải)
- Tổng hợp trắc nghiệm Vecto (có lời giải - phần 2)
Để học tốt lớp 10 các môn học sách mới:
- Giải bài tập Lớp 10 Kết nối tri thức
- Giải bài tập Lớp 10 Chân trời sáng tạo
- Giải bài tập Lớp 10 Cánh diều
Tủ sách VIETJACK shopee lớp 10-11 (cả 3 bộ sách):
Đã có app VietJack trên điện thoại, giải bài tập SGK, SBT Soạn văn, Văn mẫu, Thi online, Bài giảng....miễn phí. Tải ngay ứng dụng trên Android và iOS.
Theo dõi chúng tôi miễn phí trên mạng xã hội facebook và youtube:Nếu thấy hay, hãy động viên và chia sẻ nhé! Các bình luận không phù hợp với nội quy bình luận trang web sẽ bị cấm bình luận vĩnh viễn.
- Giải Tiếng Anh 10 Global Success
- Giải Tiếng Anh 10 Friends Global
- Giải sgk Tiếng Anh 10 iLearn Smart World
- Giải sgk Tiếng Anh 10 Explore New Worlds
- Lớp 10 - Kết nối tri thức
- Soạn văn 10 (hay nhất) - KNTT
- Soạn văn 10 (ngắn nhất) - KNTT
- Soạn văn 10 (siêu ngắn) - KNTT
- Giải sgk Toán 10 - KNTT
- Giải sgk Vật lí 10 - KNTT
- Giải sgk Hóa học 10 - KNTT
- Giải sgk Sinh học 10 - KNTT
- Giải sgk Địa lí 10 - KNTT
- Giải sgk Lịch sử 10 - KNTT
- Giải sgk Kinh tế và Pháp luật 10 - KNTT
- Giải sgk Tin học 10 - KNTT
- Giải sgk Công nghệ 10 - KNTT
- Giải sgk Hoạt động trải nghiệm 10 - KNTT
- Giải sgk Giáo dục quốc phòng 10 - KNTT
- Lớp 10 - Chân trời sáng tạo
- Soạn văn 10 (hay nhất) - CTST
- Soạn văn 10 (ngắn nhất) - CTST
- Soạn văn 10 (siêu ngắn) - CTST
- Giải Toán 10 - CTST
- Giải sgk Vật lí 10 - CTST
- Giải sgk Hóa học 10 - CTST
- Giải sgk Sinh học 10 - CTST
- Giải sgk Địa lí 10 - CTST
- Giải sgk Lịch sử 10 - CTST
- Giải sgk Kinh tế và Pháp luật 10 - CTST
- Giải sgk Hoạt động trải nghiệm 10 - CTST
- Lớp 10 - Cánh diều
- Soạn văn 10 (hay nhất) - Cánh diều
- Soạn văn 10 (ngắn nhất) - Cánh diều
- Soạn văn 10 (siêu ngắn) - Cánh diều
- Giải sgk Toán 10 - Cánh diều
- Giải sgk Vật lí 10 - Cánh diều
- Giải sgk Hóa học 10 - Cánh diều
- Giải sgk Sinh học 10 - Cánh diều
- Giải sgk Địa lí 10 - Cánh diều
- Giải sgk Lịch sử 10 - Cánh diều
- Giải sgk Kinh tế và Pháp luật 10 - Cánh diều
- Giải sgk Tin học 10 - Cánh diều
- Giải sgk Công nghệ 10 - Cánh diều
- Giải sgk Hoạt động trải nghiệm 10 - Cánh diều
- Giải sgk Giáo dục quốc phòng 10 - Cánh diều


Giải bài tập SGK & SBT
Tài liệu giáo viên
Sách
Khóa học
Thi online
Hỏi đáp

