Trắc nghiệm Tích vô hướng của hai vectơ (có lời giải - phần 3)
Trắc nghiệm Tích vô hướng của hai vectơ (có lời giải - phần 3)
(199k) Học Toán 10 KNTTHọc Toán 10 CDHọc Toán 10 CTST
Câu 38: Cho tam giác ABC vuông tại A. Giá trị của
A. 0
B. BC2
C. AB2 - BC2
D. AB2
Đáp án B
Câu 39: Cho tam giác ABC cân tại A. Giá trị của
A. AB2
B. BC2
C. AB2 - BC2
D. 0
Đáp án C
Câu 40: Cho tam giác ABC vuông tại B, AB = 9. Giá trị của AB→.AC→ bằng
A. 0 B. 3 C. 81 D. 9
Đáp án C
Câu 41: Trong mặt phẳng tọa độ Oxy, cho:
A. 1 B. -1 C. -56 D. 56
Đáp án B
Câu 42: Trong mặt phẳng tọa độ Oxy, cho a→ = (1;-3),b→=(6;x). Hai vectơ đó vuông góc với nhau khi và chỉ khi
A. x = - 2 B. x = 2 C. x = -3 D. x = 3
Đáp án B
Câu 43: Trong mặt phẳng tọa độ Oxy, cho u→ =(-1;x),v→=(2;4). Hai vectơ này có độ dài bằng nhau khi và chỉ khi
A. x=√19
B. x=-√19
C. x=√21
D. x ∈ {-√19; √19}
Đáp án D
Câu 44: Cho tứ giác ABCD. Biểu thức
A. 0→
B. CD2
C. 0
D. AB2 + AC2 + AD2
Đáp án C
Câu 45: Cho hình thoi ABCD. Giá trị của
A. 1
B. 0
C. AB2 - BC2
D. AB2 + BC2
Đáp án B
Câu 46: Nếu điểm M nằm trên đường trung trực của đoạn thẳng AB thì
A. 1 B. -AB2 C. 0 D. AB2
Đáp án C
Câu 47: Cho vectơ a→. Khẳng định nào sau đây là đúng?
Đáp án C
Câu 48: Trong mặt phẳng tọa độ Oxy, cho ba điểm A(3; -1); B(2; 10); C(-4; 2).Tính tích vô hướng AB→.AC→ .
A. 40
B. – 40
C. 26
D. – 26
Đáp án A
Câu 49: Trong mặt phẳng tọa độ Oxy, cho hai vectơ . Tính tích vô hướng
A. – 30
B. 3
C. 30
D. 43
Đáp án A
Câu 50: Trong mặt phẳng tọa độ Oxy, cho hai vectơ . Tìm tọa độ vectơ
.
Đáp án B
Câu 51: Trong mặt phẳng tọa độ Oxy, cho hai vectơ . Tính cosin của góc giữa hai vectơ
Đáp án B
Câu 52: Trong mặt phẳng tọa độ Oxy, cho hai vectơ . Tính góc giữa hai vectơ
A.90°
B. 60°
C. 45°
D. 30°
Đáp án C
Câu 53: Trong mặt phẳng tọa độ Oxy, cho tam giác ABC có A(6; 0); B(3;1) và C(-1; -1). Tính số đo góc B của tam giác đã cho.
A. 15°
B.60°
C. 120°
D. 135°.
Đáp án D
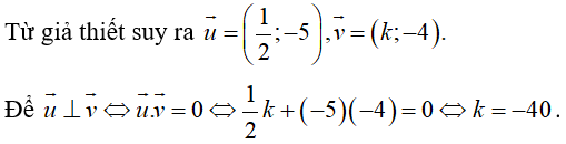
Câu 54: Trong mặt phẳng tọa độ Oxy, cho hai vectơ . Tìm k để vectơ u→ vuông góc với v→
A. k = 20
B. k = -20
C. k = -40
D. k= 40
Đáp án C
Câu 55: Trong mặt phẳng tọa độ Oxy, cho hai vectơ . Tìm vectơ d→ biết
.
Đáp án B
Câu 56: Trong mặt phẳng tọa độ Oxy, cho ba vectơ với m ∈ R. Tìm m để a→ vuông góc với trục hoành.
A. m = 4
B. m = -4
C. m = -2
D. m = 2
Đáp án B
(199k) Học Toán 10 KNTTHọc Toán 10 CDHọc Toán 10 CTST
Xem thêm bài tập trắc nghiệm Toán 10 có lời giải hay khác:
- Trắc nghiệm Tích vô hướng của hai vectơ (có lời giải - phần 4)
- Trắc nghiệm Hệ thức lượng trong tam giác (có lời giải)
- Trắc nghiệm Hệ thức lượng trong tam giác (có lời giải - phần 2)
- Trắc nghiệm Hệ thức lượng trong tam giác (có lời giải - phần 3)
- Tổng hợp trắc nghiệm Tích vô hướng của hai vectơ và ứng dụng (có lời giải)
Để học tốt lớp 10 các môn học sách mới:
- Giải bài tập Lớp 10 Kết nối tri thức
- Giải bài tập Lớp 10 Chân trời sáng tạo
- Giải bài tập Lớp 10 Cánh diều
Tủ sách VIETJACK shopee lớp 10-11 (cả 3 bộ sách):
Đã có app VietJack trên điện thoại, giải bài tập SGK, SBT Soạn văn, Văn mẫu, Thi online, Bài giảng....miễn phí. Tải ngay ứng dụng trên Android và iOS.
Theo dõi chúng tôi miễn phí trên mạng xã hội facebook và youtube:Nếu thấy hay, hãy động viên và chia sẻ nhé! Các bình luận không phù hợp với nội quy bình luận trang web sẽ bị cấm bình luận vĩnh viễn.
- Giải Tiếng Anh 10 Global Success
- Giải Tiếng Anh 10 Friends Global
- Giải sgk Tiếng Anh 10 iLearn Smart World
- Giải sgk Tiếng Anh 10 Explore New Worlds
- Lớp 10 - Kết nối tri thức
- Soạn văn 10 (hay nhất) - KNTT
- Soạn văn 10 (ngắn nhất) - KNTT
- Soạn văn 10 (siêu ngắn) - KNTT
- Giải sgk Toán 10 - KNTT
- Giải sgk Vật lí 10 - KNTT
- Giải sgk Hóa học 10 - KNTT
- Giải sgk Sinh học 10 - KNTT
- Giải sgk Địa lí 10 - KNTT
- Giải sgk Lịch sử 10 - KNTT
- Giải sgk Kinh tế và Pháp luật 10 - KNTT
- Giải sgk Tin học 10 - KNTT
- Giải sgk Công nghệ 10 - KNTT
- Giải sgk Hoạt động trải nghiệm 10 - KNTT
- Giải sgk Giáo dục quốc phòng 10 - KNTT
- Lớp 10 - Chân trời sáng tạo
- Soạn văn 10 (hay nhất) - CTST
- Soạn văn 10 (ngắn nhất) - CTST
- Soạn văn 10 (siêu ngắn) - CTST
- Giải Toán 10 - CTST
- Giải sgk Vật lí 10 - CTST
- Giải sgk Hóa học 10 - CTST
- Giải sgk Sinh học 10 - CTST
- Giải sgk Địa lí 10 - CTST
- Giải sgk Lịch sử 10 - CTST
- Giải sgk Kinh tế và Pháp luật 10 - CTST
- Giải sgk Hoạt động trải nghiệm 10 - CTST
- Lớp 10 - Cánh diều
- Soạn văn 10 (hay nhất) - Cánh diều
- Soạn văn 10 (ngắn nhất) - Cánh diều
- Soạn văn 10 (siêu ngắn) - Cánh diều
- Giải sgk Toán 10 - Cánh diều
- Giải sgk Vật lí 10 - Cánh diều
- Giải sgk Hóa học 10 - Cánh diều
- Giải sgk Sinh học 10 - Cánh diều
- Giải sgk Địa lí 10 - Cánh diều
- Giải sgk Lịch sử 10 - Cánh diều
- Giải sgk Kinh tế và Pháp luật 10 - Cánh diều
- Giải sgk Tin học 10 - Cánh diều
- Giải sgk Công nghệ 10 - Cánh diều
- Giải sgk Hoạt động trải nghiệm 10 - Cánh diều
- Giải sgk Giáo dục quốc phòng 10 - Cánh diều


Giải bài tập SGK & SBT
Tài liệu giáo viên
Sách
Khóa học
Thi online
Hỏi đáp

