80 bài tập trắc nghiệm Thể tích khối đa diện (có đáp án)
Với 80 bài tập & câu hỏi trắc nghiệm Thể tích khối đa diện lớp 12 có đáp án và lời giải chi tiết đầy đủ các mức độ nhận biết, thông hiểu, vận dụng sẽ giúp học sinh ôn trắc nghiệm Toán 12.
80 bài tập trắc nghiệm Thể tích khối đa diện (có đáp án)
(199k) Học Toán 12 KNTTHọc Toán 12 CDHọc Toán 12 CTST
Câu 1: Tính thể tích V của hình chóp S.ABC có đáy là tam giác đều có cạnh bằng a, SA vuông góc với đáy, khoảng cách từ A đến mặt phẳng (SBC) bằng √3a/4 . Thể tích của hình chóp S.ABC là:
Gọi M là trung điểm của BC, H là chân đường vuông góc kẻ từ A đến SM. Khi đó khoảng cách từ A đến mặt phẳng (SBC) bằng AH. Ta có:
Do đó đáp án đúng là D
Câu 2: Cho hình chóp S.ABC, có đáy là tam giác vuông ở A, SC vuông góc với đáy, AC = a/2, SC = BC = a√2 . Mặt phẳng (P) qua C vuông góc với SB cắt SA, SB lần lượt tại A’, B’. Gọi V là thể tích hình chóp S.ABC, V’ là thể tích hình chóp S.A’B’C. Tính tỉ số k = V'/V
Do CS = CB nên B’ là trung điểm của SB.
Ta có:
Đáp án : C
Cách khác: Từ (a) suy ra
Hai hình chóp C.SA’B’ và C.SBA cùng chiều cao nên
Nhận xét: Một số người không thấy được từ (a) có thể suy ngay ra (b) hoặc (c), mà lại từ đó rút ra tính SA’ để áp dụng công thức
sẽ mất nhiều thời gian.
Câu 3: Cho hình chóp S.ABC, có đáy là tam giác vuông ở A, SC vuông góc với đáy, AC = a/2, SC = BC = a√2. Mặt phẳng (P) qua C vuông góc với SB cắt SA, SB lần lượt tại A’, B’. Tính thể tích V của hình chóp S.A’B’C.
Cách 1. Áp dụng ví dụ 2, ta có
Từ đó suy ra
Đáp án A.
Cách 2. Dễ thấy
Khoảng cách từ B’ đến mặt (SAC) bằng
Ta có ΔSCA' ∾ ΔSAC , tỉ số đồng dạng là
Cách 3. Dễ thấy CA' ⊥ (SAB), CB' = SB' = a
Tính
Câu 4: (Đề thi minh họa môn toán kì thi Tốt nghiệp THPT năm 2017 của bộ GD-ĐT)
Cho hình chóp S.ABCD có đáy là hình vuông cạnh bằng a√2 , tam giác SAD cân tại S, mặt bên (SAD) vuông góc với mặt phẳng đáy. Biết thể tích S.ABCD bằng 4a3/3. Tính khoảng cách h từ B đến mặt phẳng (SCD).
Cách 1. Gọi H là trung điểm của AD, vì ΔASD cân ở S nên SH ⊥ AD.
Vì (SAD)⊥(ABCD) nên SH ⊥ (ABCD). Kẻ HI ⊥ SD.
Vì DC ⊥ AD, DC ⊥ SH nên DC ⊥ (SAD). Do đó DC ⊥ HI.
Kết hợp với HI ⊥ SD, suy ra HI ⊥ (SDC).
Vì AB // (SDC) nên d(B; (SDC)) = d(A; (SDC)) = 2HI
Ta có
Ta lại có
Đáp án B.
Cách 2. Ta có: SH = 2a;
Để ý rằng
Đáp án B.
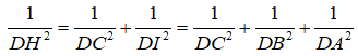
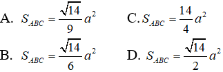
Câu 5: Cho tứ diện ABCD, có các cạnh DA, DB, DC đôi một vuông góc với nhau. Biết rằng DA = a, DB = a√2, DC = 2a. Tính diện tích S của tam giác ABC.
Kẻ DI ⊥ AB, DH ⊥ CI. Khi đó DH ⊥ (BCA).
Suy ra
Chọn D.
Câu 6: Cho hình chóp tứ giác đều S.ABCD có cạnh đáy bằng a, cạnh bên bằng a√2. Mặt phẳng (P) qua A và vuông góc với SC cắt SB, SC, SD lần lượt tại E, I, F. Tính tỉ số k giữa thể tích hình chóp S.AEIF và thể tích hình chóp S.ABCD.
Cách 1. Do các cạnh bên bằng nhau nên hình chiếu của S lên (ABCD) phải trùng với tâm H của hình vuông ABCD.
Dễ thấy I là trung điểm của SC, vì BD ⊥ SC, nên BD//(P). Do đó EF // BD. Để ý rằng EF đi qua trọng tâm J của tam giác SDB.
Chọn B.
Cách 2. Tính trực tiếp. Dễ thấy EF ⊥ AI
Câu 7: Cho hình chóp S.ABCD có đáy là hình chữ nhật, hình chiếu của S lên đáy trùng với trung điểm của AB. Tính thể tích V của hình chóp đã cho, biết rằng AB = a, BC = a√6 , khoảng cách từ A đến mặt (SCD) bằng √6a/3
Gọi M, N lần lượt là trung điểm của AB, CD, H là chân đường vuông góc kẻ từ M tới SN. Khi đó SM ⊥ (ABCD). Vì AB // CD nên AB // (ABCD), do đó d(A, (SCD)) = d(M, (SCD)) = MH
Ta có
Đáp án C.
Câu 8: Cho hình chóp S.ABCD, có đáy là hình vuông cạnh a, SCD là tam giác đều và (SCD) vuông góc với đáy. Tính khoảng cách h từ A đến mặt phẳng (SBD).
Gọi H là trung điểm của CD, dễ thấy SH là đường cao của hình chóp.
Suy ra
Để ý rằng SB2 = SH2 + BH2 = SH2 + BC2 + CH2 = 3a2/4 + a2 + a2/4 = 2a2.
Suy ra BS = BD = a√2, gọi K là trung điểm của SD ta có:
Đáp án C.
Câu 9: Cho hình hộp ABCD.A'B'C'D'. Gọi E, F tương ứng là trung điểm của các cạnh A’A, C’C. Gọi M = (D'E) ∩ (DA), N = (D'F) ∩ (DC). Tính tỉ số giữa thể tích hình chóp D’.DMN và thể tích hình hộp ABCD.A'B'C'D'
Dễ thấy MN đi qua B, MD = 2AD, ND = 2CD. Hình chóp và hình hộp nói trên có chung chiều cao h .
Nếu diện tích đáy của hình hộp bằng S thì diện tích đáy của hình chóp bằng 2S.
Ta có:
Chọn B.
Câu 10: Cho hình hộp ABCD.A'B'C'D'. Gọi E, F tương ứng là trung điểm các cạnh A’A, C’C. Mặt phẳng (D’EF) chia hình hộp thành hai hình đa diện. Gọi (H) là hình đa diện chứa đỉnh A, (H’) là hình đa diện còn lại. Tính tỉ số k giữa thể tích hình (H) và thể tích hình (H’).
Gọi M = (D'E) ∩ (DA), N = (D'F) ∩ (DC). Dễ thấy MN đi qua B, các hình chóp E.AMB và F.CNB có diện tích đáy và chiều cao bằng nhau. Áp dụng công thức (7) ta có :
Áp dụng ví dụ 9, ta có :
Suy ra V(H) = V(H'). Do đó k = 1 .
D là đáp án đúng.
Câu 11: Cho hình chóp tứ giác đều S.ABCD có cạnh đáy bằng 2a, góc giữa mặt bên và mặt đáy bằng 60°. Tính theo a thể tích khối chóp S.ABCD
Gọi O là tâm hình vuông ABCD, M là trung điểm CD.
Khi đó SO là đường cao hình chóp, góc SMO là góc giữa mặt bên và mặt đáy của hình chóp.
Chọn đáp án A.
Câu 12: Cho hình chóp tam giác đều S.ABC, cạnh đáy bằng a. Mặt bên tạo với mặt đáy một góc 60°. Tính thể tích V của hình chóp S.ABC.
Gọi H là tâm của tam giác ABC. Trong (SBC), kẻ SI vuông góc BC.
Do góc giữa mặt bên và mặt đáy là 600 suy ra
Chọn đáp án D.
Câu 13: Khối chóp đều S.ABCD có tất cả các cạnh đều bằng a. Khi đó độ dài đường cao h của khối chóp là:
Gọi O là tâm của hình vuông ABCD.
Ta có : OA = OB = OC = OD và SA = SB = SC = SD
Suy ra : SO là trục đường tròn ngoại tiếp ABCD
⇒ SO ⊥ (ABCD)
Ta có :
Câu 14: Hình chóp tứ giác đều có tất cả các cạnh bằng a. Thể tích khối chóp đó bằng:
Câu 15: Cho tứ diện ABCD có các cạnh BA, BC, BD đôi một vuông góc với nhau: BA = 3a, BC =BD = 2a. Gọi M và N lần lượt là trung điểm của AB và AD Tính thể tích khối chóp C.BDNM
Câu 16: Cho hình chóp S.ABCD có đáy ABCD là hình chữ nhật, SA vuông góc với mặt đáy (ABCD), AB = a, AD = 2. Góc giữa cạnh bên SB và mặt phẳng (ABCD) bằng 45°. Thể tích hình chóp S.ABCD bằng
Câu 17: Cho hình chóp tam giác đều đáy có cạnh bằng a, góc tạo bởi các mặt bên và đáy bằng 60°. Thể tích khối chóp là:
Câu 18: Cho hình chóp S.ABC có đáy ABC là tam giác vuông tại A, AB = a, AC = a√2 , SA vuông góc với mp đáy. Góc tạo bởi (SBC) và mặt đáy bằng 30°. Thể tích S.ABC bằng
Câu 19: Cho khối chóp S.ABC. Trên 3 cạnh SA, SB, SC lần lượt lấy 3 điểm A', B', C' sao cho . Gọi V và V' lần lượt là thể tích của các khối chóp S.ABC và S'.A'B'C' . Khi đó tỷ số
là:
Câu 20: Cho lăng trụ tam giác đều ABC.A'B'C' có góc giữa hai mặt phẳng (A'BC) và (ABC) bằng 60° AB = a. Khi đó thể tích của khối ABCC'B' bằng:
(199k) Học Toán 12 KNTTHọc Toán 12 CDHọc Toán 12 CTST
Xem thêm Bài tập trắc nghiệm Toán lớp 12 có đáp án hay khác:
- 80 bài tập trắc nghiệm Thể tích khối đa diện (có đáp án - phần 2)
- 80 bài tập trắc nghiệm Thể tích khối đa diện (có đáp án - phần 3)
- 80 bài tập trắc nghiệm Thể tích khối đa diện (có đáp án - phần 4)
- 20 bài tập trắc nghiệm Khối đa diện (có đáp án)
- 52 bài tập trắc nghiệm Khái niệm về mặt tròn xoay (có đáp án)
Đã có app VietJack trên điện thoại, giải bài tập SGK, SBT Soạn văn, Văn mẫu, Thi online, Bài giảng....miễn phí. Tải ngay ứng dụng trên Android và iOS.
Theo dõi chúng tôi miễn phí trên mạng xã hội facebook và youtube:Nếu thấy hay, hãy động viên và chia sẻ nhé! Các bình luận không phù hợp với nội quy bình luận trang web sẽ bị cấm bình luận vĩnh viễn.
- Giải Tiếng Anh 12 Global Success
- Giải sgk Tiếng Anh 12 Smart World
- Giải sgk Tiếng Anh 12 Friends Global
- Lớp 12 Kết nối tri thức
- Soạn văn 12 (hay nhất) - KNTT
- Soạn văn 12 (ngắn nhất) - KNTT
- Giải sgk Toán 12 - KNTT
- Giải sgk Vật Lí 12 - KNTT
- Giải sgk Hóa học 12 - KNTT
- Giải sgk Sinh học 12 - KNTT
- Giải sgk Lịch Sử 12 - KNTT
- Giải sgk Địa Lí 12 - KNTT
- Giải sgk Giáo dục KTPL 12 - KNTT
- Giải sgk Tin học 12 - KNTT
- Giải sgk Công nghệ 12 - KNTT
- Giải sgk Hoạt động trải nghiệm 12 - KNTT
- Giải sgk Giáo dục quốc phòng 12 - KNTT
- Giải sgk Âm nhạc 12 - KNTT
- Giải sgk Mĩ thuật 12 - KNTT
- Lớp 12 Chân trời sáng tạo
- Soạn văn 12 (hay nhất) - CTST
- Soạn văn 12 (ngắn nhất) - CTST
- Giải sgk Toán 12 - CTST
- Giải sgk Vật Lí 12 - CTST
- Giải sgk Hóa học 12 - CTST
- Giải sgk Sinh học 12 - CTST
- Giải sgk Lịch Sử 12 - CTST
- Giải sgk Địa Lí 12 - CTST
- Giải sgk Giáo dục KTPL 12 - CTST
- Giải sgk Tin học 12 - CTST
- Giải sgk Hoạt động trải nghiệm 12 - CTST
- Giải sgk Âm nhạc 12 - CTST
- Lớp 12 Cánh diều
- Soạn văn 12 Cánh diều (hay nhất)
- Soạn văn 12 Cánh diều (ngắn nhất)
- Giải sgk Toán 12 Cánh diều
- Giải sgk Vật Lí 12 - Cánh diều
- Giải sgk Hóa học 12 - Cánh diều
- Giải sgk Sinh học 12 - Cánh diều
- Giải sgk Lịch Sử 12 - Cánh diều
- Giải sgk Địa Lí 12 - Cánh diều
- Giải sgk Giáo dục KTPL 12 - Cánh diều
- Giải sgk Tin học 12 - Cánh diều
- Giải sgk Công nghệ 12 - Cánh diều
- Giải sgk Hoạt động trải nghiệm 12 - Cánh diều
- Giải sgk Giáo dục quốc phòng 12 - Cánh diều
- Giải sgk Âm nhạc 12 - Cánh diều


Giải bài tập SGK & SBT
Tài liệu giáo viên
Sách
Khóa học
Thi online
Hỏi đáp

