Trắc nghiệm Mặt cầu (có lời giải)
Bài tập trắc nghiệm Mặt cầu lớp 12 có lời giải chi tiết với bài tập đa dạng sẽ giúp học sinh ôn tập và biết cách làm bài tập Toán 12.
Trắc nghiệm Mặt cầu (có lời giải)
(199k) Học Toán 12 KNTTHọc Toán 12 CDHọc Toán 12 CTST
Câu 1: Cho hình lập phương ABCD.A'B'C'D' có cạnh bằng a. Bán kính mặt cầu ngoại tiếp hình lập phương là:
Ta có:
Ta nhận thấy tâm I của mặt cầu ngoại tiếp hình lập phương chính là tâm của hình lập phương đó. Do đó I chính là trung điểm của AC’ và mặt cầu ngoại tiếp hình lập phương có bán kính là
Đáp án đúng là C.
Câu 2: Cho hình chóp S.ABC có đáy ABC là tam giác đều cạnh bằng 1, mặt bên SAB là tam giác đều và nằm trong mặt phẳng vuông góc với mặt phẳng đáy. Tính thể tích V của khối cầu ngoại tiếp hình chóp đã cho.
Câu 3: Tính bán kính của mặt cầu ngoại tiếp hình chóp tam giác đều S,ABC , biết các cạnh đáy có độ dài bằng a , cạnh bên SA = a√3 .
Câu 4: Một hình lăng trụ tam giác đều có cạnh đáy bằng a, cạnh bên bằng 2a. Tính bán kính mặt cầu ngoại tiếp hình lăng trụ đó.
Cho lăng trụ tam giác đều ABC.A'B'C' .
Gọi G, G; lần lượt là tâm của hai đáy ABC và A'B'C' .
Ta có GG' chính là trục của các tam giác ABC và A'B'C' .
Gọi O là trung điểm của GG' thì O cách đều 6 đỉnh của hình lăng trụ
nên là tâm của mặt cầu ngoại tiếp hình lăng trụ. Bán kính mặt cầu là R = OA .
Xét tam giác OAG vuông tại G , ta có:
Câu 5: Cho mặt cầu tâm O bán kính R và điểm A bất kì trong không gian. Điểm A không nằm ngoài mặt cầu khi và chỉ khi:
A. OA = R B. OA ≤ R C. OA < R D. OA > R
Đáp án đúng là B.
Câu 6: Cho hình chóp S.ABC có đáy là tam giác vuôg cân đỉnh B và BC = a, SA ⊥ (ABC), SA = 2a. Khẳng định nào sau đây là đúng?
A. Điểm S nằm trong mặt cầu tâm A bán kính a
B. Điểm S nằm ngoài mặt cầu tâm A bán kính 2a
C. Điểm C nằm trong mặt cầu tâm A bán kính 2a
D. Cả ba điểm S, B, C cùng nằm trong mặt cầu tâm A bán kính 2a.
Từ giả thiết ta có: SA = 2a; AB = a và AC = a√2 .
Đáp án đúng là C.
Câu 7: Cho mặt cầu (S) tâm O bán kính R và một mặt phẳng (P). Kí hiệu h là khoảng cách từ O đến mặt phẳng (P). Mặt phẳng (P) có nhiều hơn một điểm chung với mặt cầu (S) nếu :
A. h ≤ R B. h ≥ R C. h > R D. h < R
Từ vị trí tương đối của một mặt phẳng với mặt cầu ta có đáp án đúng là D.
Câu 8: Cho mặt cầu (S) tâm O bán kính R và một đường thẳng d. Kí hiệu h là khoảng cách từ O đến đường thẳng d. Đường thẳng d có điểm chung với mặt cầu (S) nếu và chỉ nếu:
A. h ≤ R B. h = R C. h > R D. h < R
Từ vị trí tương đối của một đường thẳng và mặt cầu ta có đường thẳng d có điểm chung với mặt cầu (S) khi và chỉ khi đường thẳng d tiếp xúc hoặc cắt mặt cầu (S).
Đáp án đúng là A.
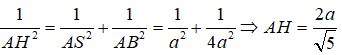
Câu 9: Cho hình chóp S.ABCD có đáy ABCD là hình vuông có cạnh bằng 2a, SA vuông góc với đáy và SA = a. Bán kính mặt cầu tâm A tiếp xúc với mặt phẳng (SBC) theo a là:
A. 2a B. a C. a√2/2 D. 2a√5/5
Ta có mặt cầu S(A;r) tiếp xúc với mặt phẳng (SBC) khi và chỉ khi r = d(A; (SBC)) .
Hạ AH ⊥ SB tại H. Do BC ⊥ AB và BC ⊥ SA nên BC ⊥ (SAB) , suy ra BC ⊥ AH .
Mặt khác AH ⊥ SB nên AH ⊥ (SBC) hay d(A; (SBC)) = AH Xét tam giác vuông SAB ta có:
Đáp án đúng là D.
Câu 10: Cho hình chóp S.ABCD có đáy ABCD là hình chữ nhật, AB = 2AD = 2a. SA vuông góc với đáy, góc giữa cạnh bên SB và đáy là 45o . Bán kính mặt cầu tâm A cắt mặt phẳng (SBD) theo một đường tròn có bán kính bằng a là:
Ta có mặt cầu S(A;r) cắt mặt phẳng (SBD) theo một đường tròn có bán kính bằng a khi và chỉ khi ta có
Ta có:
Hạ AK ⊥ BD tại K, hạ AH ⊥ SK tại H. Do BD ⊥ AK và BD ⊥ SA nên BD ⊥ (SAK) , suy ra BD ⊥ AH. Mặt khác AH ⊥ SK nên ta có AH ⊥ (SBDB) hay d(A; (SBD)) = AH. Xét tam giác vuông SAK và tam giác vuông ABD ta có:
Khi đó ta có:
Đáp án đúng là C.
Câu 11: Cho hình chóp S.ABCD có đáy ABCD là hình vuông có cạnh bằng a, SA vuông góc với đáy và SA = 2a. Bán kính mặt cầu tâm A tiếp xúc với SC theo a là :
Ta có mặt cầu S(A ;r) tiếp xúc với đường thẳng SC khi và chỉ khi ta có r = d(A; SC).
Xét tam giác vuông ABC ta có AC = a√2 . Hạ AH ⊥ SC tại H. Xét tam giác vuông SAC ta có :
Chọn B.
Câu 12: Cho hình chóp S.ABCD có đáy ABCD là hình chữ nhật, SA = AB = 2AD = 2a. Hai mặt phẳng (SAB) và (SAD) cùng vuông góc với đáy. Bán kính mặt cầu tâm B cắt SC theo một dây có độ dài 2a là :
Do (SAB) ⊥ (ABCD) và (SAD) ⊥ (ABCD) ta có SA ⊥ (ABCD). Theo định lí ba đường vuông góc ta có BC ⊥ SB .
Hạ BH ⊥ SC tại H. Xét tam giác vuông SBC ta có:
Ta có mặt cầu S(B;r) cắt đường thẳng SC theo một dây cung có độ dài 2a khi và chỉ khi ta có
Đáp án đúng là C.
Câu 13: Cho hai quả cầu cùng bán kính là 5cm. Để đựng hai quả cầu Nam phải làm một hình hộp chữ nhật từ bìa carton. Hỏi trong các đáp án dưới đây, Nam cần ít nhất bao nhiêu xen-ti-mét vuông bìa carton để làm được chiếc hộp đó?
A. 300(cm2) B. 1000(cm2) C. 250(cm2) D. 1250(cm2)
Hình hộp chữ nhật đựng được hai quả cầu bán kính 5cm thì độ dài các cạnh ít nhất là 10cm, 10cm, 20cm. Khi đó ta có: Stp = 2 x 102 + 4 x 10 x 20 = 1000(cm2) .
Đáp án đúng là B.
Câu 14: Trong các mệnh đề sau, mệnh đề nào sai?
A. Hình chóp có mặt cầu ngoại tiếp khi và chỉ khi hình chóp có đáy là một tứ giác nội tiếp được đường tròn.
B. Hình chóp có mặt cầu ngoại tiếp nếu nó là hình chóp tam giác
C. Hình chóp có mặt cầu ngoại tiếp nếu nó có các cạnh bên bằng nhau.
D. Hình chóp có mặt cầu ngoại tiếp nếu có cạnh bên vuông góc với đáy.
Hình chóp có mặt cầu ngoại tiếp khi và chỉ khi hình chóp đó có đáy là một đa giác nội tiếp được đường tròn nên mệnh đề A và B đúng. Hình chps có các cạnh bên bằng nhau có hình chiếu vuông góc của đỉnh lên mặt đáy là tâm đường tròn ngoại tiếp đáy nên hình chóp đó có đáy nội tiếp được đường tròn và do đó đáp án C đúng.
Đáp án cần chọn là D.
Câu 15: Trong các mệnh đề sau, mệnh đề nào đúng?
A. Hình lăng trụ có mặtc ầu ngoại tiếp nếu đáy của nó là hình vuông
B. Hình lăng trụ có mặt cầu ngoại tiếp nếu nó là lăng trụ đứng
C. Hình lăng trụ có mặt cầu ngoại tiếp nếu nó có đáy là đa giác nội tiếp được đường tròn
D. Hình lăng trụ có mặt cầu ngoại tiếp nếu nó là lăng trụ đứng tam giác.
Đáp án đúng là D.
Câu 16: Cho hình chóp S.ABCD có đáy ABCD là hình vuông có cạnh bằng a, SA vuông góc với đáy và SA = a. Bán kính mặt cầu ngoại tiếp hình chóp là:
Theo định lí ba đường vuông góc ta có tam giác SBC, SDC lần lượt vuông tại B, D. Gọi I là trung điểm của SC. Từ các tam giác SAC, SBC, SDC vuông ta có:
Vậy I là tâm mặt cầu ngoại tiếp hình chóp S.ABCD và bán kính mặt cầu là
Đáp án đúng là C.
(199k) Học Toán 12 KNTTHọc Toán 12 CDHọc Toán 12 CTST
Xem thêm Bài tập trắc nghiệm Toán lớp 12 có đáp án hay khác:
- Trắc nghiệm Mặt cầu (có lời giải - phần 2)
- Bài tập ôn tập Mặt nón, mặt trụ, mặt cầu (có lời giải)
- Trắc nghiệm Hệ tọa độ trong không gian (có lời giải)
- Trắc nghiệm Hệ tọa độ trong không gian (có lời giải - phần 2)
- Trắc nghiệm Hệ tọa độ trong không gian (có lời giải - phần 3)
Đã có app VietJack trên điện thoại, giải bài tập SGK, SBT Soạn văn, Văn mẫu, Thi online, Bài giảng....miễn phí. Tải ngay ứng dụng trên Android và iOS.
Theo dõi chúng tôi miễn phí trên mạng xã hội facebook và youtube:Nếu thấy hay, hãy động viên và chia sẻ nhé! Các bình luận không phù hợp với nội quy bình luận trang web sẽ bị cấm bình luận vĩnh viễn.
- Giải Tiếng Anh 12 Global Success
- Giải sgk Tiếng Anh 12 Smart World
- Giải sgk Tiếng Anh 12 Friends Global
- Lớp 12 Kết nối tri thức
- Soạn văn 12 (hay nhất) - KNTT
- Soạn văn 12 (ngắn nhất) - KNTT
- Giải sgk Toán 12 - KNTT
- Giải sgk Vật Lí 12 - KNTT
- Giải sgk Hóa học 12 - KNTT
- Giải sgk Sinh học 12 - KNTT
- Giải sgk Lịch Sử 12 - KNTT
- Giải sgk Địa Lí 12 - KNTT
- Giải sgk Giáo dục KTPL 12 - KNTT
- Giải sgk Tin học 12 - KNTT
- Giải sgk Công nghệ 12 - KNTT
- Giải sgk Hoạt động trải nghiệm 12 - KNTT
- Giải sgk Giáo dục quốc phòng 12 - KNTT
- Giải sgk Âm nhạc 12 - KNTT
- Giải sgk Mĩ thuật 12 - KNTT
- Lớp 12 Chân trời sáng tạo
- Soạn văn 12 (hay nhất) - CTST
- Soạn văn 12 (ngắn nhất) - CTST
- Giải sgk Toán 12 - CTST
- Giải sgk Vật Lí 12 - CTST
- Giải sgk Hóa học 12 - CTST
- Giải sgk Sinh học 12 - CTST
- Giải sgk Lịch Sử 12 - CTST
- Giải sgk Địa Lí 12 - CTST
- Giải sgk Giáo dục KTPL 12 - CTST
- Giải sgk Tin học 12 - CTST
- Giải sgk Hoạt động trải nghiệm 12 - CTST
- Giải sgk Âm nhạc 12 - CTST
- Lớp 12 Cánh diều
- Soạn văn 12 Cánh diều (hay nhất)
- Soạn văn 12 Cánh diều (ngắn nhất)
- Giải sgk Toán 12 Cánh diều
- Giải sgk Vật Lí 12 - Cánh diều
- Giải sgk Hóa học 12 - Cánh diều
- Giải sgk Sinh học 12 - Cánh diều
- Giải sgk Lịch Sử 12 - Cánh diều
- Giải sgk Địa Lí 12 - Cánh diều
- Giải sgk Giáo dục KTPL 12 - Cánh diều
- Giải sgk Tin học 12 - Cánh diều
- Giải sgk Công nghệ 12 - Cánh diều
- Giải sgk Hoạt động trải nghiệm 12 - Cánh diều
- Giải sgk Giáo dục quốc phòng 12 - Cánh diều
- Giải sgk Âm nhạc 12 - Cánh diều


Giải bài tập SGK & SBT
Tài liệu giáo viên
Sách
Khóa học
Thi online
Hỏi đáp

