Đề kiểm tra 1 tiết Hóa học 12 Học kì 1 có đáp án (Bài số 1)
Đề kiểm tra 1 tiết Hóa học 12 Học kì 1 có đáp án (Bài số 1)
Thi online Hóa 12 KNTTThi online Hóa 12 CDThi online Hóa 12 CTST
Câu 1: Glucozơ có công thức phân tử là:
A. C6H12O6. B. C12H22O11. C. C6H10O5 D. (C6H10O5)n
Đáp án: A
Câu 2: Phân từ khối của triolein bằng
A. 845. B. 890. C. 884 D. 878
Đáp án: C
Câu 3: Trong phân tử của cacbohiđrat luôn có:
A. nhóm chức axit.
B. nhóm chức xeton
C. nhóm chức ancol.
D. nhóm chức anđehit
Đáp án: C
Câu 4: Chất thuộc loại đisaccarit là
A. glucozơ. B. saccarozơ. C. xenlulozơ D. fuctozơ
Đáp án: B
Câu 5: Hai chất đồng phân của nhau là
A. glucozơ và saccarozơ.
B. fuctozơ và glucozơ
C. fructozơ và saccarozơ.
D. tinh bột và xenlulozơ
Đáp án: B
Câu 6: Tìm câu phát biểu sai.
A. Phân biệt glucozơ và saccarozơ bằng phản ứng tráng bạc.
B. Phân biệt tinh bột và saccarozơ bằng phản ứng tráng bạc.
C. Phân biệt tinh bột và xenlulozơ bằng I2.
D. Phân biệt saccarozơ và glucozơ bằng Cu(OH)2/t°, OH-.
Đáp án: B
Câu 7: Khi thuỷ phân một chất béo X thu được hai muối oleat và linoleat. Số công thức cấu tạo của X có thể là
A. 2 B. 3. C. 4 D. 5.
Đáp án: C
Câu 8: Trieste của glixerol với axit linolenic có công thức là
A. (C17H35COO)3C3H5. B. (C17H31COO)3C3H5.
C. (C17H33COO)3C3H5. D. (C17H29COO)3C3H5.
Đáp án: D
Câu 9: Este nào sau đây khi phản ứng với dung dịch NaOH tạo thành hai muối ?
A. Metyl fomat, B. Vinyl axetat.
C Benzyl axetat, D. Phenyl fomat.
Đáp án: D
Câu 10: Từ 16,20 tấn xenlulozo người ta sản xuất được m tấn xenlulozo trinitrat (H = 90%). Giá trị của m là
A. 26,73. B. 33,00. C. 25,46. D. 29,70.
Đáp án: A
Câu 11: Từ glucozo, có thể điều chế cao su buna theo sơ đồ sau đây :
Glucozơ → ancoi etylic → buta-1,3-dien → cao Su Buna.
Biết hiệu suất của quá trình điều chế là 75%, muốn thu được 32,4 kg cao Su thì khối lượng glucozơ cần dùng là
A. 144 kg. B. 108 kg. C. 81 kg. D. 96 kg.
Đáp án: A
C6H12O6 → 2C2H5OH → C4H6 → Cao su
Pt: 180 kg -H = 100%→ 54Kg
Thực tế: mGlu = 32,4. (180/54): 0,75% = 144kg ←H = 75%- 32,4Kg
Câu 12: Thuỷ phân 1 kg sắn chứa 20% tinh.bột trong môi trường axit. Biết hiệu suất phản ứng 85%, lượng glucozơ thu được là
A. 261,43 gam. B. 200,8 gam. C. 188,89 gam. D. 192,5 gam.
Đáp án: C
mtinh bột = 1 x 20% = 0,2kg = 200g
(C6H10O5)n → nC6H12O6
Pt: 162n gam -H = 100%→ 180n gam
Thực tế: 200 gam -H = 85%→ 200. 180/162 = 188,89 gam
Câu 13: Lên men m gam glucozơ với hiệu suất 90%. Lượng CO2 sinh ra được hấp thụ vào dung dịch Ca(OH)2 thu được 10 gam kết tủa và khối lượng dung dịch giảm 3,4 gam. Giá trị của m là
A. 30. B. 15. C. 17. D. 34.
Đáp án: B
mdd giảm = m↓ - mCO2 ⇒ mCO2 = 10 - 3,4 = 6,6
Glucozơ → 2C2H5OH + 2CO2
nGlu = 1/2. nCO2 = 1/2. 6,6/44 = 0,075 mol
⇒ mGlu = 0,075 x 180 : 90% = 15 gam
Câu 14: Thuỷ phân hoàn toàn 62,5 gam dung dịch saccarozơ 17,1% được dung dịch X. Cho dung dịch AgNO3/NH3 vào X đun nhẹ được m gam Ag. Giá trị của m là :
A.6,75. B. 13,5. C. 10,8. D. 7,5.
Đáp án: B
Saccarozơ → Glucozơ + Fructozơ
nglu = nFruc = nSac = 62,5 x 17,1% : 342 = 0,03125 mol
nAg = 2(nGlu + nFruc) = 0,125 mol ⇒ m = 13,5 g
Câu 15: Lên men m gam glucozơ với hiệu suốt 72%. Lượng CO2 sinh ra được hấp thụ hoàn toàn vào 500 ml dung dịch hỗn hợp gồm NaOH 0.1M và Ba(OH)2 0,2M, sinh ra 9,85 gam kết tủa. Giá trị của m là
A. 25,00. B. 12,96. C. 6,25. D. 13,00
Đáp án: C
Glucozơ → 2C2H5OH + 2CO2
nBa2+ = 0,01mol > n↓ = 9,85 / 197 = 0,05mol
⇒ nCO2 = n↓ = 0,05mol ⇒ nGlu = 0,025 mol
⇒ m = 0,025 x 180 : 72% = 6,25 gam
Câu 16: Cho m gam tinh bột lên men thành ancol etylic với hiệu suất 81%. Toàn bộ lượng CO2 sinh ra được hấp thụ hoàn toàn vào dung dich Ca(OH)2, thu được 550 gam kết tủa và dung dịch X. Đun kĩ dung dịch X thu thêm được 100 gam kết tủa. Giá trị của m là
A. 550. B. 810. C. 750. D. 650.
Đáp án: C
(C5H10O5)n → nC6H12O6 → 2nCO2
CO2 + Ca(OH)2 → CaCO3↓ + H2O (1)
2CO2 + Ca(OH)2 → Ca(HCO3)2 (2)
Ca(HCO3)2 → CaCO3↓ + CO2↑ + H2O (3)
nCO2 = nCaCO3 (1) + 2 nCaCO3 (3) = 5,5 + 2 x 1 = 7,5 mol
ntinh bột = 1/2. nCO2 = 3,75 mol
⇒ m = 3,75 x 162 : 81% = 750g
Câu 17: Cho glucozơ lên men với hiệu suất 70% hấp thụ toàn bộ sản phẩm khí thoát ra vào 2 lít dung dịch NaOH 0,5M (D = 1,05 g/ml) thu được dung dịch chứa hai muối với tổng nồng độ là 3,21%. Khối lượng glucozơ đã dùng là
A. 67,5 gam. B. 96,43 gam C. 135 gam. D.192,86 gam.
Đáp án: B
Gọi x là số mol Na2CO3; y là số mol NaHCO3
C6H12O6 −men→2C2H5OH +2CO2
Câu 18: Este X có công thức phân tử C4H6O2. Thuỷ phân hoàn toàn X bằng dung dịch NaOH, thu được dung dịch Y gồm hai chất đều có khả năng tham gia phản ứng tráng bạc. Chất X có công thức cấu tạo nào dưới đây ?
A. HCOO-CH=CH-CH3 B. HCOO-CH2-CH=CH2
C. CH2=CH-COO-CH3 D. CH3-COO-CH=CH2
Đáp án: A
Câu 19: Thuỷ phân hoàn toàn 11,44 gam hỗn hợp hai este đơn chức, đồng phân của nhau, bằng dung dịch NaOH thu được 11,08 gam hỗn họp muối và 5,56 gam hỗn hợp ancol đồng đẳng kế tiếp. Công thức cấu tạo của hai este là
A. CH3COOCH3 và C2H5COOC2H5.
B. C2H5COOCH3 và CH3COOC2H5.
C. HCOOC3H7 và CH3COOC2H5.
D. CH3COOCH3 và HCOOC2H5.
Đáp án: B
Đặt công thức chung của 2 este là RCOOR’
Áp dụng định luật bảo toàn khối lượng ta có:
mNaOH = 11,08 + 5,56 -11,4 = 5,2 gam
Suy ra CTPT của este là C4H8O2
Hai gốc là –CH3 và –C2H5 (do hỗn hợp ancol đồng đẳng kế tiếp)
CTCT của 2 este là: C2H5COOCH3 và CH3COOC2H5
Câu 20: Cho chất hữu cơ X mạch hở chỉ chứa một loại nhóm Chức tác dụng với 1 lít dung dịch NaOH 0,5M thu được dung dịch Y và 9,2 gam một ancol. Lượng NaOH dư trong Y được trung hoà bởi 0,5 lít dung dịch HCl 0,4M. Cô cạn dung dịch sau phản ứng, thu được 36,3 gam chất rắn. CTCT của X là
A. (HCOO)3C3H5. B. CH3COOC2H5.
C. (CH3COO)3C3H5. D. C4H8(COOC2H5)2.
Đáp án: C
nNaOH phản ứng = 3nancol = 0,3 mol ⇒ X là trieste dạng (RCOO)3R’
⇒ R + 67 = 82 ⇒ R = 15(-CH3)
X là (CH3COO)3C3H5
Câu 21: Thuỷ phân hoàn toàn 0,1 mol este X bàng dung dịch NaOH, thu được một muối của axit cacboxylic Y và 7,6 gam ancol Z. Chất Y có phản ứng tráng bạc, Z hoà tan được Cu(OH)2 cho dung dịch màu xanh lam. CTCT của X là
A. HCOOCH2CH2CH2OCOH. B. HCOOCH2CH2OCOCH3.
C. CH3COOCH2CH2OCOCH3. D. HCOOCH2CH(CH3)OCOH.
Đáp án: D
Chất Y có phản ứng tráng bạc: HCOONa và MZ = 76 ⇒ Z có công thức là C3H6(OH)2.
Do Z hoà tan được Cu(OH)2 cho dung dịch màu xanh lam nên có 2 nhóm –OH liền kề nhau
⇒CTCT của X: HCOOCH2CH(CH3)OCOH
HCOOCH2CH(CH3)OCOH + 2NaOH → 2HCOONa + HOCH2CH(CH3)OH
Câu 22: Thực hiện các thí nghiệm sau :
(1) Cho metyl axetat tác dụng với dung dịch NaOH.
(2) Cho glucozo tác dụng với Cu(OH)2 ở điều kiện thường.
(3) Cho glucozo tác dụng với dung dịch AgNO3 trong NH3 đun nóng.
(4) Đun nóng hỗn hợp triolein và hiđro (xúc tác Ni).
Số thí nghiệm xảy ra phản ứng oxi hoá - khử là:
A. 1. B.2. C.3. D.4.
Đáp án: B
Câu 23: Phát biểu nào sau đây đúng ?
A. Dung dịch glucozo không lảm mất màu nước brom.
B. Glucozo, saccarozo và fructozo đều tham gia phản ứng tráng bạc.
C. Glucozo, saccarozo và fructozo đều phản ứng với Cu(OH)2 tạo dung dịch xanh lam.
D. Hồ tinh bột tác dụng với I2 tạo ra sản phẩm có màu xanh tím khi đun nóng.
Đáp án: C
Câu 24: Cho 0,1 mol este X tạo bởi axit hai lần axit và ancol đơn chức tác dụng hoàn toàn với NaOH thu được 6,4 gam ancol và một muối có khối lượng nhiều hơn lượng este là 13,56%. Công thức cấu tạo của X là
A. CH3-COO-CH3. B. CH3OCO-COO-CH3.
C. CH3COO-COOCH3. D. CH3COO-CH2-COOCH3.
Đáp án: B
⇒ancol là CH3OH
Áp dụng định luật bảo toàn khối lượng ta có:
meste + mNaOH = mmuối + mancol ⇒ mmuối – meste = 0,2.40 – 6,4 =1,6 gam
⇒ Meste =118
R + (44 +15).2= 118 ⇒ R = 0 ⇒ CTCT của este X là CH3OCO-COOCH3
Câu 25: Hoá hơi 6,7 gam hỗn hợp X gồm CH3COOH, CH3COOC2H5, CH3COOCH3 và HCOOCH3, thu được 2,24 lít hơi (đktc). Đốt cháy hoàn toàn 6,7 gam X thu được khối lượng nước là
A. 4,5 gam. B. 3,5 gam. C. 5,0 gam. D. 4,0 gam.
Đáp án: A
Các chất trong X đều có đặc điểm chung: mạch hở, trong phân tử có 1 liên kết π ⇒ k = 1
Công thức chung của X là: CnH2nO2
Phản ứng cháy:
⇒ nH2 O=2,5.0,1=0,25 mol ⇒ mH2 O=0,25.18=4,5 gam
Câu 26: Hỗn hợp X gồm hai este no, đơn chức, mạch hở. Đốt cháy hoàn toàn một lượng X cần 3,976 lít O2 (đktc), thu được 6,38 gam CO2. Mặt khác, X tác dụng với dung dịch NaOH, thu được một muối và hai ancol là đồng đẳng kế tiếp. CTPT của hai este trong X là
A. C2H4O2 và C3H6O2. B. C3H4O2 và C4H6O2.
C. C3H6O2 và C4H8O2. D. C2H4O2 và C5H10O2.
Đáp án: C
Vì hai este no, đơn chức , mạch hở CnH2nO2
⇒ nH2 O=nCO2= 6,38/44=0,145 mol
Áp dụng bảo toàn nguyên tố O :
X −+NaOh,t°→ 1 muối + 2 ancol đồng đẳng kế tiếp
⇒ hai este được tạo thành từ cùng một axit và hai ancol là đồng đẳng kế tiếp (hơn kém nhau một nhóm –CH2-)
⇒ hai este là C3H6O2 và C4H8O2
Câu 27: Đốt cháy hoàn toàn hỗn hợp A gồm glucozơ, anđehit fomic và axit axetic cần 2,24 lít O2 (đktc). Dẫn toàn bộ sản phẩm cháy vào bình đựng dung dịch Ca(OH)2 dư, khối lượng bình tăng thêm m gam. Giá trị của m là
A. 6,20. B. 5,44. C. 5,04. D. 5,80.
Đáp án: A
nO2 = 0,1 mol
Hỗn hợp A gồm glucozo C6H12O6 <⇒ (CH2O)2
Do đó ta quy đổi hỗn hợp A là CH2O
Khối lượng bình tăng bằng khối lượng của sản phẩm cháy (CO2, H2O)
m = mCO2 + mH2O = 0,1.44 + 0,1.18 = 6,2 gam
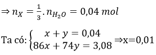
Câu 28: Hỗn hợp X gồm vinyl axetat, metyl axetat và etyl fomat. Đốt cháy hoàn toàn 3,08 gam X, thu được 2,16 gam H2O. Phần trăm số mol của vinyl axetat trong Xlà
A. 75,00% B. 72,08%. C. 27,92%. D. 25,00%.
Đáp án: D
Các chất trong X đều có 6H (C4H6O2 x mol; C3H6O2 y mol)
⇒ %nvinyl axetat = 25%
Câu 29: Thuỷ phân 37 gam hai este cùng công thức phân từ C3H6O2 bằng dung dịch NaOH dư. Chưng cất dung dịch sau phản ứng thu được hỗn hợp ancol Y và chất rắn khan Z. Đun nóng Y với H2SO4 đặc ở 140°C, thu được 14,3 gam hỗn hợp các ete. Biết các phản ứng xảy ra hoàn toàn. Khối lượng muối trong Z là
A. 40,0 gam. B. 38,2 gam C. 34,2 gam. D. 42,2 gam.
Đáp án: B
neste= 0,5 mol ⇒ nNaOH phản ứng = nancol = 0,5 mol
Phản ứng tách nước, ta có: nH2O = nancol/2 = 0,25 mol
Bảo toàn khối lượng : mancol = 14,3 + 18.0,25 = 18,8 gam
mmuối =meste +mNaOH – mancol = 37 +0,5.40 – 18,8 =38,2 gam
Câu 30: Thực hiện phản ứng thuỷ phân 16,2 gam xenlulozơ trong môi trường axit, sau một thời gian phản ứng, đem trung hoà axit bằng kiềm, lấy hỗn hợp sau phản ứng cho tác dụng với lượng dư dung dịch AgNO3 trong NH3, thu được 16,2 gam Ag. Hiệu suất của phản ứng thuỷ phân là
A. 50,00%. B. 75,00%. C. 66,67%. D. 80,00%
Đáp án: B
(C5H10O5)n → nC6H12O6 → 2nAg
ntinh bột = 1/2. nAg = 0,075mol ⇒ mtinh bột = 12,15g
H% = 12,15 : 16,2 x 100% = 75%
Thi online Hóa 12 KNTTThi online Hóa 12 CDThi online Hóa 12 CTST
Xem thêm Bài tập & Câu hỏi trắc nghiệm Hóa học 12 có đáp án khác:
- 16 bài tập trắc nghiệm Amin (có đáp án)
- 16 bài tập trắc nghiệm Amino axit (có đáp án)
- 16 bài tập trắc nghiệm Peptit và protein (có đáp án)
- 15 bài tập trắc nghiệm Cấu tạo và tính chất của amin, amino axit và protein (có đáp án)
Đã có app VietJack trên điện thoại, giải bài tập SGK, SBT Soạn văn, Văn mẫu, Thi online, Bài giảng....miễn phí. Tải ngay ứng dụng trên Android và iOS.
Theo dõi chúng tôi miễn phí trên mạng xã hội facebook và youtube:Nếu thấy hay, hãy động viên và chia sẻ nhé! Các bình luận không phù hợp với nội quy bình luận trang web sẽ bị cấm bình luận vĩnh viễn.
- Giải Tiếng Anh 12 Global Success
- Giải sgk Tiếng Anh 12 Smart World
- Giải sgk Tiếng Anh 12 Friends Global
- Lớp 12 Kết nối tri thức
- Soạn văn 12 (hay nhất) - KNTT
- Soạn văn 12 (ngắn nhất) - KNTT
- Giải sgk Toán 12 - KNTT
- Giải sgk Vật Lí 12 - KNTT
- Giải sgk Hóa học 12 - KNTT
- Giải sgk Sinh học 12 - KNTT
- Giải sgk Lịch Sử 12 - KNTT
- Giải sgk Địa Lí 12 - KNTT
- Giải sgk Giáo dục KTPL 12 - KNTT
- Giải sgk Tin học 12 - KNTT
- Giải sgk Công nghệ 12 - KNTT
- Giải sgk Hoạt động trải nghiệm 12 - KNTT
- Giải sgk Giáo dục quốc phòng 12 - KNTT
- Giải sgk Âm nhạc 12 - KNTT
- Giải sgk Mĩ thuật 12 - KNTT
- Lớp 12 Chân trời sáng tạo
- Soạn văn 12 (hay nhất) - CTST
- Soạn văn 12 (ngắn nhất) - CTST
- Giải sgk Toán 12 - CTST
- Giải sgk Vật Lí 12 - CTST
- Giải sgk Hóa học 12 - CTST
- Giải sgk Sinh học 12 - CTST
- Giải sgk Lịch Sử 12 - CTST
- Giải sgk Địa Lí 12 - CTST
- Giải sgk Giáo dục KTPL 12 - CTST
- Giải sgk Tin học 12 - CTST
- Giải sgk Hoạt động trải nghiệm 12 - CTST
- Giải sgk Âm nhạc 12 - CTST
- Lớp 12 Cánh diều
- Soạn văn 12 Cánh diều (hay nhất)
- Soạn văn 12 Cánh diều (ngắn nhất)
- Giải sgk Toán 12 Cánh diều
- Giải sgk Vật Lí 12 - Cánh diều
- Giải sgk Hóa học 12 - Cánh diều
- Giải sgk Sinh học 12 - Cánh diều
- Giải sgk Lịch Sử 12 - Cánh diều
- Giải sgk Địa Lí 12 - Cánh diều
- Giải sgk Giáo dục KTPL 12 - Cánh diều
- Giải sgk Tin học 12 - Cánh diều
- Giải sgk Công nghệ 12 - Cánh diều
- Giải sgk Hoạt động trải nghiệm 12 - Cánh diều
- Giải sgk Giáo dục quốc phòng 12 - Cánh diều
- Giải sgk Âm nhạc 12 - Cánh diều


Giải bài tập SGK & SBT
Tài liệu giáo viên
Sách
Khóa học
Thi online
Hỏi đáp

