Trắc nghiệm Sinh 12 Bài 10 có đáp án năm 2024 (sách mới)
Trọn bộ câu hỏi trắc nghiệm Sinh học 12 Bài 10 có đáp án chương trình sách mới Cánh diều, Chân trời sáng tạo, Kết nối tri thức. Mời các bạn đón đọc:
Trắc nghiệm Sinh 12 Bài 10 có đáp án năm 2024 (sách mới)
Lưu trữ: Trắc nghiệm Sinh học 12 Bài 10: Tương tác gen và tác động đa hiệu của gen (sách cũ)
- Lý thuyết Bài 10: Tương tác gen và tác động đa hiệu của gen
- Trắc nghiệm Sinh học 12 Bài 10 năm 2023 (có đáp án)
- Trắc nghiệm Sinh học 12 Bài 10: Tương tác gen và tác động đa hiệu của gen
- Trắc nghiệm Sinh học 12 Bài 10: Tương tác gen và tác động đa hiệu của gen (Phần 2)
- Trắc nghiệm Sinh học 12 Bài 10: Tương tác gen và tác động đa hiệu của gen (Phần 4)
Câu 21: Ở một loài thực vật, cho cây hoa đỏ thuần chủng lai với cây hoa trắng thuần chủng thu được F1 toàn cây hoa đỏ. Cho F1 tự thụ phấn được F2 có 245 cây hoa trắng : 315 cây hoa đỏ. Hãy chọn kết luận đúng về số loại kiểu gen của thế hệ F2.
A. Đời F2 có 9 loại kiểu gen, trong đó có 4 kiểu gen quy định hoa đỏ.
B. Đời F2 có 16 loại kiểu gen, trong đó có 4 kiểu gen quy định hoa trắng.
C. Đời F2 có 9 loại kiểu gen quy định cây hoa đỏ, 7 kiểu gen quy định hoa trắng.
D. Đời F2 có 16 loại kiểu gen, trong đó có 7 kiểu gen quy định hoa trắng.
Đáp án: A
F2 có tỉ lệ 245 cây hoa trắng : 315 cây hoa đỏ = 9 hoa đỏ : 7 hoa trắng → F1 có kiểu gen AaBb.
F1 tự thụ phấn: AaBb x AaBb = (Aa x Aa)(Bb x Bb) = (1AA : 2Aa : 1aa)(1BB : 2Bb : 1bb).
Tỉ lệ kiểu gen ở F2 là 9A-B- : 3A-bb : 3aaB- : 1aabb.
Số loại kiểu gen là 3 x 3 = 9 loại.
Số kiểu gen quy định kiểu hình hoa đỏ A-B- = 4 loại.
Số kiểu gen quy định kiểu hình hoa trắng = 5 loại.
Câu 22: Một loài thực vật, tính trạng màu hoa do 2 cặp gen Aa và Bb phân li độc lập quy định. Khi trong kiểu gen có A thì quy định hoa đỏ; khi kiểu gen aaB- thì quy định hoa vàng; kiểu gen aabb quy định hoa trắng. Biết rằng không xảy ra đột biến. Theo lí thuyết, có bao nhiêu phát biểu sau đây đúng?
I. Cho cây dị hợp về 2 cặp gen tự thụ phấn, thu được F1 có 6,25% số cây hoa trắng.
II. Nếu cho cây hoa đỏ giao phấn với cây hoa vàng thì có thể thu được đời con có 100% số cây hoa đỏ.
III. Nếu cho 2 cây đều có hoa đỏ giao phấn với nhau thì có thể thu được đời con có 12,5% số cây hoa vàng.
IV. Nếu cho 2 cây đều có hoa vàng giao phấn với nhau thì có thể thu được đời con có 25% số cây hoa trắng.
A. 1. B. 2. C. 3. D. 4.
Đáp án: D
* Quy ước:
A-B- hoặc A-bb quy định hoa đỏ;
aaB- quy định hoa vàng;
aabb quy định hoa trắng.
I đúng vì cây dị hợp 2 cặp gen tự thụ phấn thì đời con có 6,25% aabb (hoa trắng).
II đúng vì nếu cây hoa đỏ có kiểu gen AAbb thì đời con luôn có 100% cây hoa đỏ.
III đúng vì nếu cây hoa đỏ đem lai là Aabb x AaBb thì đời con có kiểu hình aaB- chiếm tỉ lệ 1/8.
IV đúng vì nếu cây hoa vàng có kiểu gen dị hợp (aaBb) thì đời con có 25% aabb.
Câu 23: Ở một loài thực vật, khi trong kiểu gen có cả gen A và gen B thì hoa có màu đỏ. Nếu trong kiểu gen chỉ có A hoặc chỉ có B thì hoa có màu vàng. Nếu không có gen A và B thì hoa có màu trắng. Hai cặp gen Aa và Bb nằm trên 2 cặp NST khác nhau. Cho cây dị hợp về 2 cặp gen nói trên tự thụ phấn được F1. Theo lí thuyết, trong số các cây hoa màu đỏ ở F1, tỉ lệ kiểu gen là
A. 1 : 2 : 2 : 2. B. 2 : 2 : 2 : 4.
C. 1 : 2 : 1 : 2. D. 1 : 2 : 2 : 4.
Đáp án: D
F1 tự thụ phấn: AaBb x AaBb = (Aa x Aa)(Bb x Bb) = (1AA : 2Aa : 1aa)(1BB : 2Bb : 1bb)
Hoa đỏ A - B - = (1AA : 2Aa : 2Bb) = 1:2:2:4
Câu 24: Ở một loài thực vật, khi trong kiểu gen có cả gen A và gen B thì có hoa màu đỏ. Nếu trong kiểu gen chỉ có A hoặc chỉ có B thì hoa có màu vàng. Nếu không có gen A và B thì hoa có màu trắng. Ở phép lai AaBb × aaBb, đời con có tỉ lệ kiểu hình
A. 1 hoa đỏ : 1 hoa trắng.
B. 1 hoa đỏ : 1 hoa vàng
C. 3 hoa đỏ : 4 hoa vàng : 1 hoa trắng.
D. 1 hoa vàng : 1 hoa trắng.
Đáp án: C
Tính trạng màu hoa do 2 cặp gen Aa và Bb quy định nên di truyền theo quy luật tương tác gen. Khi có cả A và B thì quy định hoa đỏ, chứng tỏ hai gen A và B di truyền theo kiểu tương tác bổ sung.
AaBb × aaBb = (Aa × aa)(Bb×Bb)
Aa × aa → đời con có 1A- : 1aa Bb×Bb → đời con có 3B- : 1bb
AaBb × aaBb = (Aa × aa)(Bb×bb) = (1A- : 1aa)( 3B- : 1bb)
3A-B- : 1A-bb : 3aaB- : 1aabb
→ Kiểu hình 3 hoa đỏ : 4 hoa vàng : 1 hoa trắng.
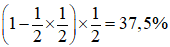
Câu 25: Một loài thực vật, tính trạng màu hoa do hai cặp gen quy dịnh. Cho hai cây đều có hoa hồng giao phấn với nhau, thu được F1 gồm 100% cây hoa đỏ. Cho các cây F1 tự thụ phấn, thu được F2 có kiểu hình phân li theo tỉ lệ: 56,25% cây hoa đỏ : 37,5% cây hoa hồng : 6,25% cây hoa trắng. Biết rằng không xảy ra đột biến. Theo lí thuyết, có bao nhiêu phát biểu sau đây đúng?
I. F2 có 5 loại kiểu gen quy định kiểu hình hoa hồng.
II. Trong tổng số cây hoa đỏ ở F2, số cây không thuần chủng chiếm tỉ lệ 8/9.
III. Cho tất cả các cây hoa hồng ở F2 giao phấn với tất cả các cây hoa đỏ ở F2, thu được F3 có số cây hoa trắng chiếm tỉ lệ 1/27.
IV. Cho tất cả các cây hoa hồng ở F2 giao phấn với tất cả các cây hoa trắng, thu được F3 có kiểu hình phân li theo tỉ lệ: 1 cây hoa đỏ : 2 cây hoa hồng : 1 cây hoa trắng.
A. 1. B. 2. C. 3. D. 4.
Đáp án: B
F2 có tỉ lệ 9 cây hoa đỏ : 6 cây hoa hồng : 1 cây hoa trắng
→ Tính trạng di truyền theo quy luật tương tác bổ sung.
* Quy ước gen: A-B- quy định hoa đỏ; A-bb hoặc aaB- quy định hoa hồng; aabb quy định hoa trắng.
F2 có tỉ lệ 9:6:1 = 16 kiểu tổ hợp giao tử → Kiểu gen F1 là AaBb.
I sai vì F2 có 4 kiểu gen quy định hoa hồng, đó là Aabb, AAbb, aaBb, aaBB.
II đúng vì số cây thuần chủng (AABB) chiếm 1/9 nên số cây không thuần chủng chiếm tỉ lệ là 1 - 1/9 = 8/9
III đúng vì ở cây hoa hồng ở F2, giao tử ab chiếm tỉ lệ 1/3; Ở cây hoa đỏ F2, giao tử ab chiếm tỉ lệ 1/9 → Đời F3 có số cây hoa trắng (aabb) chiếm tỉ lệ = 1/9 x 1/3 = 1/27
IV sai vì khi tất cả các cây hoa hồng ở F2 giao phấn với cây hoa trắng, thu được F3 có kiểu hình phân li theo tỉ lệ là 2 cây hoa hồng : 1 cây hoa trắng.
Câu 26: Tính trạng chiều cao do 3 cặp gen AaBbDd tương tác cộng gộp, trong đó cứ có thêm 1 alen trội thì cây cao thêm 10cm. Nếu kiểu gen AaBbDd có độ cao 120 cm thì kiểu gen aabbDD có độ cao bao nhiêu?
A. 120 cm B. 110 cm C. 130 cm D. 100 cm
Đáp án: B
Vì kiểu gen aabbDD ít hơn kiểu gen AaBbDd 1 alen trội nên độ cao sẽ thấp hơn 10 cm.
Câu 27: Tính trạng chiều cây của một loài thực vật do 3 cặp gen Aa, Bb, Dd nằm trên 3 cặp NST khác nhau và tương tác theo kiểu cộng gộp. Khi trong kiểu gen có thêm 1 alen trội thì cây cao thêm 20 cm; cây đồng hợp gen lặn có chiều cao 100 cm. Cho cây cao nhất lại với cây thấp nhất thu được F1. Tiếp tục cho F1 giao phấn ngẫu nhiên thu được F2. Theo lí thuyết, có bao nhiêu phát biểu sau đây đúng về đời F2?
I. Loại cây cao 160 cm chiếm tỉ lệ cao nhất.
II. Có 3 kiểu gen quy định kiểu hình cây cao 120 cm.
III. Cây cao 140 cm chiếm tỉ lệ 15/64.
IV. Có 7 kiểu hình và 27 kiểu gen.
A. 1 B. 2 C. 3 D. 4
Đáp án: D
Cả 4 phát biểu đúng.
F1 có kiểu gen AaBbDd. Vì vậy, ở F2:
- Loại cây cao 160 cm (có 3 alen trội) có
có tỉ lệ cao nhất. Vì cây cao 140 cm (có 2 alen trội) có tỉ lệ là
→ Cây cao 120 cm (có 1 alen trội) có tỉ lệ là
- Cây cao 12cm (có 1 alen trội) cho nên sẽ có 3 kiểu gen là Aabbdd, aaBbdd, aabbDd.
- Vì có 3 cặp gen, nên số kiểu hình là 2 × 3 + 1=7 kiểu hình.
(Ở tương tác cộng gộp, nếu tính trạng do n cặp gen quy định thì số kiểu hình là 2n + 1).
Câu 28: Một loài thực vật, tính trạng màu hoa do hai cặp gen A, a và B, b quy định. Kiểu gen có cả hai loại alen A và B cho kiểu hình hoa đỏ, các kiểu gen khác đều cho kiểu hình họa trắng. Alen D quy định là nguyên trội hoàn toàn so với alen d quy định lá xẻ thùy. Phép lai P: Aabbdd × aaBbDd, thu được F1. Cho biết không xảy ra đột biến. Theo lí thuyết, có bao phát biểu sau đây đúng?
I. F1 có 37,5% số cây hoa trắng, lá nguyên.
II. F1 có 2 loại kiểu gen đồng hợp tử quy định kiểu hình hoa trắng, lá xẻ thùy.
III. F1 có 1 loại kiểu gen quy định kiểu hình hoa đỏ, lá xẻ thùy.
IV, F1 có 3 loại kiểu gen quy định kiểu hình hoa trắng, lá nguyên.
A. 1 B. 3 C. 2 D. 4
Đáp án: B
I đúng vì cây hoa trắng, lá nguyên có tỉ lệ là (1-A-B-)×D- =
(Ở phép lai AaBb × aabb, kiểu hình A-B- ở đời con chiếm tỉ lệ là
II sai vì F1 có 1 kiểu gen đồng hợp tử về kiểu hình hoa trắng, lá xẻ thùy, đó là aabbdd.
III đúng vì hoa đỏ, lá xẻ thùy (A-B-dd) ở F1 có 1 kiểu gen là AaBbdd.
IV đúng vì hoa trắng, lá nguyên có 3 kiểu gen, đó là (Aabb, aaBb, aabb) × (Dd).
Câu 29: Ở một loài thực vật, khi trong kiểu gen có cả gen A và gen B thì hoa có màu đỏ. Nếu trong kiểu gen chỉ có A hoặc chỉ có B thì hoa có màu vàng. Nếu không có gen A và B thì hoa có màu trắng. Hai cặp gen Aa và Bb nằm trên 2 cặp NST khác nhau. Cho cây dị hợp về 2 cặp gen nói trên tự thụ phấn, ở đời con, loại kiểu hình hoa trắng chiếm tỉ lệ
A. 75% B. 6,25% C. 56,25% D. 37,5%
Đáp án: B
F1 tự thụ phấn: AaBb x AaBb = (Aa x Aa) (Bb x Bb) = (1AA : 2Aa : laa)(1BB : 2Bb : 1bb)
→ Tỉ lệ cây hoa trắng = 1/4 x 1/4 = 1/16 = 6,25%.
Câu 30: Ở một loài thực vật, tính trạng màu hoa do 2 cặp gen Aa và Bb nằm trên 2 cặp NST khác nhau quy định. Kiểu gen có cả A và B thì quy định hoa tím; kiểu gen chỉ có A thì quy định hoa đỏ; chỉ có B thì quy định hoa vàng; kiểu gen đồng hợp lặn thì quy định hoa trắng; Tính trạng hình dạng quả do cặp gen Dd nằm trên cặp nhiễm sắc thể thường khác quy định, trong đó DD quy định quả tròn, dd quy định quả dài, Dd quy định quả bầu dục. Biết không xảy ra đột biến. Theo lí thuyết, có bao nhiêu phát biểu sau đây đúng?
I. Có 4 loại kiểu gen khác nhau quy định kiểu hình hoa vàng, quả tròn.
II. Cho các cây hoa đỏ, quả bầu dục giao phấn với nhau thì có tối đa 6 loại kiểu hình.
III. Nếu cho các cây hoa tím, quả dài giao phấn ngẫu nhiên với nhau thì có tối đa 10 sơ đồ lai.
IV. Lấy ngẫu nhiên 1 cây hoa tím, quả tròn cho lai phân tích thì có thể thu được đời con có số cây hoa tím, quả bầu dục chiếm 50%.
A. 1 B. 3 C. 2 D. 4
Đáp án: B
I sai vì kí hiệu kiểu gen của cây hoa vàng là aaB- → Có 2 kiểu gen quy định hoa vàng; kiểu hình quả tròn có 1 kiểu gen là DD → có số kiểu gen là 2 x 1 = 2.
II đúng vì cây hoa đỏ, quả bầu dục có kí hiệu kiểu gen A-bbD- nên số kiểu hình ở đời con là 2 x 3 = 6 kiểu hình.
III đúng vì cây hoa tím, quả dài có kí hiệu kiểu gen A-B-dd nên sẽ có 4 loại kiểu gen. Có 4 loại kiểu gen thì sẽ có số sơ đồ lai là 4 x (4 + 1) ÷ 2 = 10 sơ đồ lai.
IV đúng vì nếu cây hoa tím, quả tròn có kiểu gen AaBBDD thì khi lai phần tích sẽ có 50% số cây A-B-Dd.
Câu 31: Một loài thực vật, tính trạng màu hoa do 2 cặp gen Aa và Bb phân li độc lập quy định. Khi trong kiểu gen có cả hai gen trội A và B thì quy định hoa đỏ; kiểu gen chỉ có 1 alen trội A hoặc B thì quy định hoa vàng; kiểu gen aabb quy định hoa trắng. Gen A và B có tác động gây chết ở giai đoạn phối khi trạng thái đồng hợp tử trội AABB. Biết không xảy ra đột biến. Theo lí thuyết, có bao nhiêu phát biểu sau đây đúng?
I. Trong loài này có tối đa 4 loại kiểu gen về kiểu hình hoa vàng.
II. Cho các cây dị hợp 2 cặp gen giao phấn ngẫu nhiên thì sẽ thu được các cây F1 có tỉ lệ kiểu hình 8:6:1.
III. Cho các cây dị hợp 2 cặp gen giao phấn với cây hoa trắng thì sẽ thu được F1 có 25% số cây hoa đỏ. IV. Cho các cây dị hợp 2 cặp gen giao phấn ngẫu nhiên, thu được F1. Lấy ngẫu nhiên 1 cây hoa vàng ở F1 thì sẽ thu được cây thuần chủng với xác suất 1/3
A. 1 B. 2 C. 3 D. 4
Đáp án: D
* Quy ước gen:
AaB- quy định hoa đỏ; Aabb hoặc aaB- quy định hoa vàng; aabb quy định hoa trắng.
I đúng vì cây hoa vàng có kí hiệu aaB- hoặc A-bb nên có số kiểu gen là 2 + 2 = 4.
II đúng vì AaBb × AaBb thì ở đời con có:
• Kiểu hình hoa đỏ có tỉ lệ là
• Kiểu hình hoa trắng có tỉ lệ là
→ Kiểu hình hoa vàng có tỉ lệ là
→ Tỉ lệ kiểu hình là 8 : 6 : 1.
(Giải thích: Vì AABB bị chết ở giai đoạn phối cho nên phải trừ 1/16).
III đúng vì AaBb × aabb thì sẽ cho đời con có số cây hoa đỏ (AaBb) chiếm tỉ lệ 25%.
IV đúng vì AaBb × AaBb thì ở đời con có kiểu hình hoa vàng (A-bb + aaB-) có tỉ lệ
Trong số các cây hoa vàng thì có 2 kiểu gen thuần chủng (AAbb và aaBB) có tỉ lệ
→ Lấy ngẫu nhiên 1 cây hoa vàng ở F1 thì sẽ thu được số cây thuần chủng là
Câu 32: Ở một loài thực vật, khi cho cây quả đỏ lai với cây quả vàng thuần chủng thu được F1 toàn cây quả đỏ. Cho các cây F1 giao phấn với nhau thu được F2 với tỉ lệ 56,25% cây quả đỏ : 43,75% cây quả vàng. Biết không xảy ra đột biến. Theo lí thuyết, có bao nhiêu phát biểu sau đây đúng?
I. Cho cây quả đỏ F1 giao phấn với 1 trong số các cây quả đỏ F2 có thể thu được 25% số cây quả vàng
II. Ở F2 có 5 kiểu gen qui định cây quả đỏ.
III. Cho 1 cây quả đỏ ở F2 giao phấn với 1 cây quả vàng F2 có thể thu được F3 có tỉ lệ 3 cây quả đỏ : 5 cây quả vàng.
IV. Trong số cây quả vàng ở F2 cây quả vàng thuần chủng chiếm 3/7.
A. 1 B. 4 C. 2 D. 3
Đáp án: D
F2 với tỉ lệ 56,25% cây quả đỏ : 43,75% cây quả vàng → 9 đỏ: 7 vàng → tương tác bổ sung
A-B-: đỏ
A-bb; aaB-; aabb: vàng
I. Cho cây quả đỏ F1 giao phấn với 1 trong số các cây quả đỏ F2 có thể thu được 25% số cây quả vàng → đúng
AaBb x hoa đỏ F2 thu được quả vàng → có các trường hợp: AABB; AaBB; AaBb; AABb
Ví dụ:
F1: AaBb x hoa đỏ F2: AABb
→ vàng = 25%
II. Ở F2 có 5 kiểu gen qui định cây quả đỏ. → sai
III. Cho 1 cây quả đỏ ở F2 giao phấn với 1 cây quả vàng F2 có thể thu được F3 có tỉ lệ 3 cây quả đỏ : 5 cây quả vàng. → đúng
Đỏ F2: AABB; AaBB; AABb; AaBb
Vàng F2: AAbb; aaBB; Aabb; aaBb; aabb
Ví dụ: AaBb x Aabb → F3: 3 đỏ: 5 vàng
IV. Trong số cây quả vàng ở F2 cây quả vàng thuần chủng chiếm 3/7. → đúng, vàng F2 có: 1AAbb; 1aaBB; 2Aabb; 2aaBb; 1aabb
Câu 33: Ở một loài thực vật, cho (P) thuần chủng, cây hoa đỏ giao phấn với cây hoa trắng thu được F1: 100% cây hoa đỏ. Tiếp tục cho cây hoa đỏ F1 lai với cây hoa trắng (P) thu được F2 gồm 51 cây hoa đỏ : 99 cây hoa vàng; 50 cây hoa trắng. Theo lí thuyết, có bao nhiêu phát biểu sau đây đúng?
I. Ở F2 có 2 kiểu gen qui định cây hoa vàng.
II. Tính trạng màu sắc hoa do một cặp gen qui định.
III. Tỉ lệ phân li kiểu gen ở F2 là 1 : 2 : 1.
IV. Cây hoa đỏ ở F2 có kiểu gen dị hợp.
A. 2 B. 4 C. 3 D. 1
Đáp án: A
Hoa đỏ x hoa trắng → F1: 100% đỏ
F1 x hoa trắng P → F2: 1 đỏ: 2 vàng: 1 trắng
→ A-B-: đỏ; A-bb, aaB- vàng; aabb trắng
P: AABB x aabb
F1: AaBb
F1 x hoa trắng: AaBb x aabb
F2: AaBb: Aabb: aaBb: aabb
I. Ở F2 có 2 kiểu gen qui định cây hoa vàng. → đúng
II. Tính trạng màu sắc hoa do một cặp gen qui định. → sai, màu hoa do 2 cặp gen không alen quy định.
III. Tỉ lệ phân li kiểu gen ở F2 là 1 : 2 : 1. → sai, KG có tỉ lệ 1: 1: 1: 1
IV. Cây hoa đỏ ở F2 có kiểu gen dị hợp → đúng
Câu 34: Ở một loài thực vật, chiều cao cây do 4 cặp gen không alen (A; a; B, b; C, c; D, d) cùng qui định (các gen phần li độc lập). Sự có mặt của mỗi alen trội làm cây cao thêm 5 cm. Cây thấp nhất có chiều cao 80 cm. Biết rằng không có đột biến xảy ra, tính theo lý thuyết, có bao nhiêu phát biểu sau đây đúng?
1. Có 10 kiểu gen qui định cây có chiều cao 90 cm.
2. Kiểu gen của cây có chiều cao 100 cm có thể là một trong 19 trường hợp.
3. Khi cho cây mang kiểu gen dị hợp về cả 4 gen trên tự thụ phấn, tỉ lệ cây có chiều cao giống thế hệ P ở đời F1 là
4. Khi cho lai cây cao nhất với cây thấp nhất, đời con sẽ có chiều cao trung bình là 100 cm.
A. 2 B. 1 C. 4 D. 3
Đáp án: D
Cây 80cm = aabbccdd (1 alen trội làm cao thêm 5cm)
1. Có 10 kiểu gen qui định cây có chiều cao 90 cm. → đúng, cây cao 90cm = 2 alen trội = 10
2. Kiểu gen của cây có chiều cao 100 cm có thể là một trong 19 trường hợp. → đúng
Cây cao 100cm = 4alen trội = 19
3. Khi cho cây mang kiểu gen dị hợp về cả 4 gen trên tự thụ phấn, tỉ lệ cây có chiều cao giống thế hệ P ở đời F1 là
→ AaBbCcDd x AaBbCcDd → cây cao 100cm ở đời con = C48/44 = 35/128
4. Khi cho lai cây cao nhất với cây thấp nhất, đời con sẽ có chiều cao trung bình là 100 cm. → đúng; AABBCCDD (120cm) x aabbccdd (80cm) → F1: AaBbCcDd (100cm)
Câu 35: Ở một loài thực vật, tính trạng khối lượng quả do nhiều cặp gen nằm trên các cặp nhiễm sắc thể thường khác nhau di truyền theo kiểu tương tác cộng gộp. Cho cây có quả nặng nhất (120g) lai với cây có quả nhẹ nhất (60g) được F1. Cho F1 giao phấn tự do được F2 . Cho biết khối lượng quả phụ thuộc vào số lượng alen trội có mặt trong kiểu gen, cứ 1 alen trội có mặt trong kiểu gen thì cây cho quả nặng thêm 10g.
Xét các kết luận dưới đây:
(1) Đời con lai F2 có 27 kiểu gen và 8 kiểu hình.
(2) Cây F1 cho quả nặng 90g.
(3) Trong kiểu gen của F1 có chứa 3 alen trội (là một trong 20 kiểu gen).
(4) Cây cho quả nặng 70g ở F2 chiếm tỉ lệ 3/32.
(5) Nếu cho F2 giao phấn ngẫu nhiên với nhau thì thành phần kiểu gen và kiểu hình ở F3 tương tự như F2
Có bao nhiêu kết luận đúng?
A. 2 B. 3 C. 4 D. 1
Đáp án: B
Alen trội làm tăng 10g
Nặng nhất 120g, nhẹ nhất 60g → có 3 gen không alen tác động lên khối lượng quả
P : AABBDD x aabbdd
F1 : AaBbDd
F1 x F1 → F2 :
(1) Đời con lai F2 có 27 kiểu gen và 8 kiểu hình. → sai
Số KG = 33 = 27 ; số KH = 7
(2) Cây F1 cho quả nặng 90g. → đúng
(3) Trong kiểu gen của F1 có chứa 3 alen trội (là một trong 20 kiểu gen). → Sai, F1 có 3alen trội, là 1 trong 27KG
(4) Cây cho quả nặng 70g ở F2 chiếm tỉ lệ 3/32. → đúng
70g = 1 alen trội = C16/43 = 3/32
(5) Nếu cho F2 giao phấn ngẫu nhiên với nhau thì thành phần kiểu gen và kiểu hình ở F3 tương tự như F2 → đúng
Xem thêm câu hỏi trắc nghiệm Sinh học 12 có đáp án ôn thi THPT Quốc gia hay khác:
- Trắc nghiệm Sinh 12 Bài 10: Tương tác gen và tác động đa hiệu của gen (Phần 4)
- Trắc nghiệm Sinh 12 Bài 11: Liên kết gen và hoán vị gen
- Trắc nghiệm Sinh 12 Bài 11: Liên kết gen và hoán vị gen (Phần 2)
- Trắc nghiệm Sinh 12 Bài 11: Liên kết gen và hoán vị gen (Phần 3)
- Trắc nghiệm Sinh 12 Bài 11: Liên kết gen và hoán vị gen (Phần 4)
Đã có app VietJack trên điện thoại, giải bài tập SGK, SBT Soạn văn, Văn mẫu, Thi online, Bài giảng....miễn phí. Tải ngay ứng dụng trên Android và iOS.
Theo dõi chúng tôi miễn phí trên mạng xã hội facebook và youtube:Nếu thấy hay, hãy động viên và chia sẻ nhé! Các bình luận không phù hợp với nội quy bình luận trang web sẽ bị cấm bình luận vĩnh viễn.
- Giải Tiếng Anh 12 Global Success
- Giải sgk Tiếng Anh 12 Smart World
- Giải sgk Tiếng Anh 12 Friends Global
- Lớp 12 Kết nối tri thức
- Soạn văn 12 (hay nhất) - KNTT
- Soạn văn 12 (ngắn nhất) - KNTT
- Giải sgk Toán 12 - KNTT
- Giải sgk Vật Lí 12 - KNTT
- Giải sgk Hóa học 12 - KNTT
- Giải sgk Sinh học 12 - KNTT
- Giải sgk Lịch Sử 12 - KNTT
- Giải sgk Địa Lí 12 - KNTT
- Giải sgk Giáo dục KTPL 12 - KNTT
- Giải sgk Tin học 12 - KNTT
- Giải sgk Công nghệ 12 - KNTT
- Giải sgk Hoạt động trải nghiệm 12 - KNTT
- Giải sgk Giáo dục quốc phòng 12 - KNTT
- Giải sgk Âm nhạc 12 - KNTT
- Giải sgk Mĩ thuật 12 - KNTT
- Lớp 12 Chân trời sáng tạo
- Soạn văn 12 (hay nhất) - CTST
- Soạn văn 12 (ngắn nhất) - CTST
- Giải sgk Toán 12 - CTST
- Giải sgk Vật Lí 12 - CTST
- Giải sgk Hóa học 12 - CTST
- Giải sgk Sinh học 12 - CTST
- Giải sgk Lịch Sử 12 - CTST
- Giải sgk Địa Lí 12 - CTST
- Giải sgk Giáo dục KTPL 12 - CTST
- Giải sgk Tin học 12 - CTST
- Giải sgk Hoạt động trải nghiệm 12 - CTST
- Giải sgk Âm nhạc 12 - CTST
- Lớp 12 Cánh diều
- Soạn văn 12 Cánh diều (hay nhất)
- Soạn văn 12 Cánh diều (ngắn nhất)
- Giải sgk Toán 12 Cánh diều
- Giải sgk Vật Lí 12 - Cánh diều
- Giải sgk Hóa học 12 - Cánh diều
- Giải sgk Sinh học 12 - Cánh diều
- Giải sgk Lịch Sử 12 - Cánh diều
- Giải sgk Địa Lí 12 - Cánh diều
- Giải sgk Giáo dục KTPL 12 - Cánh diều
- Giải sgk Tin học 12 - Cánh diều
- Giải sgk Công nghệ 12 - Cánh diều
- Giải sgk Hoạt động trải nghiệm 12 - Cánh diều
- Giải sgk Giáo dục quốc phòng 12 - Cánh diều
- Giải sgk Âm nhạc 12 - Cánh diều


Giải bài tập SGK & SBT
Tài liệu giáo viên
Sách
Khóa học
Thi online
Hỏi đáp

