Trắc nghiệm Sinh 12 Bài 21 (có đáp án): Di truyền y học (Phần 3)
Với bài tập & câu hỏi trắc nghiệm Sinh 12 Bài 21: Di truyền y học có đáp án và lời giải chi tiết đầy đủ các mức độ nhận biết, thông hiểu, vận dụng sẽ giúp học sinh ôn trắc nghiệm Sinh học 12.
Trắc nghiệm Sinh 12 Bài 21 (có đáp án): Di truyền y học (Phần 3)
Câu 22: Ở người xét các bệnh và hội chứng sau đây:
(1) Bệnh thiếu máu hồng cầu hình liềm
(2) Bệnh pheninketo niệu
(3) Hội chứng Đao
(4) Bệnh mù màu đỏ và màu lục
(5) Bệnh máu khó đông
(6) Bệnh bạch tạng
(7) Hội chứng Claiphento
(8) Hội chứng tiếng mèo kêu
Có mấy hội chứng liên quan đến đột biến gen?
A. 2 B. 3 C. 4 D. 5
Đáp án: D
Các bệnh liên quan đến đột biến gen là: 1, 2, 4, 5, 6
3, 7 liên quan đột biến lệch bội
8 liên quan đến đột biến cấu trúc NST.
Câu 23: Cho các bệnh, tật và hội chứng di truyền sau đây ở người:
(1) Bệnh mù màu.
(2) Bệnh thiếu máu hồng cầu hình liềm.
(3) Tật có túm lông ở vành tai.
(4) Hội chứng Đao.
(5) Hội chứng Tơcnơ.
(6) Bệnh máu khó đông.
Các bệnh, tật và hội chứng trên được phát hiện do đột biến ở cấp độ phân tử gây nên?
A. (1), (3), (5) B. (2), (3), (6)
C. (1), (2), (3) D. (1), (4), (5)
Đáp án: C
Các bệnh do đột biến cấp độ phân tử (đột biến gen): 1, 2, 3, 6.
Bệnh mù màu và bệnh máu khó đông do đột biến gen lặn nằm trên NST giới tính X gây ra.
Tật có túm lông ở vành tai do đột biến gen nằm trên NST giới tính Y gây ra.
Bệnh thiếu máu hồng cầu hình liềm do đột biến gen gây ra và dẫn đến hàng loạt các bệnh lý trong cơ thể.
Các đột biến trên NST là ở cấp độ tế bào.
Hội chứng Đao: đột biến số lượng NST thể lệch bội ba nhiễm (3 NST số 21).
Hội chứng Tocno: đột biến số lượng NST thể đột biến một nhiễm (bộ NST mang XO).
Câu 24: Phát biểu nào sau đây về các bệnh, tật di truyền là không đúng?
A. Bệnh ung thư là một loại bệnh di truyền, thường phát sinh ở các tế bào sinh dưỡng và không thể truyền qua các thế hệ
B. Bệnh máu khó đông và bệnh mù màu do đột biến gen lặn trên NST giới tính X, thường phổ biến ở nam và ít gặp ở nữ
C. Bệnh phêninkêtô niệu có thể được chữa khỏi nếu được phát hiện sớm và loại bỏ phêninalanin ra khỏi khẩu phần ăn từ giai đoạn sớm
D. Hội chứng Down là một loại bệnh di truyền tế bào và có thể được phát hiện sớm bằng phương pháp sinh thiết tua nhau thai
Đáp án: C
Phát biểu sai là C, do pheninalanin là một acid amin không thay thế nên không thể loại bỏ hoàn toàn ra khỏi khẩu phần ăn
Câu 25: Xét các kết luận sau đây:
(1) Bệnh bạch tạng là do gen lặn nằm trên NST giới tính quy định.
(2) Bệnh máu khó đông và bệnh mù màu biểu hiện chủ yếu ở nam mà ít gặp ở nữ.
(3) Bệnh phêninkêtô niệu được biểu hiện chủ yếu ở nam mà ít gặp ở nữ.
(4) Hội chứng Tơcnơ là do đột biến số lượng NST dạng thể một.
(5) Ung thư máu là đột biến bệnh do đột biến gen trội trên NST thường.
Có bao nhiêu kết luận đúng?
A. 2 B. 3 C. 1 D. 4
Đáp án: A
- (1), (3) sai: Bệnh bạch tạng và phêninkêtô niệu là 2 bệnh do gen lặn nằm trên NST thường quy định và biểu hiện bệnh ở cả nam và nữ là như nhau.
- (2) đúng: bệnh máu khó đông và bệnh mù màu do gen lặn nằm trên NST X không có alen tương ứng trên Y quy định, vì vậy bệnh biểu hiện nhiều ở giới XY hơn giới XX.
- (4) đúng: Hội chứng Tơcnơ có bộ NST giới tính XO thuộc dạng 2n-1.
- (5) sai vì ung thư máu là đột biến mất đoạn NST 21 hoặc 22.
Câu 26: Trong quần thể người có một số đột biến sau:
(1) Ung thư máu.
(2) Hồng cầu hình liềm.
(3) Bạch tạng.
(4) Claiphento.
(5) Dính ngón 2 và 3.
(6) Máu khó đông
(7) Mù màu.
(8) Đao
(9) Tocno.
Có bao nhiêu thể đột biến có ở cả nam và nữ:
A. 8 B. 6 C. 7 D. 5
Đáp án: B
Các thể đột biến có ở cả nam và nữ là: (1), (2), (3), (6), (7), (8) là đột biến đơn gen lặn trên NST thường, (2) đột biến gen do thay thế cặp T– A thành A – T làm cho codon mã hóa acid glutamic →valin làm cho HbA→ HbS; (3) do đột biến gen; (6), (7) do đột biến đơn gen lặn trên NST giới tính X không có alen tương ứng trên Y; (8) do đột biến thể ba ở NST 21 → Các đột biến trên đều xảy ra ở cả hai giới.
(4) Hội chứng claiphento do đột biến thể ba ở NST giới tính mang gen XXY → chỉ gặp ở trẻ trai.
(5) Tật dính ngón tay 2 và 3 do gen thuộc vùng không tương đồng ở NST Y quy định → chỉ gặp ở nam.
(9) Hội chứng tơcnơ là đột biến thể một ở NST giới tính, mang gen XO →chỉ gặp ở nữ.
Câu 27: Khi nói về gen trên nhiễm sắc thể giới tính của người, cho các kết luận sau:
(1) Chỉ có tế bào sinh dục mới có nhiễm sắc thể giới tính.
(2) Trên nhiễm sắc thể giới tính chỉ có các gen quy định giới tính của cơ thể.
(3) Gen nằm trên đoạn không tương đồng của nhiễm sắc thể Y thường tồn tại theo cặp alen.
(4) Ở giới XY, gen nằm trên đoạn không tương đồng của nhiễm sắc thể X không tồn tại theo cặp alen.
(5) Gen nằm trên đoạn tương đồng của nhiễm sắc thể X và Y luôn tồn tại theo cặp alen.
(6) Đoạn không tương đồng của nhiễm sắc thể giới tính X có ít gen hơn đoạn không tương đồng của NST giới tính Y.
Số kết luận đúng là:
A. 1 B. 2 C. 3 D. 4
Đáp án: B
(1) Sai: Các tế bào sinh dưỡng cũng chứa đầy đủ bộ NST 2n = 46 → NST giới tính có ở cả tế bào sinh dục và tế bào sinh dưỡng.
(2) Sai: Trên NST giới tính mang gen quy định giới tính, ngoài ra còn mang gen quy định các tính trạng thường khác.
(3) Sai: Gen nằm trên đoạn không tương đồng của nhiễm sắc thể Y không tồn tại theo cặp alen.
(4) Đúng: Gen nằm trên đoạn không tương đồng của nhiễm sắc thể X chỉ tồn tại theo cặp alen trên cơ thể XX.
(5) Đúng: Gen nằm trên đoạn tương đồng của NST X và Y luôn tồn tại theo cặp alen ở cả cơ thể XX và XY.
(6) Sai: Trên đoạn không tương đồng của NST X nhiều gen hơn trên đoạn không tương đồng của NST Y.
Câu 28: Xét các kết luận sau đây:
(1) Bệnh bạch tạng là do gen lặn nằm trên NST giới tính quy định.
(2) Bệnh máu khó đông và bệnh mù màu biểu hiện chủ yếu ở nam mà ít gặp ở nữ.
(3) Bệnh phêninkêtô niệu được biểu hiện chủ yếu ở nam mà ít gặp ở nữ.
(4) Hội chứng Tocnơ là do đột biến số lượng NST dạng thể một.
(5) Ung thư máu là đột biến bệnh do đột biến gen trội trên NST thường.
Có bao nhiêu kết luậ đúng?
A. 2 B. 3 C. 1 D. 4
Đáp án: A
- (1), (3) sai: Bệnh bạch tạng và phêninkêtô niệu là 2 bệnh do gen lặn nằm trên NST thường quy định và biểu hiện bệnh ở cả nam và nữ là như nhau.
- (2) đúng: bệnh máu khó đông và bệnh mù màu do gen lặn nằm trên NST X không có alen tương ứng trên Y quy định, vì vậy bệnh biểu hiện nhiều ở giới XY hơn giới XX.
- (4) đúng: Hội chứng Tơcnơ có bộ NST giới tính XO thuộc dạng 2n-1
- (5) sai vì ung thư máu là đột biến mất đoạn NST 21 hoặc 22
Câu 29: Bệnh mù màu do đột biến gen lặn trên NST X ở đoạn không tương đồng với Y, alen trội quy định người bình thường. Vợ mang gen dị hợp có chồng bị bệnh mù màu. Xác suất để trong số 5 người con của họ có nam bình thường, nam mù màu, nữ bình thường, nữ mù màu là bao nhiêu?
A. 15/64 B. 35/128 C. 15/128 D. 35/64
Đáp án: A
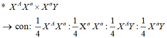
* Xác suất sinh 5 người con, trong đó có nam bình thường, nam mù màu, nữ bình thường, nữ mù màu.
- Có các trường hợp: Trong 5 con sẽ có 2 nam bình thường hoặc 2 nam mù màu hoặc 2 nữ bình thường hoặc 2 nữ mù màu.
- Xác suất =
Câu 30: Khẳng định sau về ung thư là không đúng?
A. Ung thư là bệnh không di truyền qua các thế hệ.
B. Ung thư có thể do đột biến gen hoặc đột biến nhiễm sắc thể gây nên.
C. Sự di căn là hiện tượng tế bào ung thư đã tách khỏi mô khối u và di cư vào máu.
D. Ung thư là sự tăng sinh của tế bào tạo ra khối u.
Đáp án: D
Phát biểu sai là D vì ung thư còn bao gồm cả giai đoạn các tế bào đó xâm lấn cơ quan khác và di căn.
Câu 31: Mô tả nào sau đây không đúng khi nói về các hội chứng bệnh?
A. Tocno là hội chứng chỉ gặp ở nữ không gặp ở nam.
B. Patau là hội chứng gặp ở cả nữ và nam.
C. Claiphentơ là hội chứng chỉ gặp ở nam mà không gặp ở nữ.
D. Đao là hội chứng chỉ gặp ở nữ mà không gặp ở nam.
Đáp án: D
Ý không đúng là D: Hội chứng đao là trong tế bào sinh dưỡng có 3 NST số 21 có thể gặp ở cả nam và nữ.
Câu 32: Khẳng định nào sau đây về bệnh phenylketo niệu là đúng?
A. Có thể giảm tác hại của bệnh bằng cách ăn thức ăn không có phenylalanine.
B. Do đột biến gen trội gây nên.
C. Gen đột biến đã không tạo ra enzim xúc tác chuyển tirozin thành phenylalanine.
D. Sự dư thừa phenylalanine trong máu đã đầu độc tế bào thần kinh.
Đáp án: D
A sai vì: không thể loại bỏ hoàn toàn phenylalanin ra khỏi khẩu phần ăn vì Phe là 1 axit amin không thể thay thế.
B sai vì đây là đột biến gen lặn.
C sai vì gen đột biến không tạo ra enzyme chuyển Phe thành Tyr.
Câu 33: Cho các bệnh, tật và hội chứng di truyền sau đây ở người:
1. Bệnh mù màu
2. Hội chứng Claiphento
3. Bệnh ung thư máu
4. Hội chứng Đao
5. Bệnh pheninketo niệu
6. Bệnh thiếu máu hồng cầu hình liềm
Có bao nhiêu bệnh, tật và hội chứng di truyền là thể đột biến lệch bội?
A. 4 B. 3 C. 5 D. 2
Đáp án: D
Xét các bệnh, tật di truyền của đề bài:
Các bệnh, tật và hội chứng di truyền là thể đột biến lệch bội: (2), (4)
(1) là bệnh do đột biến gen lặn trên NST giới tính
(3) là bệnh do đột biến cấu trúc NST : mất đoạn đầu mút trên NST số 21 hoặc 22.
(5) là bệnh do đột biến gen lặn trên NST thường.
(6) là bệnh do đột biến gen trội trên NST thường.
Câu 34: Ở người gen A quy định máu đông bình thường, gen a quy định máu khó đông. Gen này nằm trên nhiễm sắc thể X, không có alen tương ứng trên Y. Cặp bố mẹ nào sau đây có thể sinh cả con trai và con gái bị bệnh mù màu:
A. XAXA x XaY B. XAXa x XAY
C. XAXa x XaY D.XaXa x XAY
Đáp án: C
Người con gái mù màu có kiểu gen Xa Xa sẽ nhận Xa từ bố và 1 Xa từ mẹ Cả bố và mẹ đều phải cho giao tử Xa Chỉ có phép lai C thỏa mãn.
Xem thêm câu hỏi trắc nghiệm Sinh học 12 có đáp án ôn thi THPT Quốc gia hay khác:
- Trắc nghiệm Sinh 12 Bài 22: Bảo vệ vốn gen của loài người và một số vấn đề xã hội của di truyền học
- Trắc nghiệm Sinh 12 Bài 22: Bảo vệ vốn gen của loài người và một số vấn đề xã hội của di truyền học (Phần 2)
- Trắc nghiệm tổng hợp Sinh 12 Chương 3,4,5
- Trắc nghiệm tổng hợp Sinh 12 Chương 3,4,5 (Phần 2)
- Trắc nghiệm Sinh 12 Bài 24: Các bằng chứng tiến hóa
Đã có app VietJack trên điện thoại, giải bài tập SGK, SBT Soạn văn, Văn mẫu, Thi online, Bài giảng....miễn phí. Tải ngay ứng dụng trên Android và iOS.
Theo dõi chúng tôi miễn phí trên mạng xã hội facebook và youtube:Nếu thấy hay, hãy động viên và chia sẻ nhé! Các bình luận không phù hợp với nội quy bình luận trang web sẽ bị cấm bình luận vĩnh viễn.
- Giải Tiếng Anh 12 Global Success
- Giải sgk Tiếng Anh 12 Smart World
- Giải sgk Tiếng Anh 12 Friends Global
- Lớp 12 Kết nối tri thức
- Soạn văn 12 (hay nhất) - KNTT
- Soạn văn 12 (ngắn nhất) - KNTT
- Giải sgk Toán 12 - KNTT
- Giải sgk Vật Lí 12 - KNTT
- Giải sgk Hóa học 12 - KNTT
- Giải sgk Sinh học 12 - KNTT
- Giải sgk Lịch Sử 12 - KNTT
- Giải sgk Địa Lí 12 - KNTT
- Giải sgk Giáo dục KTPL 12 - KNTT
- Giải sgk Tin học 12 - KNTT
- Giải sgk Công nghệ 12 - KNTT
- Giải sgk Hoạt động trải nghiệm 12 - KNTT
- Giải sgk Giáo dục quốc phòng 12 - KNTT
- Giải sgk Âm nhạc 12 - KNTT
- Giải sgk Mĩ thuật 12 - KNTT
- Lớp 12 Chân trời sáng tạo
- Soạn văn 12 (hay nhất) - CTST
- Soạn văn 12 (ngắn nhất) - CTST
- Giải sgk Toán 12 - CTST
- Giải sgk Vật Lí 12 - CTST
- Giải sgk Hóa học 12 - CTST
- Giải sgk Sinh học 12 - CTST
- Giải sgk Lịch Sử 12 - CTST
- Giải sgk Địa Lí 12 - CTST
- Giải sgk Giáo dục KTPL 12 - CTST
- Giải sgk Tin học 12 - CTST
- Giải sgk Hoạt động trải nghiệm 12 - CTST
- Giải sgk Âm nhạc 12 - CTST
- Lớp 12 Cánh diều
- Soạn văn 12 Cánh diều (hay nhất)
- Soạn văn 12 Cánh diều (ngắn nhất)
- Giải sgk Toán 12 Cánh diều
- Giải sgk Vật Lí 12 - Cánh diều
- Giải sgk Hóa học 12 - Cánh diều
- Giải sgk Sinh học 12 - Cánh diều
- Giải sgk Lịch Sử 12 - Cánh diều
- Giải sgk Địa Lí 12 - Cánh diều
- Giải sgk Giáo dục KTPL 12 - Cánh diều
- Giải sgk Tin học 12 - Cánh diều
- Giải sgk Công nghệ 12 - Cánh diều
- Giải sgk Hoạt động trải nghiệm 12 - Cánh diều
- Giải sgk Giáo dục quốc phòng 12 - Cánh diều
- Giải sgk Âm nhạc 12 - Cánh diều


Giải bài tập SGK & SBT
Tài liệu giáo viên
Sách
Khóa học
Thi online
Hỏi đáp

