15 bài tập trắc nghiệm Động năng (có đáp án)
Với bài tập trắc nghiệm Động năng lớp 10 có đáp án chi tiết với câu hỏi & bài tập đầy đủ các mức độ nhận biết, thông hiểu, vận dụng giúp học sinh ôn tập trắc nghiệm Vật Lí 10.
15 bài tập trắc nghiệm Động năng (có đáp án)
(199k) Học Vật Lí 10 KNTTHọc Vật Lí 10 CDHọc Vật Lí 10 CTST
Câu 1: Nếu khối lượng vật tăng gấp 2 lần, vận tốc vật giảm đi một nửa thì
A. động lượng và động năng của vật không đổi.
B. động lượng không đổi, động năng giảm 2 lần.
C. động lượng tăng 2 lần, động năng giảm 2 lần.
D. động lượng tăng 2 lần, động năng không đổi.
Đáp án B.
Câu 2: Tìm câu sai.
A. Động lượng và động năng có cùng đơn vị vì chúng đều phụ thuộc khối lượng và vận tốc của vật.
B. Động năng là một dạng năng lượng cơ học có quan hệ chặt chẽ với công.
C. Khi ngoại lực tác dụng lên vật và sinh công dương thì động năng của vật tăng.
D. Định lí động năng đúng trong mọi trường hợp lực tác dụng bất kì và đường đi bất kì.
Đáp án A.
Động lượng p = m.v nên có đơn vị là kg.m/s.
Động năng Wđ = 0,5.m.v2 là một dạng năng lượng có được khi vật chuyển động, đơn vị là đơn vị của năng lượng (J).
Câu 3: Tìm câu sai. Động năng của một vật không đổi khi
A. chuyển động thẳng đều.
B. chuyển động tròn đều.
C. chuyển động cong đều.
D. chuyển động biến đổi đều.
Đáp án D.
Động năng của một vật không đổi khi vận tốc của vật có độ lớn không đổi (hướng có thể thay đổi).
Trong chuyển động biến đổi đều vận tốc có độ lớn thay đổi theo thời gian nên động năng sẽ thay đổi.
Câu 4: Có hai vật m1 và m2 cùng khối lượng 2m, chuyển động thẳng đều cùng chiều, vận tốc m1 so với m2 có độ lớn bằng v, vận tốc của m2 so với người quan sát đứng yên trên mặt đất cũng có độ lớn bằng v. Kết luận nào sau đây là sai?
A. Động năng của m1 trong hệ quy chiều gắn với m2 là mv2.
B. Động năng của m2 trong hệ quy chiều gắn với người quan sát là mv2.
C. Động năng của m1 trong hệ quy chiều gắn với người quan sát là 2mv2.
D. Động năng của m1 trong hệ quy chiều gắn với người quan sát là 4mv2.
Đáp án C.
Chọn chiều dương là chiều chuyển động của hai vật.
Có hai vật m1 và m2 chuyển động thẳng đều cùng chiều, vận tốc m1 so với m2 có độ lớn bằng v. Do đó: v12 = v.
Vận tốc của m2 so với người quan sát đứng yên trên mặt đất cũng có độ lớn bằng v nên v2 = v20 = v.
Mặt khác: v12→ = v10→ - v20→
Vì v12→ ⇈ v12→ nên v12 = v10 – v20 = v10 – v ⟹ v10 = 2v.
Trong hệ quy chiếu gắn với người quan sát thì vận tốc của vật m1 và m2 có độ lớn lần lượt là v10 = 2v, v20 = v.
Khi đó động năng của vật m1 và m2 là:
Wđ1 = 0,5.(2m).(2v)2 = 4m.v2; Wđ2 = 0,5.(2m).v2 = mv2.
Trong hệ quy chiếu gắn với vật m2 thì vận tốc của vật m1 có độ lớn là v12 = v nên động năng của m1 trong hệ quy chiếu này là:
W'đ1 = 0,5.(2m).v2 = mv2.
Câu 5: Một chiếc xe khối lượng m có một động cơ có công suất P. Thời gian ngắn nhất để xe tăng tốc từ đứng yên đến vận tốc v bằng
A. mv/P.
B. P /mv.
C. (mv2)/(2P).
D. (mP)/ (mv2).
Chọn C.
Độ biến thiên động năng của vật bằng công của động cơ thực hiện trong quá trình đó:
Câu 6: Một ô tô khối lượng 4 tấn chuyển động với vận tốc không đổi 54 km/h. Động năng của ô tô tải bằng
A. 450 kJ.
B. 69 kJ.
C. 900 kJ.
D. 120 kJ.
Chọn A.
Ta có: v = 54 km/h = 15 m/s; m = 4 tấn = 4000 kg.
Động năng của ô tô tải bằng: Wđ = 0,5mv2 = 0,5.4000.152 = 450000 J = 450 kJ.
Câu 7: Một máy bay vận tải đang bay với vận tốc 180 km/h thì ném ra phía sau một thùng hàng khối lượng 10 kg với vận tốc 5 m/s đối với máy bay. Động năng của thùng hàng ngay khi ném đối với người đứng trên mặt đất là
A. 20250 J.
B. 15125 J.
C. 10125 J.
D. 30250 J.
Chọn C.
Do thùng hàng được nén ra phía sau ngược chiều bay của máy bay nên theo công thức cộng vận tốc, vận tốc của thùng hàng đối với người đứng trên mặt đất bằng 50 – 5 = 45 m/s.
Do đó, động năng của thùng hàng đối với người đứng trên mặt đất là:
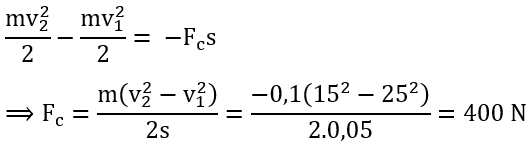
Câu 8: Một viên đạn khối lượng m= 100 g đang bay ngang với vận tốc 25 m/s thì xuyên vào một tấm ván mỏng dày 5 cm theo phương vuông góc với tấm vá. Ngay sau khi ra khỏi tấm ván vận tốc của viên đạn bằng 15 m/s. Độ lớn của lực cản trung bình tấm ván tác dụng lên viên đạn bằng
A. 900 N.
B. 200 N.
C. 650 N.
D. 400 N.
Chọn D.
Do lực cản sinh công làm biến đổi động năng của vật nên áp dụng định lí biến thiên động năng:
Câu 9: Bao lâu sau khi bắt đầu rơi tự do một vật có khối lượng 100 g có động năng bằng 1,5 J? Lấy g = 10 m/s2.
A. √3 s.
B. √2 s.
C. 3 s.
D. 2 s.
Chọn A.
Do trọng lực sinh công phát động trong quá trình vật rơi tự do nên.
Câu 10: Từ mặt đất, một vật được ném lên thẳng đứng với vận tốc ban đầu 10 m/s. Bỏ qua sức cản không khí. Cho g = 10 m/s2. Vị trí cao nhất mà vật lên được cách mặt đất một khoảng bằng
A. 10 m.
B. 20 m.
C. 15 m.
D. 5 m.
Chọn D.
Khi vật lên đến vị trí cao nhất thì vận tốc bằng 0. Trong quá trình vật chuyển động hướng lên thì trọng lực sinh công âm
Câu 11: Một vật có khối lượng 0,2 kg được ném thẳng đứng từ mặt đất với vận tốc 10 m/s. Lấy g = 10 m/s2. Bỏ qua sức cản. Khi vật đi được quãng đường 8 m thì động năng của vật có giá trị bằng
A. 9 J.
B. 7 J.
C. 8 J.
D. 6 J.
Chọn D.
Vị trí cao nhất lên tới
Vậy khi vật đi được quãng đường 8 m tức là trong quá trình rơi tự do trở lại, chuyển động rơi này có vận tốc ban đầu bằng 0 và trọng lực lại sinh công dương nên:
W’đ – 0 = mg(s – h) = 0,2.10(8 – 5) = 6 J.
Câu 12: Một búa máy khối lượng 900 kg rơi từ độ cao 2 m vào một cái cọc khối lượng 100 kg. Va chạm giữa búa và cọc là va chạm mềm. Cho g = 10 m/s2. Động năng của hệ (búa + cọc) sau va chạm là
A. 16200 J.
B. 18000 J.
C. 9000 J.
D. 8100 J.
Chọn A.
Áp dụng định lí biến thiên động năng, vận tốc của búa ngay trước khi va chạm mềm với cọc là:
Khi va chạm giữa búa và cọc là va chạm mềm thì theo định luật bảo toàn động lượng ta có:
Vậy động năng của hệ búa và cọc sáu va chạm là:
Câu 13: Hai xe ô tô A và B có khối lượng mA = 2mB, có đồ thị tọa độ - thời gian của hai xe như ở hình bên. Gọi WđA, WđB tương ứng là động năng của xe A và xe B. Kết luận đúng là
A. WđA = 4WđB
B. WđA = 18WđB
C. WđA = 6WđB
D. WđA= 9WđB
Chọn B.
Động năng của một vật khối lượng m đang chuyển động với vận tốc v được xác định theo công thức:
Theo bài mA = 2mB (2)
Từ đồ thị ta thấy đây là đồ thị chuyển động thẳng đều do vậy ta được
Câu 14: Một viên đạn có khối lượng m = 10g đang bay với vận tốc v1 = 1000m/s thì gặp bức tường. Sau khi xuyên ngang qua bức tường dầy 4cm thì vận tốc của viên đạn còn lại là v2 = 400 m/s. Độ lớn lực cản trung bình của bức tường lên viên đạn bằng
A. 10500N.
B. 1000N.
C. 105000N.
D. 400N.
Chọn C.
Các lực tác dụng vào vật gồm:
+ Lực cản của tường Fc→
+ Trọng lực P→
Công lực cản cản trở chuyển động của viên đạn là
A = F.s.cosα = Fc.0,04.cos(180°) (1)
(Trọng lực P→ có phương vuông góc với chuyển động nên công của trọng lực bằng O)
Độ biến thiên động năng của vật là
Từ (1) và (2) theo định lý biến thiên động năng ta được:
A = Wđ2 - Wđ1 ⇒ -0,04Fc = -4200 ⇔ Fc = 105000N
Độ lớn lực cản trung bình của bức tường lên viên đạn bằng: Fc = 105000N.
Câu 15: Một ô tô có khối lượng 1600kg đang chạy vói tốc độ 54 km/h thì người lái xe nhìn thấy một vật cản trước mặt cách khoảng 10m. Người đó tắt máy và hãm phanh khẩn cấp với lực hãm không đổi là 2.104 N. Xe dừng lại cách vật cản một khoảng bằng
A. 1,2 m.
B. 1,0 m.
C. 1,4 m.
D. l,5m.
Chọn B.
Các lực tác dụng vào vật gồm:
+ Lực cản của tường Fc→
+ Trọng lực P→ , phản lực N→
Công lực cản cản trở chuyển động của viên đạn là
A = F.s.cosα = 2.102.s.cos(180°) = -2.104.S (1)
(Trọng lực P→ ; phản lực N→ có phương vuông góc với chuyển động nên công của chúng bằng O)
Độ biến thiên động năng của vật là
Từ (1) và (2) theo định lý biến thiên động năng ta được:
Wđ2 - Wđ1 ⇒ -2.104S = -180000 ⇔ S = 9m
Ban đầu vật cản cách xe là 10m xe đi 9m thì dừng vậy xe dừng cách vật cản là 1m.
(199k) Học Vật Lí 10 KNTTHọc Vật Lí 10 CDHọc Vật Lí 10 CTST
Xem thêm các Bài tập trắc nghiệm Vật Lí lớp 10 có đáp án hay khác:
- 25 bài tập trắc nghiệm Công và công suất (có đáp án - phần 2)
- 15 bài tập trắc nghiệm Thế năng (có đáp án)
- 15 bài tập trắc nghiệm Cơ năng (có đáp án)
- 25 bài tập trắc nghiệm Các định luật bảo toàn (có đáp án)
- 25 bài tập trắc nghiệm Các định luật bảo toàn (có đáp án - phần 2)
Để học tốt lớp 10 các môn học sách mới:
- Giải bài tập Lớp 10 Kết nối tri thức
- Giải bài tập Lớp 10 Chân trời sáng tạo
- Giải bài tập Lớp 10 Cánh diều
Tủ sách VIETJACK shopee lớp 10-11 (cả 3 bộ sách):
Đã có app VietJack trên điện thoại, giải bài tập SGK, SBT Soạn văn, Văn mẫu, Thi online, Bài giảng....miễn phí. Tải ngay ứng dụng trên Android và iOS.
Theo dõi chúng tôi miễn phí trên mạng xã hội facebook và youtube:Nếu thấy hay, hãy động viên và chia sẻ nhé! Các bình luận không phù hợp với nội quy bình luận trang web sẽ bị cấm bình luận vĩnh viễn.
- Giải Tiếng Anh 10 Global Success
- Giải Tiếng Anh 10 Friends Global
- Giải sgk Tiếng Anh 10 iLearn Smart World
- Giải sgk Tiếng Anh 10 Explore New Worlds
- Lớp 10 - Kết nối tri thức
- Soạn văn 10 (hay nhất) - KNTT
- Soạn văn 10 (ngắn nhất) - KNTT
- Soạn văn 10 (siêu ngắn) - KNTT
- Giải sgk Toán 10 - KNTT
- Giải sgk Vật lí 10 - KNTT
- Giải sgk Hóa học 10 - KNTT
- Giải sgk Sinh học 10 - KNTT
- Giải sgk Địa lí 10 - KNTT
- Giải sgk Lịch sử 10 - KNTT
- Giải sgk Kinh tế và Pháp luật 10 - KNTT
- Giải sgk Tin học 10 - KNTT
- Giải sgk Công nghệ 10 - KNTT
- Giải sgk Hoạt động trải nghiệm 10 - KNTT
- Giải sgk Giáo dục quốc phòng 10 - KNTT
- Lớp 10 - Chân trời sáng tạo
- Soạn văn 10 (hay nhất) - CTST
- Soạn văn 10 (ngắn nhất) - CTST
- Soạn văn 10 (siêu ngắn) - CTST
- Giải Toán 10 - CTST
- Giải sgk Vật lí 10 - CTST
- Giải sgk Hóa học 10 - CTST
- Giải sgk Sinh học 10 - CTST
- Giải sgk Địa lí 10 - CTST
- Giải sgk Lịch sử 10 - CTST
- Giải sgk Kinh tế và Pháp luật 10 - CTST
- Giải sgk Hoạt động trải nghiệm 10 - CTST
- Lớp 10 - Cánh diều
- Soạn văn 10 (hay nhất) - Cánh diều
- Soạn văn 10 (ngắn nhất) - Cánh diều
- Soạn văn 10 (siêu ngắn) - Cánh diều
- Giải sgk Toán 10 - Cánh diều
- Giải sgk Vật lí 10 - Cánh diều
- Giải sgk Hóa học 10 - Cánh diều
- Giải sgk Sinh học 10 - Cánh diều
- Giải sgk Địa lí 10 - Cánh diều
- Giải sgk Lịch sử 10 - Cánh diều
- Giải sgk Kinh tế và Pháp luật 10 - Cánh diều
- Giải sgk Tin học 10 - Cánh diều
- Giải sgk Công nghệ 10 - Cánh diều
- Giải sgk Hoạt động trải nghiệm 10 - Cánh diều
- Giải sgk Giáo dục quốc phòng 10 - Cánh diều


Giải bài tập SGK & SBT
Tài liệu giáo viên
Sách
Khóa học
Thi online
Hỏi đáp

