13 bài tập trắc nghiệm Lực hấp dẫn; Định luật vạn vật hấp dẫn (có đáp án)
Với bài tập trắc nghiệm Lực hấp dẫn; Định luật vạn vật hấp dẫn lớp 10 có đáp án chi tiết với câu hỏi & bài tập đầy đủ các mức độ nhận biết, thông hiểu, vận dụng giúp học sinh ôn tập trắc nghiệm Vật Lí 10.
13 bài tập trắc nghiệm Lực hấp dẫn; Định luật vạn vật hấp dẫn (có đáp án)
(199k) Học Vật Lí 10 KNTTHọc Vật Lí 10 CDHọc Vật Lí 10 CTST
Câu 1: Khi nói về lực hấp dẫn giữa hai chất điểm, phát biểu nào sau đây sai?
A. Lực hấp dẫn có phương trùng với đường thẳng nối hai chất điểm.
B. Lực hấp dẫn có điểm đặt tại mỗi chất điểm.
C. Lực hấp dẫn của hai chất điểm là cặp lực trực đối.
D. Lực hấp dẫn của hai chất điểm là cặp lực cân bằng.
Chọn D.
Lực hấp dẫn giữa hai chất điểm bất kì tỉ lệ thuận với tích hai khối lượng của chúng và tỉ lệ nghịch với bình phương khoảng cách giữa chúng
Phạm vị áp dụng định luật:
- Khoảng cách giữa các vật rất lớn so với khoảng cách giữa chúng (chất điểm).
- Các vật đồng chất hình cầu. Khi đó r là khoảng cách giữa hai tâm.
F12→ = -F12→ nên lực hấp dẫn giữa hai chất điểm có cùng phương trùng với đường thẳng nối hai chất điểm, là cặp lực trực đối.
Câu 2: Một vật có khối lượng m đặt ở nơi có gia tốc trọng trường g. Phát biểu nào sau đây sai?
A. Trọng lực có độ lớn được xác định bởi biểu thức P = mg.
B. Điểm đặt của trọng lực là trọng tâm của vật.
C. Trọng lực tỉ lệ nghịch với khối lượng của vật.
D. Trọng lực là lực hút của Trái Đất tác dụng lên vật.
Chọn C.
Trọng lực của một vật: là lực hấp dẫn giữa Trái đất và vật đó.
Trọng lực đặt tại một điểm đặc biệt của vật gọi là trọng tâm.
Độ lớn của trọng lực gọi là trọng lượng của vật: P = m.g
Câu 3: Một vật có khối lượng m, ở độ cao h so với mặt đất. Gọi M là khối lượng Trái Đất, G là hằng số hấp dẫn và R là bán kính Trái Đất. Gia tốc rơi tự do tại vị trí đặt vật có biểu thức là:
Chọn A.
Công thức tính gia tốc trọng trường theo độ cao so với mặt đất
với h là độ cao so với mặt đất, R là bán kính Trái đất.
Câu 4: Một viên đá đang nằm yên trên mặt đất, lực hấp dẫn do Trái Đất tác dụng vào hòn đá có giá trị
A. lớn hơn trọng lượng của hòn đá.
B. nhỏ hơn trọng lượng của hòn đá.
C. bằng trọng lượng của hòn đá
D. bằng 0.
Chọn C.
Một viên đá đang nằm yên trên mặt đất, lực hấp dẫn do Trái Đất tác dụng vào hòn đá có giá trị bằng trọng lượng của hòn đá.
Câu 5: Hai quả cầu đồng chất có khối lượng 20 kg, bán kính 10 cm, khoảng cách giữa hia tâm của chúng là 50 cm. Biết rằng số hấp dẫn là G = 6,67.10-11N.m2/kg2 . Độ lớn lực tương tác hấp dẫn giữa chúng là
A. 1,0672.10-8 N.
B. 1,0672.10-6 N.
C. 1,0672.10-7 N.
D. 1,0672.10-5 N.
Chọn C.
Câu 6: Hai khối cầu giống nhau được đặt sao cho tâm cách nhau khoảng r thì lực hấp dẫn giữa chúng là F. Nếu thay một trong hai khối cầu trên bằng một khối cầu đồng chất khác nhưng có bán kính lớn gấp hai, vẫn giữ nguyên khoảng cách giữa hai tâm (hai khối cầu không chạm nhau) thì lực hấp dẫn giữa chùng lúc này là
A. 2F.
B. 16F.
C. 8F.
D. 4F.
Chọn C.
Khi bán kính khối cầu tẳng gấp hai (r’2 = 2r2) thì khối lượng của khối cầu là:
Giữ nguyên khoảng cách giữa hai tâm (hai khối cầu không chạm nhau) thì lực hấp dẫn giữa chùng lúc này là:
Câu 7: Cho biết khoảng cách giữa tâm Mặt Trăng và tâm Trái Đất là 38.107 m; khối lượng Mặt Trăng và Trái Đất tương ứng là 7,37.1022 kg và 6.1024 kg; hằng số hấp dẫn G = 1,0672.10-8 N. Lực hấp dẫn giữa Trái Đất và Mặt Trăng có độ lớn là
A. 0,204.1021 N.
B. 2,04.1021 N.
C. 22.1025 N.
D. 2.1027 N.
Chọn A.
Lực hấp dẫn giữa Trái Đất và Mặt Trăng có độ lớn là:
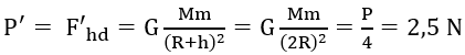
Câu 8: Ở mặt đất, một vật có trọng lượng 10 N. Nếu chuyển vật này ở độ cao cách Trái Đất một khoảng R (R là bán kính Trái Đất) thì trọng lượng của vât bằng
A. 1 N.
B. 2,5 N.
C. 5 N.
D. 10 N.
Chọn B.
Tại mặt đất:
Tại độ cao cách Trái Đất một khoảng R (R là bán kính Trái Đất) thì trọng lượng của vât bằng:
Câu 9: Biết gia tốc rơi tự do ở đỉnh và chân một ngọn núi lần lượt là 9,809 m/s2 và 9,810 m/s2. Coi Trái Đất là đồng chất và chân núi cách tâm Trái Đất 6370 km. Chiều cao ngọn núi này là
A. 324,7 m.
B. 640 m.
C. 649,4 m.
D. 325 m.
Chọn A.
Câu 10: Coi khoảng cách trung bình giữa tâm Trái Đất và tâm Mặt Trăng gấp 60 lần bán kính Trái Đất; khối lượng Mặt Trăng nhỏ hơn khối lượng Trái Đất 81 lần. Xét vật M nằm trên đường thẳng nối tâm Trái Đất và tâm Mặt Trăng mà ở đó có lực hấp dẫn của Trái Đất và của Mặt Trăng cân bằng nhau. So với bán kính Trái Đất, khoảng cách từ M đến tâm Trái Đất gấp
A. 56,5 lần.
B. 54 lần.
C. 48 lần.
D. 32 lần.
Chọn B.
Gọi x là khoảng cách tử tâm Trái Đất đến vật m đặt tại điểm ta xét nên khoảng cách từ tâm của Mặt Trăng đến vật là 60R – x.
Câu 11: Cho tam giác vuông cân ABC vuông tại C,có cạnh huyền AB = R. Tại ba đỉnh A, B và C của tam giác, người ta đặt 3 chất điểm có khối lượng lần lượt là m, 2m và 3m. Tìm lực hấp dẫn tác dụng lên chất điểm tại C.
Chọn B.
Câu 12: Kim tinh (còn gọi là sao Thái Bạch, sao Hôm hoặc sao Mai) được gọi là “hành tinh sinh đôi” với Trái Đất do khối lượng, kích thước gần giống với Trái Đất. Biết Trái Đất và Kim Tinh có đường kính lần lượt là 12740 km và 12090 km. Khối lượng của Kim Tinh bằng 81,5% khối lượng của Trái Đất. Tính gia tốc rơi tự đo trên bề mặt của Kim Tinh biết gia tốc rơi tự do trên bề mặt của Trái Đất có giá trị gT = 9,81 m/s2
A. 13,37 m/s2
B. 8,88 m/s2
C. 7,20 m/s2
D. 1,67 m/s2
Chọn B.
Câu 13: Trong một quả cầu bằng chì bán kính R, người ta khoét một lỗ hình cầu bán kính R/2 .
Tìm lực do quả cầu tác dụng lên vật nhỏ m trên đường nối tâm hai hình cầu, cách tâm hình cầu lớn một đoạn d, biết rằng khi chưa khoét quả cầu có khối lượng M.
Chọn A.
Phần khoét đi, nếu đặt lại chỗ cũ sẽ hút m lực hấp dẫn:
(199k) Học Vật Lí 10 KNTTHọc Vật Lí 10 CDHọc Vật Lí 10 CTST
Xem thêm các Bài tập trắc nghiệm Vật Lí lớp 10 có đáp án hay khác:
- 24 bài tập trắc nghiệm Ba định luật Niu-tơn (có đáp án - phần 2)
- 15 bài tập trắc nghiệm Lực đàn hồi của lò xo; Định luật húc (có đáp án)
- 18 bài tập trắc nghiệm Lực ma sát (có đáp án)
- 22 bài tập trắc nghiệm Lực hướng tâm (có đáp án)
- 22 bài tập trắc nghiệm Lực hướng tâm (có đáp án - phần 2)
Để học tốt lớp 10 các môn học sách mới:
- Giải bài tập Lớp 10 Kết nối tri thức
- Giải bài tập Lớp 10 Chân trời sáng tạo
- Giải bài tập Lớp 10 Cánh diều
Tủ sách VIETJACK shopee lớp 10-11 (cả 3 bộ sách):
Đã có app VietJack trên điện thoại, giải bài tập SGK, SBT Soạn văn, Văn mẫu, Thi online, Bài giảng....miễn phí. Tải ngay ứng dụng trên Android và iOS.
Theo dõi chúng tôi miễn phí trên mạng xã hội facebook và youtube:Nếu thấy hay, hãy động viên và chia sẻ nhé! Các bình luận không phù hợp với nội quy bình luận trang web sẽ bị cấm bình luận vĩnh viễn.
- Giải Tiếng Anh 10 Global Success
- Giải Tiếng Anh 10 Friends Global
- Giải sgk Tiếng Anh 10 iLearn Smart World
- Giải sgk Tiếng Anh 10 Explore New Worlds
- Lớp 10 - Kết nối tri thức
- Soạn văn 10 (hay nhất) - KNTT
- Soạn văn 10 (ngắn nhất) - KNTT
- Soạn văn 10 (siêu ngắn) - KNTT
- Giải sgk Toán 10 - KNTT
- Giải sgk Vật lí 10 - KNTT
- Giải sgk Hóa học 10 - KNTT
- Giải sgk Sinh học 10 - KNTT
- Giải sgk Địa lí 10 - KNTT
- Giải sgk Lịch sử 10 - KNTT
- Giải sgk Kinh tế và Pháp luật 10 - KNTT
- Giải sgk Tin học 10 - KNTT
- Giải sgk Công nghệ 10 - KNTT
- Giải sgk Hoạt động trải nghiệm 10 - KNTT
- Giải sgk Giáo dục quốc phòng 10 - KNTT
- Lớp 10 - Chân trời sáng tạo
- Soạn văn 10 (hay nhất) - CTST
- Soạn văn 10 (ngắn nhất) - CTST
- Soạn văn 10 (siêu ngắn) - CTST
- Giải Toán 10 - CTST
- Giải sgk Vật lí 10 - CTST
- Giải sgk Hóa học 10 - CTST
- Giải sgk Sinh học 10 - CTST
- Giải sgk Địa lí 10 - CTST
- Giải sgk Lịch sử 10 - CTST
- Giải sgk Kinh tế và Pháp luật 10 - CTST
- Giải sgk Hoạt động trải nghiệm 10 - CTST
- Lớp 10 - Cánh diều
- Soạn văn 10 (hay nhất) - Cánh diều
- Soạn văn 10 (ngắn nhất) - Cánh diều
- Soạn văn 10 (siêu ngắn) - Cánh diều
- Giải sgk Toán 10 - Cánh diều
- Giải sgk Vật lí 10 - Cánh diều
- Giải sgk Hóa học 10 - Cánh diều
- Giải sgk Sinh học 10 - Cánh diều
- Giải sgk Địa lí 10 - Cánh diều
- Giải sgk Lịch sử 10 - Cánh diều
- Giải sgk Kinh tế và Pháp luật 10 - Cánh diều
- Giải sgk Tin học 10 - Cánh diều
- Giải sgk Công nghệ 10 - Cánh diều
- Giải sgk Hoạt động trải nghiệm 10 - Cánh diều
- Giải sgk Giáo dục quốc phòng 10 - Cánh diều


Giải bài tập SGK & SBT
Tài liệu giáo viên
Sách
Khóa học
Thi online
Hỏi đáp

