40 bài tập trắc nghiệm Động học chất điểm (có đáp án - phần 3)
Với bài tập trắc nghiệm Động học chất điểm lớp 10 có đáp án chi tiết với câu hỏi & bài tập đầy đủ các mức độ nhận biết, thông hiểu, vận dụng giúp học sinh ôn tập trắc nghiệm Vật Lí 10.
40 bài tập trắc nghiệm Động học chất điểm (có đáp án - phần 3)
(199k) Học Vật Lí 10 KNTTHọc Vật Lí 10 CDHọc Vật Lí 10 CTST
Câu 28: Tại mặt đất, hai vật được ném thẳng đứng lên cao với cùng vận tốc vo = 40 m/s, vật thứ 2 ném sau vật 1 là 3s. Lấy g = 10m/s2, bỏ qua sức cản của không khí. Hai vật gặp nhau sau khi ném ở độ cao
A. 75,63 m.
B. 48,75 m.
C. 56,43 m.
D. 87,25 m.
Chọn B.
Chọn trục tọa độ thẳng đứng, gốc tọa độ tại mặt đất, chiều dương hướng lên, gốc thời gian là lúc ném vật 1. Phương trình chuyển động của 2 vật là:
x1 = 40t – 0,5.10.t2 = 40t – 5t2
x2 = 40t – 0,5.10(t – 3)2 = 40t – 5(t – 3)2
Hai vật gặp nhau: x1 = x2 → 40t – 5t2 = 40t – 5(t – 3)2 → t = 1,5 s
→ x1 = x2 = 40.1,5 – 5.1,52 = 48,75 m.
Câu 29: Một vật rơi tự do từ độ cao h, trong giây cuối cùng trước lúc chạm mặt đất vật đi được quãng đường gấp 1,5 lần quãng đường vật đi được trong giây trước đó. Lấy g = 10 m/s2. Độ cao h gần giá trị nào nhất sau đây?
A. 17 m.
B. 85 m.
C. 61 m.
D. 58 m.
Chọn C.
Gọi t là thời gian vật rơi. Trong giây cuối cùng trước lúc chạm mặt đất vật đi được quãng đường gấp 1,5 lần quãng đường vật đi được trong giây trước đó:
0,5.10.t2 – 0,5.10.(t - 1)2 = 1,5[0,5.10.(t – 1)2 – 0,5.10.(t -2)2] ⇒ t = 3,5 s
Độ cao h = 0,5.10.3,52 = 61,25 m.
Câu 30: Một ca nô chuyển động đều, đầu tiên chạy theo hướng Nam - Bắc trong thời gian 18 phút sau đó rẽ sang hướng Đông - Tây và chạy thêm 24 phút, khoảng cách từ nơi xuất phát tới nơi dùng là 25 km, vận tốc ca nô là
A. 50 km/h.
B. 45 km/h.
C. 40 km/h.
D. 25 km/h.
Chọn A.
Gọi vận tốc của ca nô là v km/h.
Đổi 18 phút = 0,3 giờ, 24 phút = 0,4 giờ
Quãng đường mà ca nô đi được theo hướng Nam - Bắc là: S1 = 0,3.v
Quãng đường mà ca nô đi được theo hướng Đông - Tây là: S2 = 0,4.v
Từ hình vẽ, ta có: S12 + S22 = S2 = 252
→ 0,09v2 + 0,16v2 = 625 → v = 50 km/h
Câu 31: Một người đứng ở điểm A cách đường quốc lộ h = 100m nhìn thấy một xe ô tô vừa đến B cách A d = 500m đang chạy trên đường với vận tốc v1 = 50kmm/h như hình vẽ. Đúng lúc nhìn thấy xe thì người đó chạy theo hướng AC biết với vận tốc v2. Biết
. Giá trị của α là:
A. 60° hoặc 120°.
B. 50° hoặc 100°.
C. 40° hoặc 80°.
D. 30° hoặc 120°.
Chọn A.
Gọi thời gian để người và xe cùng đến C là t
Ta có: AC = v2.t; BC = v1.t
Câu 32: Một viên đạn pháo nổ ở độ cao 100m thành 2 mảnh : mảnh A có vận tốc v1 = 60 m/s hướng thẳng đứng lên trên và mảnh B có vận tốc v2 = 40m/s hướng thẳng đứng xuống dưới. Khoảng cách giữa 2 mảnh đó sau 0,5 s kể từ lúc đạn nổ là:
A. 65 m.
B. 50 m.
C. 21 m.
D. 18 m.
Chọn B.
Chọn gốc tọa độ tại vị trí đạn nổ , chiều dương hướng thẳng lên trên và gốc thời gian là lúc đạn nổ . Phương trình chuyển động của 2 mảnh A và B là :
Khoảng cách H giữa 2 mảnh sau 0,5 s là : H = |yA – yB| = 100 . 0,5 = 50 m
Câu 33: Một thang máy chuyển động lên cao với gia tốc 2m/s2. Lúc thang máy có vận tốc 2,4m/s thì từ trần thang máy có một vật rơi xuống. Trần thang máy cách sàn là h = 2,47m . Hãy tính trong hệ quy chiếu gắn với mặt đất thời gian rơi của vật
A. 0,64s.
B. 0,98s.
C. 0,21s.
D. 1,8s.
Chọn A.
Chọn hệ quy chiếu gắn với mặt đất, chọn gốc tọa độ là một điểm ngang bằng với sàn A, chọn t = 0 tại thời điểm vật bắt đầu rơi thì phương trình chuyển động của của sàn là:
y = 2,4t + t2
và của vật là: y = 2,47 + 2,4t + 0,5gt2 = 2,47 + 2,4t - 5t2
(Gia tốc có dấu âm vì chuyển động của vật là đi lên chậm dần đều với vận tốc ban đầu là v0 = 2,4m/s)
Vật chạm sàn sau thời gian t là nghiệm của phương trình :
2,47 + 2,4t - 5t2 = 2,4t + t2
Giải ra và loại nghiệm âm ta được t = 0,64s.
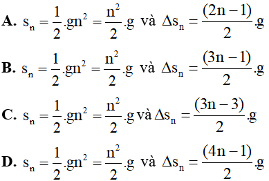
Câu 34: Một vật được buông rơi tự do tại nơi có g = 9,8m/s2. Lập biểu thức tính quãng đường vật rơi trong n giây và trong giây thứ n
Chọn A.
Câu 35: Một vật chuyển đoộng thẳng nhanh dần đều với gia tốc a từ trạng thái đứng yên và đi được quãng đường s trong thời gian t. Hãy tính khoảng thời gian vật đi hết 1 mét cuối cùng
Chọn B.
Câu 36: Một đường dốc AB có độ dài là 400m. Một người đang đi xe đạp với vận tốc 2m/s thì bắt đầu xuống dốc tại đỉnh A với gia tốc 0,2m/s2, cùng lúc đó một ô tô lên dốc từ chân dốc B chậm dần đều với vận tốc 20m/s và gia tốc là 0,4 m/s2. Xác định thời điểm để hai xe cách nhau 40m ?
A. 22,25s và 17,8s.
B. 12,25s và 12,8s.
C. 12,5s và 12,8s.
D. 22,2s và 13,8s.
Chọn A.
Chọn chiều dương là chiều từ đỉnh đến chân dốc, gốc toạ độ tại đỉnh A, gốc thời gian là lúc xe A xuống dốc.
Câu 37: Một người bơi từ điểm A của bờ sông bên này sang bờ bên kia của một con sông rộng 100m. Khi người đó bơi theo hướng vuông góc với dòng chảy thì điểm đến bờ bên kia (điểm B) cách vị trí đối diện với A (điểm H) một khoảng 50m. Để người đó sang bờ bên kia tại đúng vị trí đối diện với điểm A thì người đó phải bơi theo hướng tạo với hướng của dòng chảy một góc bằng
A. 60°
B.120°
C.150°
D.135°
Chọn C.
Gọi người bơi là (1), dòng nước là (2)
Để bơi sang sông với quãng đường ngắn nhất người đó phải bơi sao cho vận tốc (vận tốc của người đối với nước) có hướng như hình vẽ để
(vận tốc của người đối với bờ sông) có phương vuông góc với bờ sông và thoả mãn:
=
+
( là vận tốc dòng chảy của nước)
Câu 38: Để xác định gia tốc của một chuyển động thẳng biến đổi đều, một học sinh đã sử dụng đồng hồ bấm giờ và thước mét để xác định thời gian t và đo quãng đường L , sau đó xác định a bằng công thức . Kết quả cho thấy
. Gia tốc a bằng:
Chọn B.
Câu 39: Thả rơi tự do một vật từ đỉnh tháp thì thời gian vật chạm đất được xác định bằng (2,0 ± 0,1) s. Nếu lấy gia tốc trọng trường tại nơi thả vật chính xác bằng 10m/s2 thì chiều cao của tháp là
Chọn D.
Câu 40: Để ước lượng độ sâu của một giếng cạn nước, một người dùng đồng hồ bấm giây, ghé sát tai vào miệng giếng và thả một hòn đá rơi tự do từ miệng giếng; sau 3s thì người đó nghe thấy tiếng hòn đá đập vào đáy giếng. Giả sử tốc độ truyền âm trong không khí là 330 m/s, lấy g = 9,9 m/s2. Độ sâu định lượng của giếng nước đó là
A. 43 m.
B. 45 m.
C. 39 m.
D. 41 m.
Chọn D.
Ta có 3 s là thời gian để viên đá rơi nhanh dần đều xuống vực phát ra âm thanh và thời gian để âm thanh chuyển động đều từ vực đến tai người nghe: t1 + t2 = 3 s (1)
Quãng đường đá rơi = quãng đường âm thanh truyền:
Từ (1) và (2), suy ra: t2 = 0,124 s; t1 = 2,875 s
Độ cao từ vách núi xuống đáy vực: S = va.t2 = 330.0,124 = 40,92 m.
(199k) Học Vật Lí 10 KNTTHọc Vật Lí 10 CDHọc Vật Lí 10 CTST
Xem thêm các Bài tập trắc nghiệm Vật Lí lớp 10 có đáp án hay khác:
- 40 bài tập trắc nghiệm Động học chất điểm (có đáp án - phần 2)
- 20 bài tập trắc nghiệm Tổng hợp và phân tích lực; Điều kiện cân bằng của chất điểm (có đáp án)
- 20 bài tập trắc nghiệm Tổng hợp và phân tích lực; Điều kiện cân bằng của chất điểm (có đáp án - phần 2)
- 24 bài tập trắc nghiệm Ba định luật Niu-tơn (có đáp án)
- 24 bài tập trắc nghiệm Ba định luật Niu-tơn (có đáp án - phần 2)
Để học tốt lớp 10 các môn học sách mới:
- Giải bài tập Lớp 10 Kết nối tri thức
- Giải bài tập Lớp 10 Chân trời sáng tạo
- Giải bài tập Lớp 10 Cánh diều
Tủ sách VIETJACK shopee lớp 10-11 (cả 3 bộ sách):
Đã có app VietJack trên điện thoại, giải bài tập SGK, SBT Soạn văn, Văn mẫu, Thi online, Bài giảng....miễn phí. Tải ngay ứng dụng trên Android và iOS.
Theo dõi chúng tôi miễn phí trên mạng xã hội facebook và youtube:Nếu thấy hay, hãy động viên và chia sẻ nhé! Các bình luận không phù hợp với nội quy bình luận trang web sẽ bị cấm bình luận vĩnh viễn.
- Giải Tiếng Anh 10 Global Success
- Giải Tiếng Anh 10 Friends Global
- Giải sgk Tiếng Anh 10 iLearn Smart World
- Giải sgk Tiếng Anh 10 Explore New Worlds
- Lớp 10 - Kết nối tri thức
- Soạn văn 10 (hay nhất) - KNTT
- Soạn văn 10 (ngắn nhất) - KNTT
- Soạn văn 10 (siêu ngắn) - KNTT
- Giải sgk Toán 10 - KNTT
- Giải sgk Vật lí 10 - KNTT
- Giải sgk Hóa học 10 - KNTT
- Giải sgk Sinh học 10 - KNTT
- Giải sgk Địa lí 10 - KNTT
- Giải sgk Lịch sử 10 - KNTT
- Giải sgk Kinh tế và Pháp luật 10 - KNTT
- Giải sgk Tin học 10 - KNTT
- Giải sgk Công nghệ 10 - KNTT
- Giải sgk Hoạt động trải nghiệm 10 - KNTT
- Giải sgk Giáo dục quốc phòng 10 - KNTT
- Lớp 10 - Chân trời sáng tạo
- Soạn văn 10 (hay nhất) - CTST
- Soạn văn 10 (ngắn nhất) - CTST
- Soạn văn 10 (siêu ngắn) - CTST
- Giải Toán 10 - CTST
- Giải sgk Vật lí 10 - CTST
- Giải sgk Hóa học 10 - CTST
- Giải sgk Sinh học 10 - CTST
- Giải sgk Địa lí 10 - CTST
- Giải sgk Lịch sử 10 - CTST
- Giải sgk Kinh tế và Pháp luật 10 - CTST
- Giải sgk Hoạt động trải nghiệm 10 - CTST
- Lớp 10 - Cánh diều
- Soạn văn 10 (hay nhất) - Cánh diều
- Soạn văn 10 (ngắn nhất) - Cánh diều
- Soạn văn 10 (siêu ngắn) - Cánh diều
- Giải sgk Toán 10 - Cánh diều
- Giải sgk Vật lí 10 - Cánh diều
- Giải sgk Hóa học 10 - Cánh diều
- Giải sgk Sinh học 10 - Cánh diều
- Giải sgk Địa lí 10 - Cánh diều
- Giải sgk Lịch sử 10 - Cánh diều
- Giải sgk Kinh tế và Pháp luật 10 - Cánh diều
- Giải sgk Tin học 10 - Cánh diều
- Giải sgk Công nghệ 10 - Cánh diều
- Giải sgk Hoạt động trải nghiệm 10 - Cánh diều
- Giải sgk Giáo dục quốc phòng 10 - Cánh diều


Giải bài tập SGK & SBT
Tài liệu giáo viên
Sách
Khóa học
Thi online
Hỏi đáp

