20 bài tập trắc nghiệm Động lực học chất điểm (có đáp án - phần 2)
Với bài tập trắc nghiệm Động lực học chất điểm lớp 10 có đáp án chi tiết với câu hỏi & bài tập đầy đủ các mức độ nhận biết, thông hiểu, vận dụng giúp học sinh ôn tập trắc nghiệm Vật Lí 10.
20 bài tập trắc nghiệm Động lực học chất điểm (có đáp án - phần 2)
(199k) Học Vật Lí 10 KNTTHọc Vật Lí 10 CDHọc Vật Lí 10 CTST
Câu 11: Biết sao Hỏa có bán kính bằng 0,53 bán kính Trái Đất và có khối lượng bằng 0,1 lần khối lượng Trái Đất. Một vật có gia tốc rơi tự do ở trên mặt đất là 9,8 m/s2, nếu vật này rơi tự do trên sao hỏa thì gia tốc rơi là
A. 3,5 m/s2.
B. 7,0 m/s2.
C. 2,8 m/s2.
D. 3,25 m/s2.
Chọn A
Câu 12: Một đoàn tàu hỏa gồm đầu máy nối với hai toa xe A khối lượng 40 tấn rồi nối tiếp với toa xe B có khối lượng 20 tấn bằng hai lò xo giống nhau, có độ cứng 150000 N/m. Sau khi khởi hành 1 phút thì đoàn tàu đạt vận tốc 32,4 km/h. Độ giãn của các lò xo khi đó là
A. 4 cm và 8 cm.
B. 6 cm và 4 cm.
C. 6 cm và 2 cm.
D. 4 cm và 2 cm.
Chọn C.
Ban đầu tàu có vận tốc v0 = 0,sau t = 1 phút = 60s, tàu đạt vận tốc v = 32,4 km/h = 9 m/s.
Gia tốc của đoàn tàu:
Lực gây ra gia tốc cho hai toa tàu là lực đàn hồi của lò xo nối toa thứ nhất với toa thứ hai nên lò xo này dãn một đoạn:
Lực gây ra gia tốc cho toa tàu thứ 2 là lực đàn hồi của lò xo nối toa thứ nhất với toa thứ hai nên lò xo này dãn một đoạn:
Câu 13: Một ô tô có khối lượng 1200 kg, đang đứng yên bắt đầu chịu tác dụng của lực kéo động cơ theo phương song song với mặt đường nằm ngang thì chuyển động nhanh dần và sau 30 s, vận tốc của ô tô đạt 30 m/s. Cho hệ số ma sát của xe là 0,2. Lấy g = 10 m/s2. Độ lớn lực kéo của động cơ là
A. 1200 N.
B. 2400 N.
C. 4800 N.
D. 3600 N.
Chọn D.
Gia tốc của ôtô là: a = (v – v0)/t = (30 – 0)/30 = 1 m/s2.
Áp dụng định luật II Niu-tơn ta được:
F = ma + μmg = 1200(1 + 0,2.10) = 3600 N.
Câu 14: Vòng xiếc là một vành tròn bán kính R = 15 m, nằm trong mặt phẳng thẳng đứng. Một người đi xe đạp trong vòng xiếc này, khối lượng cả xe và người là 100kg. Lấy g = 10 m/s2. Biết tại điểm cao nhất, tốc độ của xe là v =15 m/s. Lực ép của xe lên vòng xiếc tại điểm thấp nhất gần nhất với giá trị nào sau đây?
A. 2100 N.
B. 2800 N.
C. 3000 N.
D. 2450 N.
Chọn D.
Hợp lực của áp lực và trọng lực đóng vai trò lực hướng tâm:
Fht→ = P→ + N→
Khi ở điểm thấp nhất, áp lực hướng lên và ngược chiều trọng lực.
Chọn chiều dương hướng về tâm quay nên ta có: Fht = -P + N
Câu 15: Từ vị trí A, một vật được ném ngang với tốc độ v0 = 2 m/s. Sau d dó 1s, tại vị trí B có cùng độ cao với A người ta ném thẳng đứng một vật xuống dưới với tốc độ ban đầu v’0. Biết AB = 6 m và hai vật gặp nhau trong quá trình chuyển động. Lấy g = 10 m/s2. Vận tốc v’0 gần nhất với giá trị nào sau đây?
A. 15 m/s.
B. 10 m/s.
C. 12 m/s.
D. 9 m/s.
Chọn C.
Chọn hệ trục tọa độ Oxy gắn với chuyển động, O trùng A; chiều dương trục Ox hướng từ A đến B; Chiều dương Oy hướng thẳng đứng từ trên xuống.
Chọn gốc thời gian là lúc ném vật từ A.
Câu 16: Một đèn tín hiệu giao thông được treo tại chính giữa một dây nằm ngang làm dây bị võng xuống. Biết trọng lượng đèn là 100N và góc giữa hai nhánh dây là 1500. Tìm lực căng của mỗi nhánh dây.
A. 386,4N.
B. 193,2N.
C. 173,2N.
D. 200N.
Chọn B
Điều kiện cân bằng của điểm treo O:
T1→ + T2→ + P→ = 0 → T1→ + T2→ = -P→
Do đối xứng nên T1 = T2 = T. Từ hình vẽ ta có:
Câu 17: Người ta treo một cái đèn trọng lượng P = 3N vào một giá đỡ gồm hai thanh cứng nhẹ AB và AC như hình vẽ. Biết rằng α = 60° và g = 10m/s2. Hãy xác định lực độ lớn lực mà đèn tác dụng lên thanh A
B.
A. 5,2 N.
B. 1,7 N.
C. 2,6 N.
D. 1,5 N.
Chọn A.
Câu 18: Một vật có trọng lượng 60N được treo vào vòng nhẫn nhẹ O (coi là chất điểm). Vòng nhẫn được giữ bằng hai dây nhẹ OA và OB. Biết OA nằm ngang còn OB hợp với phương thẳng đứng góc 45° (hình vẽ). Tìm lực căng của dây OA và OB.
Chọn A.
Các lực tác dụng vào điểm treo O như hình vẽ.
Góc α là góc giữa OP và OB, α = 45°
Câu 19: Cho hai vật được nối với nhau như hình vẽ. Vật A có khối lượng m1 = 2kg, vật B có khối lượng m2 = 1kg. Các sợi dây có khối lượng không đáng kể, không dãn. Hệ được kéo lên bằng lực F→ có độ lớn 36 N. Lấy g = 10m/s2. Tính gia tốc của mỗi vật và lực căng của dây nối hai vật.
A. 24 N.
B. 18 N.
C. 12 N.
D. 6 N.
Chọn C.
Các lực tác dụng lên hai vật như hình vẽ:
Do dây nhẹ, không dãn nên T1 = T2 = T; a1 = a2 = a
Chọn chiều dương hướng lên.
Áp dụng đinh luật II Niu-tơn cho từng vật:
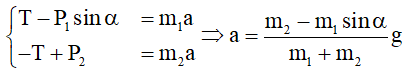
Câu 20: Cho cơ hệ như hình vẽ:
Mặt phẳng nghiêng cố định, nghiêng góc α so với phương ngang. Hai chất điểm khối lượng m1, m2 được nối với nhau bởi dây nhẹ, không giãn vắt qua ròng rọc nhẹ có kích thước không đáng kể. Biết rằng m2 > m1sinα, bỏ qua mọi ma sát, cho gia tốc trọng trường là g. Thả hai vật tự do. Tìm gia tốc của mỗi vật.
Chọn A.
- Lực tác dụng lên mỗi vật như hình vẽ.
Do m2 > m1sinα nên m2 sẽ đi xuống.
- Áp dụng định luật II Niu-tơn cho mỗi vật:
Do dây nhẹ, không dãn, ròng rọc không có khối lượng nên:
T1 = T2 = T; a = a1 = a2.
- Chiếu các phương trình véctơ lên phương chuyển động của mỗi vật ta có:
(199k) Học Vật Lí 10 KNTTHọc Vật Lí 10 CDHọc Vật Lí 10 CTST
Xem thêm các Bài tập trắc nghiệm Vật Lí lớp 10 có đáp án hay khác:
- 20 bài tập trắc nghiệm Động lực học chất điểm (có đáp án)
- 15 bài tập trắc nghiệm Cân bằng của một vật chịu tác dụng của hai lực và của ba lực không song song (có đáp án)
- 30 bài tập trắc nghiệm Cân bằng của một vật có trục quay cố định; Momen lực (có đáp án)
- 30 bài tập trắc nghiệm Cân bằng của một vật có trục quay cố định; Momen lực (có đáp án - phần 2)
- 17 bài tập trắc nghiệm Quy tắc hợp lực song song cùng chiều (có đáp án)
Để học tốt lớp 10 các môn học sách mới:
- Giải bài tập Lớp 10 Kết nối tri thức
- Giải bài tập Lớp 10 Chân trời sáng tạo
- Giải bài tập Lớp 10 Cánh diều
Tủ sách VIETJACK shopee lớp 10-11 (cả 3 bộ sách):
Đã có app VietJack trên điện thoại, giải bài tập SGK, SBT Soạn văn, Văn mẫu, Thi online, Bài giảng....miễn phí. Tải ngay ứng dụng trên Android và iOS.
Theo dõi chúng tôi miễn phí trên mạng xã hội facebook và youtube:Nếu thấy hay, hãy động viên và chia sẻ nhé! Các bình luận không phù hợp với nội quy bình luận trang web sẽ bị cấm bình luận vĩnh viễn.
- Giải Tiếng Anh 10 Global Success
- Giải Tiếng Anh 10 Friends Global
- Giải sgk Tiếng Anh 10 iLearn Smart World
- Giải sgk Tiếng Anh 10 Explore New Worlds
- Lớp 10 - Kết nối tri thức
- Soạn văn 10 (hay nhất) - KNTT
- Soạn văn 10 (ngắn nhất) - KNTT
- Soạn văn 10 (siêu ngắn) - KNTT
- Giải sgk Toán 10 - KNTT
- Giải sgk Vật lí 10 - KNTT
- Giải sgk Hóa học 10 - KNTT
- Giải sgk Sinh học 10 - KNTT
- Giải sgk Địa lí 10 - KNTT
- Giải sgk Lịch sử 10 - KNTT
- Giải sgk Kinh tế và Pháp luật 10 - KNTT
- Giải sgk Tin học 10 - KNTT
- Giải sgk Công nghệ 10 - KNTT
- Giải sgk Hoạt động trải nghiệm 10 - KNTT
- Giải sgk Giáo dục quốc phòng 10 - KNTT
- Lớp 10 - Chân trời sáng tạo
- Soạn văn 10 (hay nhất) - CTST
- Soạn văn 10 (ngắn nhất) - CTST
- Soạn văn 10 (siêu ngắn) - CTST
- Giải Toán 10 - CTST
- Giải sgk Vật lí 10 - CTST
- Giải sgk Hóa học 10 - CTST
- Giải sgk Sinh học 10 - CTST
- Giải sgk Địa lí 10 - CTST
- Giải sgk Lịch sử 10 - CTST
- Giải sgk Kinh tế và Pháp luật 10 - CTST
- Giải sgk Hoạt động trải nghiệm 10 - CTST
- Lớp 10 - Cánh diều
- Soạn văn 10 (hay nhất) - Cánh diều
- Soạn văn 10 (ngắn nhất) - Cánh diều
- Soạn văn 10 (siêu ngắn) - Cánh diều
- Giải sgk Toán 10 - Cánh diều
- Giải sgk Vật lí 10 - Cánh diều
- Giải sgk Hóa học 10 - Cánh diều
- Giải sgk Sinh học 10 - Cánh diều
- Giải sgk Địa lí 10 - Cánh diều
- Giải sgk Lịch sử 10 - Cánh diều
- Giải sgk Kinh tế và Pháp luật 10 - Cánh diều
- Giải sgk Tin học 10 - Cánh diều
- Giải sgk Công nghệ 10 - Cánh diều
- Giải sgk Hoạt động trải nghiệm 10 - Cánh diều
- Giải sgk Giáo dục quốc phòng 10 - Cánh diều


Giải bài tập SGK & SBT
Tài liệu giáo viên
Sách
Khóa học
Thi online
Hỏi đáp

