Trắc nghiệm Cơ năng (có lời giải)
Với bài tập trắc nghiệm Cơ năng lớp 10 có lời giải với bài tập đa dạng sẽ giúp học sinh ôn tập trắc nghiệm Vật Lí 10.
Trắc nghiệm Cơ năng (có lời giải)
(199k) Học Vật Lí 10 KNTTHọc Vật Lí 10 CDHọc Vật Lí 10 CTST
Lưu trữ: Trắc nghiệm Cơ năng (có lời giải) (sách cũ)
Bài 1: Một vật được ném xiên từ mặt đất với vận tốc ban đầu hợp với phương ngang một góc 30o và có độ lớn là 4 m/s. Lấy g = 10 m/s2, chọn gốc thế năng tại mặt đất, bỏ qua mọi lực cản. Độ cao cực đại của vật đạt tới là
A. 0,8 m.
B. 1,5 m.
C. 0,2 m.
D. 0,5 m.
Chọn C.
Tại vị trí có độ cao cực đại thì v2y = 0; v2x = v1cosα
Chọn mốc thế năng tại mặt đất.
Bỏ qua sức cản không khí nên cơ năng được bảo toàn: W1 = W2
Bài 2: Một vật ném được thẳng đứng xuống đất từ độ cao 5 m. Khi chạm đất vật nảy trở lên với độ cao 7 m. Bỏ qua mất mát năng lượng khi va chạm đất và sức cản môi trường. Lấy g = 10 m/s2. Vận tốc ném ban đầu có giá trị bằng
A. 2√10 m/s.
B. 2 m/s.
C. 5 m/s.
D. 5 m/s.
Chọn A.
Chọn mốc thế năng tại mặt đất.
Bỏ qua mất mát năng lượng khi va chạm đất và sức cản môi trường: W1 = W2
Bài 3: Một vật trượt không ma sát từ đỉnh một mặt phẳng nghiêng. Khi đi được 2/3 quãng đường theo mặt phẳng nghiêng tì tỉ số động năng và thế năng của vật bằng
A. 2/3.
B. 3/2.
C. 2.
D. 1/2.
Chọn C.
Chọn mốc thế năng tại chân mặt phẳng nghiêng.
Vật trượt không ma sát nên cơ năng được bảo toàn:
Bài 4: Một vật khối lượng 1 kg trượt không vận tốc đầu từ đỉnh A cao 20 m cảu một cái dốc xuống đến chân dốc. Vận tốc của vật tại chân dốc là 15 m/s. Lấy g = 10 m/s2. Độ lớn công của lực ma sát tác dụng lên vật khi vật trượt hết dốc
A. 87,5 J.
B. 25,0 J.
C. 112,5 J.
D. 100 J.
Chọn A.
Chọn mốc thế năng tại chân mặt phẳng nghiêng.
Do có ma sát giữa vật và mặt phẳng nghiêng nên
Bài 5: Một vật nhỏ bắt đầu trượt từ đỉnh một mặt phẳng nghiêng có chiều dài 2 m, nghiêng góc 30o so với phương ngang. Biết hệ số ma sát giữa vật và mặt phẳng nghiêng là 0,1. Lấy g = 10 m/s2. Tốc độ của vật khi đến chân mặt phẳng nghiêng là
A. 2,478 m/s.
B. 4,066 m/s.
C. 4,472 m/s.
D. 3,505 m/s.
Chọn B.
Chọn mốc thế năng tại chân mặt phẳng nghiêng.
Do có ma sát giữa vật và mặt phẳng nghiêng nên
Bài 6: Một viên bi thép có khối lượng 100 g được bắn thẳng đứng xuống đất từ độ cao 5 m với vận tốc ban đầu 5 m/s. Khi dừng lại viên bi ở sâu dưới mặt đất một khoảng 10 cm. Bỏ qua sức cản của không khí, lấy g = 10 m/s2. Lực tác dụng trung bình của đất lên viên bi là
A. 67,7 N.
B. 75,0 N.
C. 78,3 N.
D. 63,5 N.
Chọn D.
Chọn mốc thế năng tại mặt đất.
Ban đầu vật có động năng Wđ1 = 0,5mv2 và thế năng Wt1 = mgh1.
Do có lực cản của đất nên khi viên bi dừng lại sâu dưới mặt đất một khoảng d. Khi đó vật có động năng Wđ2 = 0 và thế năng trọng trường Wt2 = -mgd.
Áp dụng định lý biến thiên cơ năng ta có:
Bài 7: Một vật nhỏ được treo vào đầu dưới của một sợi dây mảnh, không dãn có chiều dài 2 m. Giữ cố định đầu trên của sợi dây, ban đầu kéo cho dây treo hợp với phương thẳng đứng góc 60o rồi truyền cho vật vận tốc bằng 2 m/s hướng về vị trí cân bằng. Bỏ qua sức cản môi trường, lấy g = 10 m/s2. Độ lớn vận tốc của vật khi đi qua vị trí cân bằng là
A. 3√2 m/s.
B. 3√3 m/s.
C. 2√6 m/s.
D. 2√5 m/s.
Chọn C.
Chọn mốc thế năng tại vị trí cân bằng của con lắc.
Bỏ qua sức cản môi trường, cơ năng của con lắc được bảo toàn: W1 = W2
Bài 8: Một vật được thả rơi tự do, trong quá trình rơi
A. động năng của vật không đổi.
B. thế năng của vật không đổi.
C. tổng động năng và thế năng của vật không thay đổi.
D. tổng động năng và thế năng của vật luôn thay đổi.
Chọn C.
Một vật được thả rơi tự do, trong quá trình rơi vận tốc và độ cao của vật thay đổi nên động năng và thế năng thay đổi, nhưng tổng động năng và thế năng của vật không thay đổi.
Bài 9: Một vận động viên trượt tuyết từ trên vách núi trượt xuống, tốc độ trượt mỗi lúc một tăng. Như vậy đối với vận động viên
A. động năng tăng, thế năng tăng.
B. động năng tăng, thế năng giảm.
C. động năng không đổi, thế năng giảm.
D. động năng giảm, thế năng tăng.
Chọn B.
Một vận động viên trượt tuyết từ trên vách núi trượt xuống nên độ cao giảm và vận tốc tăng. Do đó động năng tăng, thế năng giảm.
Bài 10: Trong quá trình dao động của một con lắc đơn thì tại vị trí cân bằng
A. động năng đạt giá trị cực đại.
B. thế năng đạt giá trị cực đại.
C. cơ năng bằng không.
D. thế năng bằng động năng.
Chọn A.
Trong quá trình dao động của một con lắc đơn thì tại vị trí cân bằng con lắc đơn có tọa độ cao thấp nhất do vậy thế năng nhỏ nhất, động năng lớn nhất.
Bài 11: Khi thả một vật trượt không vận tốc đầu trên mặt phẳng nghiêng có ma sát
A. cơ năng của vật bằng giá trị cực đại của động năng.
B. độ biến thiên động năng bằng công của lực ma sát.
C. độ giảm thế năng bằng công của trọng lực.
D. độ giảm thế năng bằng độ tăng động năng.
Chọn C.
Khi thả một vật trượt không vận tốc đầu trên mặt phẳng nghiêng có ma sát thế năng giảm do trọng lực sinh công. Do đó độ giảm thế năng bằng công của trọng lực.
Bài 12: Một vật được thả rơi tự do từ độ cao 3 m. Độ cao vật khi động năng bằn hai lần thế năng là
A. 1,5 m.
B. 1,2 m.
C. 2,4 m.
D. 1,0 m.
D
Chọn mốc thế năng tại mặt đất.
Vật rơi tự do nên cơ năng được bảo toàn: W1 = W2
⇒ W1 = Wđ2 + Wt2 = 2Wt2+Wt2⇒ h2=h/3 = 1 m.
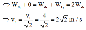
Bài 13: Một vật được ném thẳng đứng lên cao từ mặt đất với vận tốc đầu 4 m/s. Bỏ qua sức cản không khí. Tốc độ của vật khi có động năng bằng thế năng là
A. 2√2 m/s.
B. 2 m/s.
C. √2 m/s.
D. 1 m/s.
Chọn A.
Chọn mốc thế năng tại mặt đất.
Bỏ qua sức cản không khí nên cơ năng được bảo toàn: W1 = W2
Bài 14: Một vật có khối lượng 1 kg, được ném lên thẳng đứng tại một vị trí cách mặt đất 2 m, với vận tốc ban đầu vo = 2 m/s. Bỏ qua sức cản không khí. Lấy g = 10 m/s2. Nếu chọn gốc thế năng tại mặt đất thì cơ năng của vật tại mặt đất bằng
A. 4,5 J.
B. 12 J.
C. 24 J.
D. 22 J.
Chọn D.
Bỏ qua sức cản không khí nên cơ năng được bảo toàn
Bài 15: Một vật được ném từ độ cao 15 m với vận tốc 10 m/s. Bỏ qua sức cản không khí. Lấy g = 10 m/s2. Tốc độ của vật khi chạm đất là
A. 10√2 m/s.
B. 20 m/s.
C. √2 m/s.
D. 40 m/s.
Chọn B.
Chọn mốc thế năng tại mặt đất.
Bỏ qua sức cản không khí nên cơ năng được bảo toàn: W1 = W2
(199k) Học Vật Lí 10 KNTTHọc Vật Lí 10 CDHọc Vật Lí 10 CTST
Xem thêm các Bài tập trắc nghiệm Vật Lí lớp 10 có đáp án hay khác:
- Bài tập ôn tập Các định luật bảo toàn (có lời giải)
- Bài tập ôn tập Các định luật bảo toàn (có lời giải - phần 2)
- Trắc nghiệm Cấu tạo chất; Thuyết động học phân tử chất khí (có lời giải)
- Trắc nghiệm Quá trình đẳng nhiệt; Định luật Bôi-lơ - Ma-ri-ốt (có lời giải)
- Trắc nghiệm Quá trình đẳng tích; Định luật Sác-lơ (có lời giải)
Để học tốt lớp 10 các môn học sách mới:
- Giải bài tập Lớp 10 Kết nối tri thức
- Giải bài tập Lớp 10 Chân trời sáng tạo
- Giải bài tập Lớp 10 Cánh diều
Tủ sách VIETJACK shopee lớp 10-11 (cả 3 bộ sách):
Đã có app VietJack trên điện thoại, giải bài tập SGK, SBT Soạn văn, Văn mẫu, Thi online, Bài giảng....miễn phí. Tải ngay ứng dụng trên Android và iOS.
Theo dõi chúng tôi miễn phí trên mạng xã hội facebook và youtube:Nếu thấy hay, hãy động viên và chia sẻ nhé! Các bình luận không phù hợp với nội quy bình luận trang web sẽ bị cấm bình luận vĩnh viễn.
- Giải Tiếng Anh 10 Global Success
- Giải Tiếng Anh 10 Friends Global
- Giải sgk Tiếng Anh 10 iLearn Smart World
- Giải sgk Tiếng Anh 10 Explore New Worlds
- Lớp 10 - Kết nối tri thức
- Soạn văn 10 (hay nhất) - KNTT
- Soạn văn 10 (ngắn nhất) - KNTT
- Soạn văn 10 (siêu ngắn) - KNTT
- Giải sgk Toán 10 - KNTT
- Giải sgk Vật lí 10 - KNTT
- Giải sgk Hóa học 10 - KNTT
- Giải sgk Sinh học 10 - KNTT
- Giải sgk Địa lí 10 - KNTT
- Giải sgk Lịch sử 10 - KNTT
- Giải sgk Kinh tế và Pháp luật 10 - KNTT
- Giải sgk Tin học 10 - KNTT
- Giải sgk Công nghệ 10 - KNTT
- Giải sgk Hoạt động trải nghiệm 10 - KNTT
- Giải sgk Giáo dục quốc phòng 10 - KNTT
- Lớp 10 - Chân trời sáng tạo
- Soạn văn 10 (hay nhất) - CTST
- Soạn văn 10 (ngắn nhất) - CTST
- Soạn văn 10 (siêu ngắn) - CTST
- Giải Toán 10 - CTST
- Giải sgk Vật lí 10 - CTST
- Giải sgk Hóa học 10 - CTST
- Giải sgk Sinh học 10 - CTST
- Giải sgk Địa lí 10 - CTST
- Giải sgk Lịch sử 10 - CTST
- Giải sgk Kinh tế và Pháp luật 10 - CTST
- Giải sgk Hoạt động trải nghiệm 10 - CTST
- Lớp 10 - Cánh diều
- Soạn văn 10 (hay nhất) - Cánh diều
- Soạn văn 10 (ngắn nhất) - Cánh diều
- Soạn văn 10 (siêu ngắn) - Cánh diều
- Giải sgk Toán 10 - Cánh diều
- Giải sgk Vật lí 10 - Cánh diều
- Giải sgk Hóa học 10 - Cánh diều
- Giải sgk Sinh học 10 - Cánh diều
- Giải sgk Địa lí 10 - Cánh diều
- Giải sgk Lịch sử 10 - Cánh diều
- Giải sgk Kinh tế và Pháp luật 10 - Cánh diều
- Giải sgk Tin học 10 - Cánh diều
- Giải sgk Công nghệ 10 - Cánh diều
- Giải sgk Hoạt động trải nghiệm 10 - Cánh diều
- Giải sgk Giáo dục quốc phòng 10 - Cánh diều


Giải bài tập SGK & SBT
Tài liệu giáo viên
Sách
Khóa học
Thi online
Hỏi đáp

