Trắc nghiệm Sự rơi tự do (có lời giải)
Với bài tập trắc nghiệm Sự rơi tự do lớp 10 có lời giải với bài tập đa dạng sẽ giúp học sinh ôn tập trắc nghiệm Vật Lí 10.
Trắc nghiệm Sự rơi tự do (có lời giải)
(199k) Học Vật Lí 10 KNTTHọc Vật Lí 10 CDHọc Vật Lí 10 CTST
Bài tập trắc nghiệm Vật Lí 10 Bài 4 (sách mới):
(Kết nối tri thức) Trắc nghiệm Vật Lí 10 Bài 4: Độ dịch chuyển và quãng đường đi được
(Chân trời sáng tạo) Trắc nghiệm Vật Lí 10 Bài 4: Chuyển động thẳng
(Cánh diều) Trắc nghiệm Vật Lí 10 Bài 4: Chuyển động biến đổi
(Cánh diều) Trắc nghiệm Vật Lí 10 Bài 4: Khối lượng riêng. Áp suất chất lỏng
Lưu trữ: Trắc nghiệm Sự rơi tự do (có lời giải) (sách cũ)
Bài 1: Một viên đá được thả từ một khí cầu đang bay lên theo phương thẳng đứng với vận tốc 5 m/s, ở độ cao 300 m. Viên đá chạm đất sau khoảng thời gian
A. 8,35 s.
B. 7,8 s.
C. 7,3 s
D. 1,5 s.
Chọn 6: A.
Chọn trục tọa độ Ox theo phương thẳng đứng, chiều dương hướng lên trên, gốc tại vị trí thả viên đá, gốc thời gian t = 0 là lúc thả đá.
Khí cầu đang bay lên với vận tốc 5m/s nên ban đầu hòn đá có vận tốc v0 = 5m/s
Phương trình chuyển động của hòn đá:
Với v0 = 5 m/s, a = - g = 9,8 m/s2, x0 = 0 nên x = 5t – 4,9t2 (m)
Khi chạm đất: x = -300 m, ta có: 4,9t2 - 5t – 300 = 0
Giải phương trình lấy nghiệm dương => t = 8,35 s.
Bài 2: Một vật rơi từ độ cao 10 m so với một sàn thang máy đang nâng đều lên với vận tốc 0,5 m/s để hứng vật. Trong khi vật rơi để chạm sàn, sàn đã được nâng lên một đoạn bằng (g = 10 m/s2).
A. 0,71 m.
B. 0,48 m.
C. 0,35 m.
D. 0,15 m.
Chọn 7: B.
Ban đầu vật có vận tốc v01 = 0; sàn có v02 = 0.
Quãng đường vật rơi được sau thời gian t giây là: h1 = 0,5g.t2 = 5t2 (m)
Khi đó sàn đi lên được một quãng đường là: h2 = 0,5.a.t2 = 0,25t2 (m).
Sàn và vật chuyển động ngược chiều nhau nên khi vật chạm sàn ta có:
h1 + h2 = 10 (m) ⟹ 5.t2 + 0,25t2 = 10 ⟹ t = 1,38 s.
Suy ra sàn đã được nâng lên một đoạn bằng: h2 = 0,48 m.
Bài 3: Một vật nhỏ rơi tự do từ các độ cao h=80 m so với mặt đất. Lấy gia tốc rơi tự do g = 10 m/s2. Quãng đường vật đi được trong 1 giây cuối cùng trước khi chạm đất là
A. 0,71 m.
B. 0,48 m.
C. 0,35 m.
D. 0,15 m.
Chọn 8: B.
Thời gian vật rơi hết quãng đường S = h = 80 m là: t = = 4 s
=> Quãng đường vật đi được trong 1 giây cuối cùng trước khi chạm đất là:
Bài 4: Hai chất điểm rơi tự do từ các độ cao h1, h2. Coi gia tốc rơi tự do của chúng là như nhau. Biết vận tốc tương ứng của chúng khi chạm đất là v1 = 3v2 thì tỉ số giữa hai độ cao tương ứng là
A. h1 = (1/9)h2.
B. h1 = (1/3)h2.
C. h1 = 9h2.
D. h1 = 3h2.
Chọn 9: C.
Vận tốc của các chất điểm khi chạm đất lần lượt là:
Bài 5: Một vật rơi tự do tại nơi có g =10 m/s2. Trong 2 giây cuối vật rơi được 180 m. Thời gian rơi của vật là
A. 6 s.
B. 8 s.
C. 10 s.
D. 12 s.
Chọn 10: C.
Chọn gốc thời gian là lúc vật bắt đầu rơi. Vật chạm đất sau thời gian t giây, khi đó quãng đường vật rơi được là: h = 0,5.g.t2 (m)
Quãng đường vật rơi được trong khoảng thời gian t1 = t – 2 (s) là:
h1 = 0,5.g.(t – 2)2 (m).
Trong 2 giây cuối vật rơi được 180 m nên ta có: h – h1 = 180m.
⟹ 0,5.g.t2 - 0,5.g.(t – 2)2 = 180
⟺ 20.t – 20 = 180 ⟺ t = 10 s.
Bài 6: Câu nào sau đây nói về sự rơi là đúng?
A. Khi không có sức cản, vật nặng rơi nhanh hơn vật nhẹ.
B. Ở cùng một nơi, mọi vật rơi tự do có cùng gia tốc
C. Khi rơi tự do, vật nào ở độ cao hơn sẽ rơi với gia tốc lớn hơn.
D. Vận tốc của vật chạm đất, không phụ thuộc vào độ cao của vật khi rơi.
Chọn 1: B.
- Gia tốc rơi tự do g→ không phụ thuộc khối lượng của vật, chỉ phụ thuộc vĩ độ địa lí, độ cao và cấu trúc địa chất nơi đo nó nên ở cùng một nơi, mọi vật rơi tự do có cùng gia tốc.
Bài 7: Chuyển động của vật nào dưới đây có thể coi như chuyển động rơi tự do?
A. Một vận động viên nhảy dù đang rơi khi dù đã mở.
B. Một viên gạch rơi từ độ cao 3 m xuống đất.
C. Một chiếc thang máy đang chuyển động đi xuống.
D. Một chiếc lá đang rơi.
Chọn 2: B.
- Khi không có lực cản của không khí, các vật có hình dạng và khối lượng khác nhau đều rơi như nhau, ta bảo rằng chúng rơi tự do. Do đó sự rơi tự do là sự rơi của một vật chỉ chịu tác dụng của trọng lực.
- Một vận động viên nhảy dù đang rơi khi dù đã mở, một chiếc lá đang rơi thì chịu thêm lực cản của không khí, do đó không được coi là rơi tự do.
- Một chiếc thang máy đang chuyển động đi xuống chịu tác dụng của trọng lực và lực kéo của dây treo thang máy nên không được coi là rơi tự do.
- Một viên gạch rơi từ độ cao 3 m xuống đất thì lực cản của không khí là rất nhỏ so với trọng lực nên có thể coi như vật rơi tự do.
Bài 8: Một vật rơi thẳng đứng từ độ cao 19,6 m với vận tốc ban đầu bang 0 (bỏ qua sức cản không khí, lấy g = 9,8 m/s2). Thời gian vật đi được 1 m cuối cùng bằng
A. 0,05 s.
B. 0,45 s.
C. 1,95 s.
D. 2 s.
Chọn 3: A.
Thời gian vật rơi hết quãng đường h = 19,6 m là:
Thời gian đi được quãng đường đầu tiên h1 = 19,6 – 1 = 18,6 m là:
Thời gian đi được 1 m cuối cùng là: t2 = t – t1 = 0,05 s.
Bài 9: Trong suốt giây cuối cùng, một vật rơi tự do đi được một đoạn đường bằng nửa độ cao toàn phần h kể từ vị trí ban đầu của vật. Độ cao h đo (lấy g = 9,8 m/s2) bằng
A. 9,8 m.
B. 19,6 m.
C. 29,4 m.
D. 57,1 m.
Chọn 4: D.
Quãng đường vật rơi được sau thời gian t giây là: h = 0,5g.t2
Quãng đường vật rơi được sau thời gian t - 1 giây là: h1 = 0,5g.(t – 1)2.
Suy ra quãng đường vật rơi được trong 1 giây cuối là:
Vì h2 = h/2 => h = 2gt – g, với t =
Giải phương trình ta được h = 57,1 m (loại nghiệm h = 1,68m < 4,9 m, do quãng đường rơi trong 1 giây luôn > 0,5.g = 4,9m).
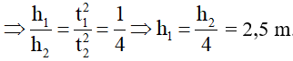
Bài 10: Hai vật ở độ cao h1 và h2 = 10 m, cùng rơi tự do với vận tốc ban đầu bằng 0. Thời gian rơi của vật thứ nhất bằng nửa thời gian rơi của vật thứ hai. Độ cao h1 bằng
A. 10√2 m.
B. 40 m.
C. 20 m.
D. 2,5 m.
Chọn 5: D.
Ta có: h1 = 0,5g.t12; h2 = 0,5g.t22
Vì t1 = 0,5t2
(199k) Học Vật Lí 10 KNTTHọc Vật Lí 10 CDHọc Vật Lí 10 CTST
Xem thêm các Bài tập trắc nghiệm Vật Lí lớp 10 có đáp án hay khác:
- Trắc nghiệm Sự rơi tự do (có lời giải - phần 2)
- Trắc nghiệm Chuyển động tròn đều (có lời giải)
- Trắc nghiệm Chuyển động tròn đều (có lời giải - phần 2)
- Trắc nghiệm Tính tương đối của chuyển động; Công thức cộng vận tốc (có lời giải)
- Trắc nghiệm Tính tương đối của chuyển động; Công thức cộng vận tốc (có lời giải - phần 2)
Để học tốt lớp 10 các môn học sách mới:
- Giải bài tập Lớp 10 Kết nối tri thức
- Giải bài tập Lớp 10 Chân trời sáng tạo
- Giải bài tập Lớp 10 Cánh diều
Tủ sách VIETJACK shopee lớp 10-11 (cả 3 bộ sách):
Đã có app VietJack trên điện thoại, giải bài tập SGK, SBT Soạn văn, Văn mẫu, Thi online, Bài giảng....miễn phí. Tải ngay ứng dụng trên Android và iOS.
Theo dõi chúng tôi miễn phí trên mạng xã hội facebook và youtube:Nếu thấy hay, hãy động viên và chia sẻ nhé! Các bình luận không phù hợp với nội quy bình luận trang web sẽ bị cấm bình luận vĩnh viễn.
- Giải Tiếng Anh 10 Global Success
- Giải Tiếng Anh 10 Friends Global
- Giải sgk Tiếng Anh 10 iLearn Smart World
- Giải sgk Tiếng Anh 10 Explore New Worlds
- Lớp 10 - Kết nối tri thức
- Soạn văn 10 (hay nhất) - KNTT
- Soạn văn 10 (ngắn nhất) - KNTT
- Soạn văn 10 (siêu ngắn) - KNTT
- Giải sgk Toán 10 - KNTT
- Giải sgk Vật lí 10 - KNTT
- Giải sgk Hóa học 10 - KNTT
- Giải sgk Sinh học 10 - KNTT
- Giải sgk Địa lí 10 - KNTT
- Giải sgk Lịch sử 10 - KNTT
- Giải sgk Kinh tế và Pháp luật 10 - KNTT
- Giải sgk Tin học 10 - KNTT
- Giải sgk Công nghệ 10 - KNTT
- Giải sgk Hoạt động trải nghiệm 10 - KNTT
- Giải sgk Giáo dục quốc phòng 10 - KNTT
- Lớp 10 - Chân trời sáng tạo
- Soạn văn 10 (hay nhất) - CTST
- Soạn văn 10 (ngắn nhất) - CTST
- Soạn văn 10 (siêu ngắn) - CTST
- Giải Toán 10 - CTST
- Giải sgk Vật lí 10 - CTST
- Giải sgk Hóa học 10 - CTST
- Giải sgk Sinh học 10 - CTST
- Giải sgk Địa lí 10 - CTST
- Giải sgk Lịch sử 10 - CTST
- Giải sgk Kinh tế và Pháp luật 10 - CTST
- Giải sgk Hoạt động trải nghiệm 10 - CTST
- Lớp 10 - Cánh diều
- Soạn văn 10 (hay nhất) - Cánh diều
- Soạn văn 10 (ngắn nhất) - Cánh diều
- Soạn văn 10 (siêu ngắn) - Cánh diều
- Giải sgk Toán 10 - Cánh diều
- Giải sgk Vật lí 10 - Cánh diều
- Giải sgk Hóa học 10 - Cánh diều
- Giải sgk Sinh học 10 - Cánh diều
- Giải sgk Địa lí 10 - Cánh diều
- Giải sgk Lịch sử 10 - Cánh diều
- Giải sgk Kinh tế và Pháp luật 10 - Cánh diều
- Giải sgk Tin học 10 - Cánh diều
- Giải sgk Công nghệ 10 - Cánh diều
- Giải sgk Hoạt động trải nghiệm 10 - Cánh diều
- Giải sgk Giáo dục quốc phòng 10 - Cánh diều


Giải bài tập SGK & SBT
Tài liệu giáo viên
Sách
Khóa học
Thi online
Hỏi đáp

