20 bài tập trắc nghiệm Điện trường và cường độ điện trường (có đáp án)
Với 20 bài tập & câu hỏi trắc nghiệm Điện trường và cường độ điện trường lớp 11 có đáp án và lời giải chi tiết đầy đủ các mức độ nhận biết, thông hiểu, vận dụng sẽ giúp học sinh ôn trắc nghiệm Vật Lí 11.
20 bài tập trắc nghiệm Điện trường và cường độ điện trường (có đáp án)
(199k) Học Vật Lí 11 KNTTHọc Vật Lí 11 CDHọc Vật Lí 11 CTST
Câu 1. Tìm phát biểu sai về điện trường
A. Điện trường tồn tại xung quanh điện tích
B. Điện trường tác dụng lực điện lên các điện tích khác đặt trong nó
C. Điện trường của điện tích Q ở các điểm càng xa Q càng yếu
D. Xung quanh một hệ hai điện tích điểm đặt gần nhau chỉ có điện trường do một điện tích gây ra.
Đáp án: D
Điện trường là môi trường (dạng vật chất) bao quanh điện tích và gắn liền với Điện tích; Điện trường tác dụng lực điện lên điện tích khác đặt trong nó.
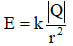
Độ lớn của cường độ điện trường của một điện tích điểm Q gây ra tại điểm cách nó một khoảng:
Do vậy điện trường của điện tích Q ở các điểm càng xa Q càng yếu.
Xung quanh một hệ hai điện tích điểm đặt gần nhau luôn có điện trường do cả hai điện tích gây ra.
Câu 2. Các hình vẽ 3.1 biểu diễn véctơ cường độ điện trường tại điểm M trong điện trường của điện tích Q. Chỉ ra các hình vẽ sai:
A. I và II
B. III và IV
C. II và IV
D. I và IV
Đáp án: A
Cường độ điện trường do điện tích Q gây ta tại điểm cách nó một khoảng r.
+ Điểm đặt: tại điểm đang xét.
+ Phương là đường nối điện tích Q đến điểm đang xét.
+ Chiều: hướng về Q nếu Q < 0, hướng ta xa Q nếu Q > 0.
+ Độ lớn
Câu 3. Tìm phát biểu sai. Vecto cường độ điện trường F→tại một điểm
A. cùng Phương, cùng chiều với lực điện F→tác dụng lên điện tích thử q dương đặt tại điểm đó
B. cùng Phương, ngược chiều với lực điện F→tác dụng lên điện tích điểm q âm đặt tại điểm đó
C. chiều dài biểu diễn độ lớn của cường độ điện trường theo một tỉ xích nào đó
D. cùng Phương, cùng chiều với lực điện F→tác dụng lên điện tích điểm q đặt tại điểm đó.
Đáp án: D
+ Cường độ điện trường E là đại lượng vectơ, gọi là vectơ cường độ điện trường (hay gọi tắt là vectơ điện trường).
+ Vectơ điện trường E→ tại một điểm có:
- Phương và chiều của lực tác dụng lên điện tích thử dương đặt tại điểm đó.
Cùng chiều với F→ nếu q > 0, ngược chiều với F→ nếu q < 0.
- Chiều dài (Môđun) biểu diễn độ lớn của cường độ điện trường theo một tỉ xích nào đó.
- Không phụ thuộc độ lớn của điện tích thử q.
Câu 4. Một điện tích điểm q = -2,5.10-7C đặt tại điểm M trong điện trường, chịu tác dụng của lực điện trường có độ lớn 6,2.10-2N. Cường độ điện trường tại M là:
A. 2,4.105 V/m
B. -2,4.105V/M
C. 15.10-9V/m
D. -15.10-9V/m
Đáp án: A
Ta có:
(q là điện tích thử dương) ⇒ E = 2,4.105V/m.
Câu 5. Kết luận nào sau đây là sai?
A. Đường sức điện trường là những đường có hướng
B. Đường sức điện đi ra từ điện tích dương và kết thúc là điện tích âm
C. Đường sức điện của điện trường tĩnh điện là đường khép kín
D. Qua mỗi điểm trong điện trường chỉ có một đường sức điện
Đáp án: C
Đường sức điện là đường mà tiếp tuyến tại mỗi điểm của nó là giá của một vectơ điện trường E→ tại điểm đó, chiều của đường sức điện là chiều của vectơ điện trường tại điểm đó.
* Các đặc điểm của đường sức điện trường.
- Qua mỗi điểm trong điện trường có một và chỉ một đường sức điện.
- Đường sức điện là những đường có hướng. Hướng của đường sức điện tại một điểm là hướng của vectơ điện trường tại điểm đó.
- Đường sức điện của trường tĩnh điện là đường không khép kín. Nó đi ra từ điện tích dương và kết thúc ở điện tích âm, hoặc từ một điện tích ra vô cùng.
- Ở chỗ cường độ điện trường lớn thì các đường sức điện sẽ mau. Còn chỗ cường độ điện trường nhỏ thì các đường sức điện sẽ thưa.
Câu 6. Cường độ điện trường của điện tích điểm Q tại một điểm cách nó một khoảng r trong điện môi đồng chất có hằng số điện môi ɛ có độ lớn là :
Đáp án: D
Cường độ điện trường do điện tích Q gây ta tại điểm cách nó một khoảng r trong điện môi đồng chất có hằng số điện môi ε:
+ Điểm đặt: tại điểm đang xét.
+ Phương là đường nối điện tích Q đến điểm đang xét.
+ Chiều: hướng về Q nếu Q < 0, hướng ta xa Q nếu Q > 0.
+ Độ lớn
Câu 7. Hai điểm tích điểm q1 = 2.10-8C ; q2 = 10-8C đặt tại hai điểm A,B trong không khí cách nhau 12cm. Cường độ điện trường tại điểm M có AM = 8cm ; BM = 4cm là
A. 28125 V/m
B. 21785 V/m
C.56250 V/m
D.17920 V/m
Đáp án: A
Điểm M nằm trong đoạn AB có cường độ điện trường tổng hợp
Vì q1 > 0 nên E1→ nằm trên đường AM chiều từ A đến M, q2 > 0 nên E2→ nằm trên đường BM chiều từ B đến M ⇒ E1→ và E2→ trên cùng một đường thẳng nhưng ngược chiều
Câu 8. Hai điện tích điểm q1=9.10-8C ; q2=-9.10-8C đặt tại hai điểm A,B trong không khí cách nhau 25cm. Cường độ điện trường tại điểm M có AM=15cm ; BM=20cm là
A. 36000 V/m
B. 413,04 V/m
C. 20250 V/m
D. 56250 V/m
Đáp án: B
Hai điện tích điểm q1 = 9.10-8C; q2 = -9.10-8C đặt tại hai điểm A, B trong không khí cách nhau 25cm.
Điểm M có AM = 15cm; BM = 20cm nên A, B, M nằm ở ba đỉnh của tam giác vuông tại M.
Cường độ điện trường tổng hợp tại M:
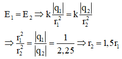
Câu 9. Điện tích điểm q1=10-6C đặt tại điểm A ; q2=-2,25.10-6C đặt tại điểm B trong không khí cách nhau 18cm. Điểm M trên đường thẳng qua A,B mà có điện trường tại M bằng 0 thỏa mãn ;
A. M nằm ngoài B và cách B 24cm
B. M nằm ngoài A và cách A 18cm
C. M nằm ngoài AB và cách B 12cm
D. M nằm ngoài A và cách A 36cm
Đáp án: D
Điểm M có cường độ điện trường tổng hợp
Vì q1 > 0; q2 < 0 nên M phải nằm ngoài A hoặc B
Suy ra, M phải nằm ngoài A sao cho r2 = 1,5r1 = r1 + AB.
⇒ r1 = 36cm (cách A 36cm).
Câu 10. Một hạt bụi khối lượng 10-4g mang điện tích q nằm cân bằng trong điện trường đều có vecto cường độ điện trường E→có Phương thẳng đứng, chiều từ trên xuống (E = 1600 V/m). Lấy g = 10m/s2. Điện tích của hạt bụi là
A. -1,6.10-6C
B.-6,25.10-7C
C.1,6.10-6C
D.6,25.10-7C
Đáp án: B
Hạt bụi nằm cân bằng trong điện trường đều do tác dụng của trọng lực và lực điện trường
Câu 11. Một quả cầu nhỏ khối lượng 2√3 g mang điện tích 10-5C được treo ở đầu một sợi chỉ tơ đặt trong điện trường đều có vecto cường độ điện trường E→ nằm ngang (E = 2000 V/m). Khi quả cầu nằm cân bằng, dây treo lệch với phương thẳng đứng góc α là
A.300
B.600
C.450
D.530
Đáp án: A
Quả cầu nằm cân bằng trong điện trường đều do tác dụng của trọng lực P→ , lực điện trường F→ và lực căng của dây treo T→ (hình vẽ)
Câu 12. Một electron bay trong điện trường đều giữa hai bản kim loại phẳng tích điện trái dấu từ bản âm sang bản dương. Khoảng cách giữa hai bản là 2cm.Cường độ điện trường đều là 9.104V/m. Electron có điện tích e=-1,6.10-19 C, khối lượng m=9,1.10-31 kg. vận tốc ban đầu của electron bằng 0.Thời gian bay của electron là:
A. 1,73.10-8s
B.1,58.10-9s
C.1,6.10-8s
D,1,73.10-9s
Đáp án: B
E→ có phương vuông góc với hai bản, có chiều từ dương sang bản âm
Lực điện F→ = qE→ cùng phương, ngược chiều E→ vì q = e < 0
Chọn gốc thời gian khi electron bắt đầu chuyển động, ta có:
Câu 13. Đặt bốn điện tích có cùng độ lớn q tại bốn đỉnh của một hình vuông ABCD cạnh a với điện tích dương đặt tại A, D, điện tích âm đặt tại B và C. Xác định cường độ điện trường tổng hợp tại giao điểm hai đường chéo của hình vuông.
Đáp án: A
+ Ta dễ thấy rằng các cường độ điện trường thành phần do các điện tích gây ra tại O chỉ khác nhau về chiều và có cùng độ lớn:
+ Mặc khác các cặp véctơ:
Về mặt độ lớn ta có:
Câu 14. Tại ba đỉnh A, B và C của một hình vuông, cạnh a đặt ba điện tích dương có cùng độ lớn q. Trong đó điện tích tại A và C là điện tích dương, còn điện tích tại B là điện tích âm. Xác định cường độ điện trường tổng hợp do ba điện tích gây ra tại điểm D.
Đáp án: C
+ Các điện tích tại các đỉnh A, B, C và D gây ra tại đỉnh D của hình vuông các véctơ cường độ điện trường EA→, EB→ và EC→ có phương chiều như hình vẽ và độ lớn:
+ Cường độ điện trường tổng hợp có độ lớn:
Câu 15. Tại ba đỉnh A, B và C của một hình vuông ABCD cạnh 6 cm trong chân không, đặt ba điện tích điểm q1 = q3 = 2.10-7C và q2 = -4.10-7 C. Xác định điện tích q4 đặt tại D để cường độ điện trường tổng hợp gây bởi hệ điện tích tại tâm O bằng 0.
A. -4.10-7C
B.3.10-7C
C.-2,5.10-7C
D.5.10-7C
Đáp án: A
+ Cường độ điện trường tổng hợp tại tâm O của hình vuông:
+ Trong đó E1→ , E2→ , E3→ , E4→ lần lượt là véctơ cường độ điện trường do các điện tích q1, q2, q3, q4 gây ra tại O.
+ Để cường độ điện trường tại O triệt tiêu thì EO→ = 0
+ Vì q1 = q3 và AO = CO nên:
Câu 16. Tại hai đỉnh A, B của một tam giác đều ABC cạnh a đặt hai điện tích điểm q1=q2=4.10-9C trong không khí. Hỏi phải đặt điện tích q3 có giá trị bao nhiêu tại C để cường độ điện trường gây ra bởi hệ ba điện tích tại trọng tâm G của tam giác bằng 0.
A. 2.5.10-8C
B. 3.10-9C
C. 4.10-9C
D,5.10-8C
Đáp án: C
+ Các điện tích tại các đỉnh A, B, C của tam giác ABC gây ra tại trọng tâm G của tam giác các véctơ cường độ điện trường EA→, EB→ và EC→ có phương chiều như hình vẽ và độ lớn.
Cường độ điện trường tổng hợp tại G:
+ Vì các véctơ cường độ điện trường lần lượt hợp nhau một góc 120º và EA = EB nên để E = 0 thì q1 = q2 = q3
Câu 17. Bốn điểm A, B, C và D trong không khí tạo thành một hình chữ nhật ABCD với AD = a = 3 cm, AB = b = 4 cm. Các điện tích q1, q2 và q3 lần lượt đặt tại A, B và C. Biết q2=-12,5.10-8 và cường độ điện trường tổng hợp tại D bằng 0. Tính q1 và q3
A. q1= 2,7.10-8C;q3= 6,4.10-8C
B. q1= 5,1.10-8C;q3= 6,4.10-8C
C. q1= 3,7.10-8C;q3= 3,4.10-8C
D. q1= 2,1.10-8C;q3= 3,4.10-8C
Đáp án: A
+ Véctơ cường độ điện trường tại D:
Theo giả thuyết ED→ = 0 và q2 < 0 nên q1 và q3 đều dương.
+ Ta có:
Vì q1 > 0 nên q1 = 2,7.10-8C
+ Tương tự như vậy ta cũng tìm được: q3 = 6,4.10-8C
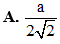
Câu 18. Hai điện tích q1 = q2 (q > 0) đặt tại hai điểm A và B với AB = 2a. M là điểm nằm trên đường trung trực của AB và cách AB một đoạn h. Xác định h để cường độ điện trường tại M cực đại.
Đáp án: C
Cường độ điện trường tại điểm M là
Trong đó E1→, E2→ là cường độ điện trường do q1 và q2 gây ra tại M:
Suy ra: Cường độ điện trường tổng hợp tại M:
Áp dụng bất đẳng thức Cô-si, ta có:
EM cực đại khi
Câu 19. Một hòn bi nhỏ bằng kim loại được đặt trong dầu. Bi có thể tích V = 10 mm3, khối lượng m = 9.10-5 kg. Dầu có khối lượng riêng D = 800 kg/m3. Tất cả được đặt trong điện trường đều,E→ hướng thẳng đứng từ trên xuống dưới. Tính điện tích mà hòn bi tích được để nó có thể lơ lửng trong dầu. Cho g = 10 m/s2.
A. 2,5.10-8C
B. 2.10-9C
C. 4.10-9C
D. 5.10-8C
Đáp án: B
+ Hòn bi chịu tác dụng của ba lực: Trọng lực P→ ; Lực đẩy Acsimet FA→ ; Lực điện F→
+ Để hòn bi nằm cân bằng thì hợp lực giữa lực điện và lực đẩy Acsimet phải đúng bằng trọng lực của hòn bi, ta có:
Câu 20. Tại hai điểm A và B cách nhau 20 cm trong không khí có đặt hai điện tích q1=4.10-6 và q2=-6.10-6 . Xác định cường độ điện trường do hai điện tích điểm này gây ra tại C, biết AC = 12 cm, BC = 16 cm. Xác định lực điện tác dụng lên điện tích q3=-5.10-8 đặt tại C.
A. 2,53N
B. 0,34N
C. 0,32N
D. 0,17N
Đáp án: D
+ Cường độ điện trường do các điện tích q1 và q2 gây ra tại C có chiều như hình vẽ và có độ lớn:
+ Lực điện tác dụng lên q3 ngược chiều với EC→ và có độ lớn:
(199k) Học Vật Lí 11 KNTTHọc Vật Lí 11 CDHọc Vật Lí 11 CTST
Xem thêm các bài tập trắc nghiệm Vật Lí 11 có đáp án và lời giải chi tiết hay khác:
- 15 bài tập trắc nghiệm Công của lực điện (có đáp án)
- 18 bài tập trắc nghiệm Điện thế; Hiệu điện thế (có đáp án)
- 29 bài tập trắc nghiệm Tụ điện (có đáp án)
- 15 Bài tập ôn tập Điện tích; Điện trường (có đáp án)
- 30 bài tập trắc nghiệm Dòng điện không đổi; Nguồn điện (có đáp án)
Tủ sách VIETJACK shopee lớp 10-11 (cả 3 bộ sách):
Đã có app VietJack trên điện thoại, giải bài tập SGK, SBT Soạn văn, Văn mẫu, Thi online, Bài giảng....miễn phí. Tải ngay ứng dụng trên Android và iOS.
Theo dõi chúng tôi miễn phí trên mạng xã hội facebook và youtube:Nếu thấy hay, hãy động viên và chia sẻ nhé! Các bình luận không phù hợp với nội quy bình luận trang web sẽ bị cấm bình luận vĩnh viễn.
- Giải Tiếng Anh 11 Global Success
- Giải sgk Tiếng Anh 11 Smart World
- Giải sgk Tiếng Anh 11 Friends Global
- Lớp 11 - Kết nối tri thức
- Soạn văn 11 (hay nhất) - KNTT
- Soạn văn 11 (ngắn nhất) - KNTT
- Giải sgk Toán 11 - KNTT
- Giải sgk Vật Lí 11 - KNTT
- Giải sgk Hóa học 11 - KNTT
- Giải sgk Sinh học 11 - KNTT
- Giải sgk Lịch Sử 11 - KNTT
- Giải sgk Địa Lí 11 - KNTT
- Giải sgk Giáo dục KTPL 11 - KNTT
- Giải sgk Tin học 11 - KNTT
- Giải sgk Công nghệ 11 - KNTT
- Giải sgk Hoạt động trải nghiệm 11 - KNTT
- Giải sgk Giáo dục quốc phòng 11 - KNTT
- Giải sgk Âm nhạc 11 - KNTT
- Lớp 11 - Chân trời sáng tạo
- Soạn văn 11 (hay nhất) - CTST
- Soạn văn 11 (ngắn nhất) - CTST
- Giải sgk Toán 11 - CTST
- Giải sgk Vật Lí 11 - CTST
- Giải sgk Hóa học 11 - CTST
- Giải sgk Sinh học 11 - CTST
- Giải sgk Lịch Sử 11 - CTST
- Giải sgk Địa Lí 11 - CTST
- Giải sgk Giáo dục KTPL 11 - CTST
- Giải sgk Hoạt động trải nghiệm 11 - CTST
- Giải sgk Âm nhạc 11 - CTST
- Lớp 11 - Cánh diều
- Soạn văn 11 Cánh diều (hay nhất)
- Soạn văn 11 Cánh diều (ngắn nhất)
- Giải sgk Toán 11 - Cánh diều
- Giải sgk Vật Lí 11 - Cánh diều
- Giải sgk Hóa học 11 - Cánh diều
- Giải sgk Sinh học 11 - Cánh diều
- Giải sgk Lịch Sử 11 - Cánh diều
- Giải sgk Địa Lí 11 - Cánh diều
- Giải sgk Giáo dục KTPL 11 - Cánh diều
- Giải sgk Tin học 11 - Cánh diều
- Giải sgk Công nghệ 11 - Cánh diều
- Giải sgk Hoạt động trải nghiệm 11 - Cánh diều
- Giải sgk Giáo dục quốc phòng 11 - Cánh diều
- Giải sgk Âm nhạc 11 - Cánh diều


Giải bài tập SGK & SBT
Tài liệu giáo viên
Sách
Khóa học
Thi online
Hỏi đáp

