20 bài tập trắc nghiệm Định luật ôm đối với toàn mạch (có đáp án)
Với 20 bài tập & câu hỏi trắc nghiệm Định luật ôm đối với toàn mạch lớp 11 có đáp án và lời giải chi tiết đầy đủ các mức độ nhận biết, thông hiểu, vận dụng sẽ giúp học sinh ôn trắc nghiệm Vật Lí 11.
20 bài tập trắc nghiệm Định luật ôm đối với toàn mạch (có đáp án)
(199k) Học Vật Lí 11 KNTTHọc Vật Lí 11 CDHọc Vật Lí 11 CTST
Câu 1. Trong một mạch kín gồm nguồn điện có suất điện động E, điện trở trong r và mạch ngoài có điện trở R. Hệ thức nêu lên mối quan hệ giữa các đại lượng trên với cường độ dòng điện I chạy trong mạch là:
Đáp án: C
Định luật ôm đối với toàn mạch: Cường độ dòng điện chạy trong mạch điện kín tỉ lệ thuận với suất điện động của nguồn điện và tỉ lệ nghịch với điện trở toàn phần của mạch đó:
Với R là điện trở mạch ngoài; r là điện trở trong của nguồn điện.
Câu 2. Tìm phát biểu sai
A. Hiện tượng đoản mạch xảy ra khi điện trở của mạch ngoài rất nhỏ
B. Suất điện động E của nguồn điện luôn có giá trị bằng độ giảm điện thế mạch trong.
C. Suất điện động E của nguồn điện có giá trị bằng tốc độ giảm thế ở mạch ngoài và mạch trong.
D. Điện trở toàn phần của toàn mạch là tổng giá trị số của điện trở trong và điện trở tương đương của mạch ngoài.
Đáp án: B
- Độ giảm thế trên đoạn mạch: UN = I.RN
- Suất điện động của nguồn điện: E = I.RN + I.r > UN.
Câu 3. Đối với mạch điện kín, thì hiệu suất của nguồn điện không được tính bằng công thức:
Đáp án: D
Hiệu suất của nguồn điện:
Nếu mạch ngoài chỉ có điện trở thuần thì UN = I.RN và E = I.(RN + r)
Hiệu suất của nguồn điện khi này là:
Câu 4. Cho mạch điện kín, nguồn điện có điện trở bằng 2Ω, mạch ngoài có điện trở 20Ω, bỏ qua điện trở của dây nối. Hiệu suất của nguồn điện là
A. 90,9%
B. 90%
C. 98%
D. 99%
Đáp án: A
Hiệu suất của nguồn điện:
Câu 5. Trong mạch điện kín gồm nguồn điện có suất điện động E, điện trở trong r và mạch ngoài có điện trở R. Khi có hiện tượng đoản mạch thì cường độ dòng điện trong mạch I được xác định bằng công thức:
Đáp án: A
Định luật ôm đối với toàn mạch:
Khi có hiện tượng đoản mạch (R = 0) thì cường độ dòng điện trong mạch là:
Câu 6. Cho mạch điện như hình vẽ, biết R = r. Cường độ dòng điện chạy trong mạch là:
Đáp án: B
Định luật ôm đối với toàn mạch:
Dùng dữ liệu sau để trả lời các câu 9.7, 9.8, 9.9, 9.10
Cho mạch điện như hình vẽ, bỏ qua điện trở các đoạn dây nói. Biết R1 = 3Ω, R2 = 6Ω, R3 = 1Ω, E = 6V, r = 1Ω.
Câu 7. Cường độ dòng điện qua mạch chính là
A. 0,5A
B. 1A
C. 1,5A
D. 2V
Đáp án: C
Cường độ dòng điện qua mạch chính:
Câu 8. Hiệu điện thế hai cực của nguồn điện là
A. 5,5V
B. 5V
C. 4,5V
D. 4V
Đáp án: C
Hiệu điện thế hai cực của nguồn điện bằng hiệu điện thế mạch ngoài:
U = I.RN = 1,5.3 = 4,5V
Câu 9. Công suất của nguồn điện là
A. 3W
B. 6W
C. 9W
D. 12W
Đáp án: C
Công suất của nguồn điện: Pnguồn = E.I = 6.1,5 = 9W
Câu 10. Hiệu suất của nguồn điện là
A. 70%
B. 75%
C. 80%
D. 90%
Đáp án: B
Hiệu suất của nguồn điện:
Dùng dữ kiện sau để trả lời các câu 9.11, 9.12, 9.13
Cho mạch điện như hình vẽ, R1 = 1Ω, R2 = 5Ω, R3 = 12Ω, E = 3V, r = 1Ω. Bỏ qua điện trở của dây nối.
Câu 11. Hiệu điện thế giữa hai đầu điện trở R3 bằng
A. 2,4V
B. 0,4V
C. 1,2V
D. 9V
Đáp án: A
Câu 12. Công suất mạch ngoài là
A. 0.64W
B. 1W
C. 1,44W
D. 1,96WW
Đáp án: C
Công suất mạch ngoài: PN = U.I = 2,4.0,6 = 1,44W
Câu 13. Hiệu suất của nguồn điện bằng
A. 60%
B. 70%
C. 80%
D. 90%
Đáp án: C
Hiệu suất của nguồn điện:
Câu 14. Một nguồn điện có suất điện động 3V, điện trở trong 2Ω. Mắc song song vào hai cực của nguồn này hai bóng đèn giống hệt nhau có điện trở là 6Ω. Công suất tiêu thụ mỗi bóng đèn là
A. 0,54W
B. 0,45W
C. 5,4W
D. 4,5W
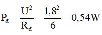
Đáp án: A
Cường độ dòng điện trong mạch chính:
Hiệu điện thế hai đầu mỗi bóng đèn là: U = E – Ir = 3 - 0,6.2 = 1,8V.
Công suất tiêu thụ mỗi bóng đèn là:
Câu 15. Cho mạch điện như hình vẽ, trong đó nguồn điện có suất điện động E = 6V, điện trở trong không đáng kể, bỏ qua điện trở của dây nối. Cho R1 = R2 = 30Ω, R3 = 7,5Ω. Công suất tiêu thụ trên R3 là
A. 4,8W
B. 8,4W
C. 1,25W
D. 0,8W
Đáp án: A
Vì r = 0 ⇒ UN = U123 = E = 6V;
Mạch ngoài gồm R1 // R2 // R3 ⇒ U3 = U123 = 6V.
Công suất tiêu thụ R3:
Câu 16. Một nguồn điện có điện trở trong 0,1Ω được mắc với điện trở R = 4,8Ω thành mạch kín. Khi đó hiệu điện thế giữa hai cực của nguồn điện là 12V. Suất điện động của nguồn điện và cường độ dòng điện trong mạch lần lượt bằng:
A. 12V; 2,5A
B. 25,48V; 5,2A
C. 12,25V; 2,5A
D. 24,96V; 5,2A
Đáp án: C
Cường độ dòng điện trong mạch chính:
Suất điện động của nguồn điện: E = U + I.r = 12 + 2,5.0,1 = 12,25 V
Câu 17. Mắc một điện trở 14Ω vào hai cực của một nguồn điện có điện trở trong là r = 1Ω thì hiệu điện thế giữa hai cực của nguồn điện là 8,4V. Công suất mạch ngoài và công suất của nguồn điện là
A. PN = 5,04W; Png = 5,4W
B. PN = 5,4W; Png = 5,04W
C. PN = 84W; Png = 90W
D. PN = 204,96W; Png = 219,6W
Đáp án: A
Cường độ dòng điện trong mạch chính:
Công suất mạch ngoài: PN = R.I2 = 14.0,62 = 5,04W
Công suất của nguồn điện:
Png = EI = (U + Ir).I = (8.4 + 0,6.1).0,6 = 5,4W.
Câu 18. Một điện trở R1 được mắc vào hai cực của một nguồn điện có điện trở trong r = 4Ω thì dòng điện chạy trong mạch có cường độ I1 = 1,2A. Nếu mắc thêm một điện trở R2 = 2Ω nối tiếp với điện trở R1 thì dòng điện chạy trong mạch có cường độ I2 = 1A. Giá trị của điện trở R1 bằng
A. 5Ω
B. 6Ω
C. 8Ω
D. 10Ω
Đáp án: B
Áp dụng định luật Ohm cho 2 mạch điện ta được:
Câu 19. Biết rằng điện trở mạch ngoài của một nguồn điện tăng từ R1 = 3Ω đến R2 = 10,5Ω thì hiệu suất của nguồn điện tăng gấp hai lần. Điện trở trong của nguồn điện bằng
A. 6Ω
B. 8Ω
C. 7Ω
D. 9Ω
Đáp án: C
Hiệu suất của nguồn điện trong hai trường hợp tương ứng là:
Ta có
Câu 20. Trong một mạch điện kín gồm nguồn điện có suất điện động E, điện trở trong r và mạch ngoài có điện trở RN, cường độ dòng điện chạy trong mạch là I. Nhiệt lượng toả ra trên toàn mạch trong khoảng thời gian t là:
A. Q = RNI2t
B. Q = (QN + r).I2
C. Q = (RN + r).I2t
D. Q = rI2t
Đáp án: C
Nhiệt lượng toả ra trên toàn mạch trong khoảng thời gian t:
Q = P.t = (RN + r).I2t
(199k) Học Vật Lí 11 KNTTHọc Vật Lí 11 CDHọc Vật Lí 11 CTST
Xem thêm các bài tập trắc nghiệm Vật Lí 11 có đáp án và lời giải chi tiết hay khác:
- 18 bài tập trắc nghiệm Đoạn mạch chứa nguồn điện; Ghép các nguồn điện thành bộ (có đáp án)
- 15 bài tập trắc nghiệm Phương pháp giải một số bài toán về toàn mạch (có đáp án)
- 20 Bài tập ôn tập Dòng điện không đổi (có đáp án)
- 10 bài tập trắc nghiệm Dòng điện trong kim loại (có đáp án)
- 10 bài tập trắc nghiệm Dòng điện trong chất điện phân (có đáp án)
Tủ sách VIETJACK shopee lớp 10-11 (cả 3 bộ sách):
Đã có app VietJack trên điện thoại, giải bài tập SGK, SBT Soạn văn, Văn mẫu, Thi online, Bài giảng....miễn phí. Tải ngay ứng dụng trên Android và iOS.
Theo dõi chúng tôi miễn phí trên mạng xã hội facebook và youtube:Nếu thấy hay, hãy động viên và chia sẻ nhé! Các bình luận không phù hợp với nội quy bình luận trang web sẽ bị cấm bình luận vĩnh viễn.
- Giải Tiếng Anh 11 Global Success
- Giải sgk Tiếng Anh 11 Smart World
- Giải sgk Tiếng Anh 11 Friends Global
- Lớp 11 - Kết nối tri thức
- Soạn văn 11 (hay nhất) - KNTT
- Soạn văn 11 (ngắn nhất) - KNTT
- Giải sgk Toán 11 - KNTT
- Giải sgk Vật Lí 11 - KNTT
- Giải sgk Hóa học 11 - KNTT
- Giải sgk Sinh học 11 - KNTT
- Giải sgk Lịch Sử 11 - KNTT
- Giải sgk Địa Lí 11 - KNTT
- Giải sgk Giáo dục KTPL 11 - KNTT
- Giải sgk Tin học 11 - KNTT
- Giải sgk Công nghệ 11 - KNTT
- Giải sgk Hoạt động trải nghiệm 11 - KNTT
- Giải sgk Giáo dục quốc phòng 11 - KNTT
- Giải sgk Âm nhạc 11 - KNTT
- Lớp 11 - Chân trời sáng tạo
- Soạn văn 11 (hay nhất) - CTST
- Soạn văn 11 (ngắn nhất) - CTST
- Giải sgk Toán 11 - CTST
- Giải sgk Vật Lí 11 - CTST
- Giải sgk Hóa học 11 - CTST
- Giải sgk Sinh học 11 - CTST
- Giải sgk Lịch Sử 11 - CTST
- Giải sgk Địa Lí 11 - CTST
- Giải sgk Giáo dục KTPL 11 - CTST
- Giải sgk Hoạt động trải nghiệm 11 - CTST
- Giải sgk Âm nhạc 11 - CTST
- Lớp 11 - Cánh diều
- Soạn văn 11 Cánh diều (hay nhất)
- Soạn văn 11 Cánh diều (ngắn nhất)
- Giải sgk Toán 11 - Cánh diều
- Giải sgk Vật Lí 11 - Cánh diều
- Giải sgk Hóa học 11 - Cánh diều
- Giải sgk Sinh học 11 - Cánh diều
- Giải sgk Lịch Sử 11 - Cánh diều
- Giải sgk Địa Lí 11 - Cánh diều
- Giải sgk Giáo dục KTPL 11 - Cánh diều
- Giải sgk Tin học 11 - Cánh diều
- Giải sgk Công nghệ 11 - Cánh diều
- Giải sgk Hoạt động trải nghiệm 11 - Cánh diều
- Giải sgk Giáo dục quốc phòng 11 - Cánh diều
- Giải sgk Âm nhạc 11 - Cánh diều


Giải bài tập SGK & SBT
Tài liệu giáo viên
Sách
Khóa học
Thi online
Hỏi đáp

