20 bài tập trắc nghiệm Từ trường của dòng điện chạy trong các dây dẫn có hình dạng đặc biệt (có đáp án)
Với 20 bài tập & câu hỏi trắc nghiệm Từ trường của dòng điện chạy trong các dây dẫn có hình dạng đặc biệt lớp 11 có đáp án và lời giải chi tiết đầy đủ các mức độ nhận biết, thông hiểu, vận dụng sẽ giúp học sinh ôn trắc nghiệm Vật Lí 11.
20 bài tập trắc nghiệm Từ trường của dòng điện chạy trong các dây dẫn có hình dạng đặc biệt (có đáp án)
(199k) Học Vật Lí 11 KNTTHọc Vật Lí 11 CDHọc Vật Lí 11 CTST
Câu 1. Cảm ứng từ tại một điểm trong từ trường của dòng điện trong một dây dẫn không phụ thuộc vào
A. cường độ dòng điện
B. hình dạng của dây dẫn
C. môi trường xung quanh dây dẫn
D. tiết diện của dây dẫn
Đáp án: D
Cảm ứng từ B→ tại một điểm M
* Tỉ lệ với cường độ dòng điện I gây ra từ trường;
* Phụ thuộc dạng hình học của dây dẫn;
* Phụ thuộc vào vị trí của điểm M;
* Phụ thuộc vào môi trường xung quanh.
Câu 2. Cảm ứng từ tại một điểm trong từ trường của dòng điện thẳng, rất dài không thay đổi khi điểm đó dịch chuyển
A. song song với dòng điện
B. vuông góc với dòng điện
C. trên một đường sức từ
D. trên một mặt trụ
Đáp án: A
Cảm ứng từ của dòng điện thẳng dài tại một điểm M cách sợi dây đoạn R:
Do vậy để cảm ứng từ không đổi khi điểm M dịch chuyển thì điểm M phải dịch chuyển theo đường song song với dòng điện.
Câu 3. Trong hình vẽ, mũi tên nào đúng hướng của từ trường tạo ra bởi dòng điện trong ống dây thẳng, dài?
A. 1
B. 2
C. 4
D. 3
Đáp án: C
Véc tơ cảm ứng từ B→ do dòng điện chạy trong ống dây dài ở trong lòng ống dây (nơi có từ trường đều) có:
Điểm đặt: tại điểm ta xét;
Phương: song song với trục của ống dây;
Chiều: xác định theo qui tắc nắm tay phải hoặc vào Nam ra Bắc.
Câu 4. Một dòng điện không đổi chạy trong dây dẫn thẳng, dài đặt trong chân không có cường độ I = 10 A. Cảm ứng từ tại một điểm nằm cách dòng điện 2cm có độ lớn là
A. 10-6T
B. 10-4T
C. 10-5T
D. 10-7T
Đáp án: B
Cảm ứng từ tại một điểm nằm cách dòng điện 2cm có độ lớn là:
Câu 5. Một dòng điện không đổi chạy trong dây dẫn thẳng, dài đặt trong chân không. Biết cảm ứng từ tại vị trí cách dòng điện 3cm có độ lớn là 2.10-5T. Cường độ dòng điện chạy trong dây dẫn là
A. 3 A
B. 1,5A
C. 2A
D. 4,5A
Đáp án: A
Câu 6. Một dòng điện không đổi chạy trong dây dẫn thẳng dài, dài đặt trong chân không có cường độ I = 5A. Gọi M là một điểm gần dòng điện, cảm ứng từ tại M có độ lớn là 2.10-5T. Khoảng cách từ M đến dòng điện là
A. 5m
B. 5cm
C. 0,05cm
D. 0,05mm
Đáp án: B
Câu 7. Một dòng điện không đổi chạy trong dây dẫn thẳng, dài đặt trong chân không. Trên đường thẳng ∆ vuông góc với dây dẫn có hai điểm M và N nằm ở một phía so với sợi dây. Biết cảm ứng từ tại M và N có độ lớn lần lượt là BM = 3.10-5T và BN = 2.10-5T. Cảm ứng từ tại trung điểm của đoạn MN có độ lớn là
A. 2,2.10-5T
B. 2,5.10-5T
C. 2,6.10-5T
D. 2,4.10-5T
Đáp án: D
Gọi I là giao của ∆ với dây dẫn, P là trung điểm của MN ta có:
Vì M và N nằm cùng một phía so với sợi dây nên
Do I không thay đổi nên B tỉ lệ nghịch với r. Suy ra:
Thay số tính được Bp = 2,4.10-5T
Câu 8. Một dòng điện không đổi chạy trong dây dẫn thẳng, dài đặt trong chân không. Gọi M và N là hai điểm trên đường thẳng ∆ nằm vuông góc với dây dẫn, ở cùng một phía so với dây dẫn và điểm M gần dây dẫn hơn. Biết độ lớn của cảm ứng tại M lớn gấp 1,2 lần độ lớn cảm ứng từ tại N và khoảng cách MN bằng 2cm. Khoảng cách từ M đến dây dẫn bằng
A. 10cm
B. 12cm
C. 6cm
D. 8cm
Đáp án: A
Do I không đổi nên:
Ta có: rN - rM = MN = 2cm (2)
Giải (1), (2) ta tìm được rM = 10cm
Câu 9. Khảo sát từ trường của một dòng điện thẳng, dài có cường độ không đổi. Gọi M là một điểm gần dòng điện và cách dòng điện một khoảng r. Những điểm mà cảm ứng từ tại đó cùng hướng, cùng độ lớn với cảm ứng từ tại điểm M nằm trên
A. đường tròn qua M, thuộc mặt phẳng vuông góc với dòng điện, tâm nằm trên dây dẫn
B. đường thẳng qua M và song song với dòng điện
C. mặt trụ qua M, với trục hình trụ trùng với dây dẫn
D. hai đường thẳng nằm đối xứng nhau qua dây dẫn, một trong hai đường thẳng đó đi qua M và song song với dây dẫn
Đáp án: B
Cảm ứng từ của dòng điện thẳng dài tại một điểm M cách sợi dây đoạn R:
Do vậy để cảm ứng từ không đổi khi điểm M dịch chuyển thì R không đổi, do đó điểm M phải dịch chuyển theo đường thẳng qua M và song song với dòng điện.
Câu 10. Gọi d1, d2 là hai đường thẳng song song cách nhau 4cm trong chân không. M là một điểm trong mặt phẳng chứa d1, d2. Biết khoảng cách từ M đến d1 lớn hơn khoảng cách từ M đến d2 là 4cm. Đặt một dòng điện không đổi trùng với đường thẳng d1 thì cảm ứng từ tại M có độ lớn là B1 = 0,12T. Đưa dòng điện tới vị trí trùng với đường thẳng d2 thì cảm ứng từ tại M có độ lớn là B2 = 0,10T. Cảm ứng từ tại một điểm trên đường d1 có độ lớn là
A. 0,22T
B. 0,11T
C. 0,5T
D. 0,25T
Đáp án: C
Do I không đổi nên:
Gọi khoảng cách của 2 đường d1, d2 là a, ta có:
Giải (1), (2) tìm được: r1 = 24cm và r2 = 20cm.
Khi đưa dòng điện tới vị trí trùng với đường thẳng d2 thì cảm ứng từ tại một điểm trên đường d1 có độ lớn là B, ta có:
Câu 11. Một khung dây dẫn hình tròn, bán kính R (m) đặt trong chân không. Dòng điện chạy trong khung có cường độ I (A). Cảm ứng từ tại tâm O của khung dây được tính bằng công thức:
Đáp án: B
Véc tơ cảm ứng từ B→ do dòng điện chạy trong một khung dây tròn gây ra tại tâm của vòng dây có:
Điểm đặt: tại tâm vòng dây;
Phương: vuông góc với mặt phẳng chứa vòng dây;
Chiều: vào Nam ra Bắc: mặt Nam của dòng điện tròn là mặt khi nhìn vào ta thấy dòng điện chạy theo chiều kim đồng hồ, còn mặt Bắc thì ngược lại;
Độ lớn:
Câu 12. Một khung dây dẫn tròn mỏng phẳng gồm 500 vòng dây, bán kính của mỗi vòng dây là 10cm, đặt trong chân không. Dòng điện chạy trong các vòng dây có cường độ I = 10A. Cảm ứng từ tại tâm O của khung dây có độ lớn gần đúng là
A. 0,031T
B. 0,042T
C. 0,051T
D. 0,022T
Đáp án: A
Cảm ứng từ tại tâm O của khung dây có độ lớn gần đúng là:
Câu 13. Một ống dây hình trụ, tiết diện đều, không có lõi thép. Số vòng dây trên mỗi mét chiều dài ống là 5000 vòng. Nếu cường độ dòng điện chạy trên mỗi vòng của ống dây là 12A thì cảm ứng từ trong lòng của ống dây có độ lớn bằng
A. 75,4μT
B. 754 mT
C. 75,4 mT
D. 0,754T
Đáp án: C
Cảm ứng từ trong lòng của ống dây có độ lớn bằng:
B = 4π.10-7.nI = 4π.10-7.5000.12 = 754.10-4T
Câu 14. Một sợi dây dẫn dài 30cm được quấn thành một ống dây sao cho các vòng dây nằm sát nhau, đường kính tiết diện ống dây d = 5cm. Khi cho dòng điện có cường độ 10A chạy qua ống dây thì cảm ứng từ trong lòng ống dây đo được bằng π.10-3T. Chiều dài của sợi dây là
A. 11,78m
B. 23,56m
C. 17,18m
D. 25,36m
Đáp án: A
Số vòng dây trên một đơn vị chiều dài là:
Số vòng dây là: N = n.𝑙 = 250.0,3 = 75 vòng
Chiều dài của sợi dây bằng L = N.π.d = 75.π.0,05 = 11,78m.
Câu 15. Trong chân không, cho hai dây dẫn d1, d2 song song và cách nhau 4cm. Dòng điện trong hai dây ngược chiều và có cường độ tương ứng là I1 = 10A và I2 = 15A. Gọi M là một điểm nằm trong mặt phẳng chứa hai dây và cách đều hai dây. Cảm ứng từ tại M có độ lớn bằng
A. 150.10-6T
B. 100.10-6T
C. 250.10-6T
D. 50.10-6T
Đáp án: D
Cảm ứng từ tại M do dây dẫn d1 gây ra là:
Cảm ứng từ tại M do dây dẫn d2 gây ra là:
Do hai véctơ ngược chiều nên cảm ứng từ tổng hợp tại M có độ lớn bằng:
Câu 16. Trong chân không, cho hai dây dẫn d1, d2 song song và cách nhau 2cm. Dòng điện trong hai dây cùng chiều và có cường độ tương ứng là I1 = 10A và I2 = 15A. Gọi M là một điểm nằm trong mặt phẳng chứa hai dây và cách dây dẫn d1 4cm; cách dây dẫn d2 2cm. cảm ứng từ tại M có độ lớn bằng
A. 0,1mT
B. 0,2mT
C. 0,3mT
D. 0,4mT
Đáp án: B
Cảm ứng từ tại M do dây dẫn d1 gây ra là:
Cảm ứng từ tại M do dây dẫn d2 gây ra là:
Do hai véctơ cùng chiều nên cảm ứng từ tổng hợp tại M có độ lớn bằng:
Câu 17. Trong chân không, cho hai dây dẫn d1, d2 song song và cách nhau 4cm. dòng điện trong hai dây cùng chiều và có cường độ tương ứng là I1 = I2 = 10A. Gọi M là một điểm nằm ngoài mặt phẳng chứa hai dây và cách đều các dây d1, d2 những khoảng cách bằng 4cm. Cảm ứng từ tại M có độ lớn bằng
A. 50μT
B. 37μT
C. 87μT
D. 13μT
Đáp án: C
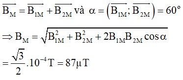
Cảm ứng từ tại M do dây dẫn d1 gây ra là:
Cảm ứng từ tại M do dây dẫn d2 gây ra là:
Dựa vào hình vẽ ta có:
Câu 18. Chân không, cho hai dòng điện d1, d2 song song, cùng chiều và cách nhau 4cm. Gọi M là một điểm nằm ngoài mặt phẳng chứa hai dây và cách đều các dòng điện d1, d2 những khoảng bằng 4cm. Biết cảm ứng từ tại M có phương song song với mặt phẳng chứa hai dòng điện và có độ lớn bằng 12√3 μT. Cường độ dòng điện chạy trong mỗi dây dẫn là
A. 2,4A
B. 4,8A
C. 5,6A
D. 2,8A
Đáp án: B
Phân tích BM→ theo hai phương vuông góc với phương chứa r1 và r2 (hình vẽ).
Tính được B1M = B2M = 24 μT.
Câu 19. Trong chân không, cho hai dây dẫn d1, d2 song song và cách nhau 5cm. Dòng điện trong hai dây cùng chiều và có cường độ tương ứng là I1 = 30A, I2 = 20A. Gọi M là một điểm gần hai dây dẫn mà cảm ứng từ tại M bằng 0. Điểm M cách dây d1
A. 3cm
B. 2cm
C. 8cm
D. 7cm
Đáp án: A
Cảm ứng từ tại M bằng 0 nên: B1M→= - B2M→
Do hai dòng điện cùng chiều nên M nằm trong mặt phẳng chứa hai dây và giữa hai dây: r1 + r2 = 5cm.
Ta có:
Vậy M cách d1 3cm và cách d2 2cm
Câu 20. Trong chân không, cho hai đường thẳng x, y song song và cách nhau 9cm. Đặt dòng điện thẳng cường độ I1 = 15A trùng với đường thẳng x. Muốn cảm ứng từ tại những điểm nằm trên đường thẳng y bằng 0 thì phải đặt thêm dòng điện thẳng cường độ I2 = 20A, nằm trong mặt phẳng (x, y), ngược chiều với dòng điện I1 và cách đường thẳng x một khoảng là
A. 6cm
B. 3cm
C. 8cm
D. 4cm
Đáp án: B
Cảm ứng từ tại M bằng 0 nên: B1M→= - B2M→ nên M nằm ngoài khoảng I1, I2
và
Suy ra M gần d1 hơn, do đó M nằm bên trái dòng I1.
Ta có: r1 = MI1 = 9cm
Suy ra: I2 cách đường thẳng x đoạn 12 – 9 = 3cm.
(199k) Học Vật Lí 11 KNTTHọc Vật Lí 11 CDHọc Vật Lí 11 CTST
Xem thêm các bài tập trắc nghiệm Vật Lí 11 có đáp án và lời giải chi tiết hay khác:
- 24 bài tập trắc nghiệm Lực Lo-ren-xơ (có đáp án)
- 15 Bài tập ôn tập Từ trường (có đáp án)
- 16 bài tập trắc nghiệm Từ thông; Cảm ứng điện từ (có đáp án)
- 18 bài tập trắc nghiệm Suất điện động cảm ứng (có đáp án)
- 16 bài tập trắc nghiệm Tự cảm (có đáp án)
Tủ sách VIETJACK shopee lớp 10-11 (cả 3 bộ sách):
Đã có app VietJack trên điện thoại, giải bài tập SGK, SBT Soạn văn, Văn mẫu, Thi online, Bài giảng....miễn phí. Tải ngay ứng dụng trên Android và iOS.
Theo dõi chúng tôi miễn phí trên mạng xã hội facebook và youtube:Nếu thấy hay, hãy động viên và chia sẻ nhé! Các bình luận không phù hợp với nội quy bình luận trang web sẽ bị cấm bình luận vĩnh viễn.
- Giải Tiếng Anh 11 Global Success
- Giải sgk Tiếng Anh 11 Smart World
- Giải sgk Tiếng Anh 11 Friends Global
- Lớp 11 - Kết nối tri thức
- Soạn văn 11 (hay nhất) - KNTT
- Soạn văn 11 (ngắn nhất) - KNTT
- Giải sgk Toán 11 - KNTT
- Giải sgk Vật Lí 11 - KNTT
- Giải sgk Hóa học 11 - KNTT
- Giải sgk Sinh học 11 - KNTT
- Giải sgk Lịch Sử 11 - KNTT
- Giải sgk Địa Lí 11 - KNTT
- Giải sgk Giáo dục KTPL 11 - KNTT
- Giải sgk Tin học 11 - KNTT
- Giải sgk Công nghệ 11 - KNTT
- Giải sgk Hoạt động trải nghiệm 11 - KNTT
- Giải sgk Giáo dục quốc phòng 11 - KNTT
- Giải sgk Âm nhạc 11 - KNTT
- Lớp 11 - Chân trời sáng tạo
- Soạn văn 11 (hay nhất) - CTST
- Soạn văn 11 (ngắn nhất) - CTST
- Giải sgk Toán 11 - CTST
- Giải sgk Vật Lí 11 - CTST
- Giải sgk Hóa học 11 - CTST
- Giải sgk Sinh học 11 - CTST
- Giải sgk Lịch Sử 11 - CTST
- Giải sgk Địa Lí 11 - CTST
- Giải sgk Giáo dục KTPL 11 - CTST
- Giải sgk Hoạt động trải nghiệm 11 - CTST
- Giải sgk Âm nhạc 11 - CTST
- Lớp 11 - Cánh diều
- Soạn văn 11 Cánh diều (hay nhất)
- Soạn văn 11 Cánh diều (ngắn nhất)
- Giải sgk Toán 11 - Cánh diều
- Giải sgk Vật Lí 11 - Cánh diều
- Giải sgk Hóa học 11 - Cánh diều
- Giải sgk Sinh học 11 - Cánh diều
- Giải sgk Lịch Sử 11 - Cánh diều
- Giải sgk Địa Lí 11 - Cánh diều
- Giải sgk Giáo dục KTPL 11 - Cánh diều
- Giải sgk Tin học 11 - Cánh diều
- Giải sgk Công nghệ 11 - Cánh diều
- Giải sgk Hoạt động trải nghiệm 11 - Cánh diều
- Giải sgk Giáo dục quốc phòng 11 - Cánh diều
- Giải sgk Âm nhạc 11 - Cánh diều


Giải bài tập SGK & SBT
Tài liệu giáo viên
Sách
Khóa học
Thi online
Hỏi đáp

