Trắc nghiệm Dòng điện trong chất bán dẫn (có lời giải)
Bài tập trắc nghiệm Dòng điện trong chất bán dẫn lớp 11 có lời giải chi tiết với bài tập đa dạng sẽ giúp học sinh ôn luyện trắc nghiệm và biết cách làm bài tập Vật Lí 11.
Trắc nghiệm Dòng điện trong chất bán dẫn (có lời giải)
(199k) Học Vật Lí 11 KNTTHọc Vật Lí 11 CDHọc Vật Lí 11 CTST
Bài 1. Tính chất của điôt bán dẫn là
A. Chỉnh lưu và khuếch đại
B. Trộn sóng
C. Ổn áp và phát quang
D. Chỉnh lưu và dao động
Đáp án: D
Điot là các dụng cụ bán dẫn hai cực, trong đó có một lớp chuyển tiếp p- n. Điot chỉnh lưu dùng để chỉnh lưu dòng điện xoay chiều, hoạt động trên cơ sở tính chất chỉnh lưu của lớp chuyển tiếp p – n.
Bài 2. Tranzito là dụng cụ bán dẫn có ba chân, cấu tạo của nó có số lớp chuyển tiếp là
A. 4 lớp
B. 2 lớp
C. 3 lớp
D. 1 lớp
Đáp án: B
Tranzito lưỡng cực n – p – n cấu tạo gồm một lớp bán dẫn loại p rất mỏng kẹp giữa hai lớp bán dẫn loại n thực hiện trên một tinh thể bán dẫn (Ge, Si,…).
Tranzito có ba cực:
- Cực góp hay colecto, kí hiệu là C.
- Cực đáy hay cực gốc, hoặc bazo, kí hiệu là B.
- Cực phát hay êmito, kí hiệu E
Tranzito có khả năng khuếch đại tín hiệu điện, và dùng để lắp bộ khuếch đại và các khóa điện tử.
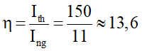
Bài 3. Trên hình a, b là đường đặc tuyến vôn-ampe của một điôt dẫn (dòng điện thuận và dòng điện ngược). Biết hệ số chỉnh lưu của một điôt bán dẫn đước xác định bằng tỉ số giữa trị số của cường độ dòng điện thuận (Ith) và cường độ dòng điện ngược (Ing) ứng với cùng một giá trị tuyệt đối của hiệu điện thế đặt vào điôt. Hệ số chỉnh lưu của điôt này ở hiệu điện thế 1,5V là
A. 13,6
B. 1,0
C. 1,5
D. 6,8
Đáp án: A
Kẻ hai đường thẳng song song với trục tung và đi qua hai điểm U = 1,5V và U = -1,5V
Giao tuyến của chúng với đường đặc trưng vôn-ampe cho ta:
Ith ≈ 150mA và U ≈ 11mA
Suy ra hệ số chỉnh lưu:
Bài 4. Chọn câu sai
A. Với cùng một hiệu điện thế ngược đặt vào một điôt chỉnh lưu, cường độ dòng điện ngược tăng khi nhiệt độ tăng.
B. Có thể dùng điôt phát quang để làm thí nghiệm minh họa tính chỉnh lưu của điôt.
C. Phôtôđiôt có thể tạo ra dòng điện, nếu lớp chuyển tiếp p – n của nó được chiếu bằng ánh sáng thích hợp, khi hai của của Phôtôđiôt được nối với một điện trở.
D. Có thể thay thế một tranzito n – p – n bằng hai điôt mắc chung ở phía bán dẫn loại p.
Đáp án: D
Không thể thay thế một tranzito n – p – n bằng hai điốt mắc chung ở phía bán dẫn loại p ⇒ câu D sai.
Bài 5. Chọn câu đúng
Pin mặt trời là một nguồn điện biến đổi từ
A. Nhiệt năng thành điện năng
B. Quang năng thành điện năng
C. Cơ năng thành điện năng
D. Hóa năng thành điện năng
Đáp án: B
Pin mặt trời là nguồn điện biến đổi từ quang năng thành điện năng
Bài 6. Chọn câu đúng. Photodiot:
A. Là một chuyển tiếp p-n-p
B. Có tác dụng biến đổi tín hiệu điện thành tín hiệu ánh sáng
C. Có tác dụng biến đổi tín hiệu ánh sáng thành tín hiệu điện
D. Là một biến trở có giá trị thay đổi được dưới tác dụng của ánh sáng
Đáp án: C
Photodiot có tác dụng biến đổi tín hiệu ánh sáng thành tín hiệu điện
Bài 7. Chọn câu đúng. Tranzito:
A. Là một chuyển tiếp p – n hay n – p
B. Có khả năng khuếch đại tín hiệu điện
C. Cường độ dòng điện qua cực colecto IC bằng cường độ dòng điện qua cực bazo IB
D. Tranzito hoạt động khi chuyển tiếp E – B giữa cực emito và cực bazo phân cực ngược và chuyển tiếp B – C giữa cực bazo và cực colecto phân cực thuận.
Đáp án: B
Tranzito có khả năng khuếch đại tín hiệu điện
Bài 8. Chọn câu sai
A. Tại lớp chuyển tiếp p – n, có sự khuếch tán electron từ bán dẫn loại p sang bán dẫn loại n và khuếch tán lỗ trống từ bán dẫn loại n sang bán dẫn loại p
B. Khi electron gặp lỗ trống, chúng liên kết và một cặp electron và lỗ trống biến mất
C. Lớp chuyển tiếp p – n gọi là lớp nghèo vì không có hạt tải điện
D. Điện trở của lớp nghèo trong tiếp xúc p-n rất lớn
Đáp án: A
Tại lớp chuyển tiếp p – n . có sự khuếch tấn electron từ bán dẫn loại n sang bán dẫn loại p và khuếch tán lỗ trống từ bán dẫn loại p sang bán dẫn loại n ⇒ câu sai A
Bài 9. Chọn câu đúng. Đặt vào hai dầu một điot bán dẫn p – n một hiệu điện thế U = Vp - Vn. Trong đó Vp = điện thế bán bán dẫn p; Vn = điện thế bên bán dẫn n.
A. Có dòng điện qua điot khi U > 0
B. Có dòng điện qua điot khi U < 0
C. Có dòng điện qua điot khi U = 0
D. Cả A, B, C đều đúng
Đáp án: A
Có dòng điện qua điot khi U > 0
Bài 10. Chọn câu đúng.
A. Trong bán dẫn, mật độ electron luôn luôn bằng mật độ lỗ trống.
B. Nhiệt độ càng cao, bán dẫn dẫn điện càng tốt
C. Bán dẫn loại p tích điện dương, vì mật độ lỗ trống lớn hơn mật độ electron
D. Bán dẫn có điện trở suất cao hơn kim loại, vì trong bán dẫn có hai loại hạt tải điện trái dấu, còn trong kim loại chỉ có một loại.
Đáp án: B
- Chỉ trong bán dẫn tinh khiết, mật độ electron tự do mới bằng mật độ lỗ trống. Còn bán dẫn loại n thì mật độ electron tự do lớn hơn mật độ lỗ trống; Bán dẫn loại p thì mật độ electron tự do nhỏ hơn mật độ lỗ trống ⇒ câu A sai.
- Nhiệt độ càng cao, bán dẫn điện càng tốt ⇒ câu B đúng
- Bán dẫn loại p có mật độ lỗ trống lớn hơn mật độ electron tự do, nhưng về tổng điện tích thì bán dẫn loại p trung hòa điện ⇒ câu C sai
- Bán dẫn có điện trở suất cao hơn kim loại vì trong bán dẫn các hạt điện là electron và lỗ trống không hoàn toàn tự do như electron tự do trong kim loại ⇒ câu D sai.
Bài 11. Những chất nào dưới đây không phải là chất bán dẫn?
A. Silic (Si)
B. Gecmani (Ge)
C. Lưu huỳnh (S)
D. Sunfua chì (PbS)
Đáp án: C
Các vật liệu như gemani, silic, các hợp chất GaAs, CdTe, ZnS.., nhiều ôxit, sunfua, sêlennua, telururua.. và một số chất pôlime được gọi là chất bán dẫn (bán dẫn).
Bài 12. Chọn phát biểu đúng
A. Điện trở suất của bán dẫn giảm tuyến tính với nhiệt độ
B. Tính dẫn điện của bán dẫn phụ thuộc vào độ tinh khiết của chất bán dẫn
C. Lỗ trống trong chất bán dẫn là hạt dẫn điện mạng điện tích âm
D. Trong điều kiện nhiệt độ thấp, trong chất bán dẫn có nhiều electron tự do
Đáp án: B
Ở nhiệt độ thấp, điện trở suất của bán dẫn siêu tinh khiết rất lớn. Khi nhiệt độ tăng, điện trở suất giảm nhanh, hệ số nhiệt điện trở có giá trị âm. Đây là sự dẫn điện riêng của bán dẫn.
Tính chất điện của bán dẫn phụ thuộc rất mạnh vào các tạp chất có mặt trong tinh thể. (độ tinh khiết của chất bán dẫn).
Chất bán dẫn có hai loại hạt tải điện là electron và lỗ trống mang điện tích dương.
Bài 13. Điều kiện tác động làm xuất hiện cặp electron-lỗ trống trong chất bán dẫn là
A. độ ẩm của môi trường
B. âm thanh
C. ánh sáng thích hợp
D. siêu âm
Đáp án: C
Điều kiện tác động làm xuất hiện cặp electron-lỗ trống trong chất bán dẫn là ánh sáng thích hợp.
Bài 14. Để tạo ra chất bán dẫn loại n, người ta pha thêm tạp chất, cách pha tạp chất đúng là
A. Ge + As
B. Ge + In
C. Ge + S
D. Ge + Pb
Đáp án: A
Bán dẫn pha tạp chất trong đó hạt tải điện chính mang điện âm gọi là bán dẫn loại n .
Hợp chất GaAs là chất bán dẫn loại n.
Bài 15. Để tạo ra chất bán dẫn loại p, người ta pha thêm tạp chất, cách pha tạp chất đúng là
A. Si + As
B. Si + B
C. Si + S
D. Si + Pb
Đáp án: B
Bán dẫn pha tạp chất trong đó hạt tải điện chính mang điện dương gọi là bán dẫn loại p.
Ví dụ: Silic pha tạp bo (B), nhôm (Al) hoặc gali (Ga)
Bài 16. Chọn phát biểu đúng khi nói về các hạt tải điện trong chất bán dẫn
A. Các hạt tải điện trong chất bán dẫn luôn bao gồm cả electron dẫn và lỗ trống
B. Các hạt tải điện trong chất bán dẫn loại p chỉ là chỗ trống
C. Các hạt tải điện trong chất bán dẫn loại n chỉ là electron
D. Cả hai loại hạt tải điện gồm electron dẫn và lỗ trống đều mang điện âm
Đáp án: A
Chất bán dẫn có hai loại hạt tải điện là electron và lỗ trống.
(199k) Học Vật Lí 11 KNTTHọc Vật Lí 11 CDHọc Vật Lí 11 CTST
Xem thêm các Bài tập trắc nghiệm Vật Lí lớp 11 có đáp án hay khác:
- Trắc nghiệm tổng hợp Dòng điện trong các môi trường (có lời giải)
- Trắc nghiệm Từ trường (có lời giải)
- Trắc nghiệm Lực từ; Cảm ứng từ (có lời giải)
- Trắc nghiệm Từ trường của dòng điện chạy trong các dây dẫn có hình dạng đặc biệt (có lời giải)
- Trắc nghiệm Lực Lo-ren-xơ (có lời giải)
Tủ sách VIETJACK shopee lớp 10-11 (cả 3 bộ sách):
Đã có app VietJack trên điện thoại, giải bài tập SGK, SBT Soạn văn, Văn mẫu, Thi online, Bài giảng....miễn phí. Tải ngay ứng dụng trên Android và iOS.
Theo dõi chúng tôi miễn phí trên mạng xã hội facebook và youtube:Nếu thấy hay, hãy động viên và chia sẻ nhé! Các bình luận không phù hợp với nội quy bình luận trang web sẽ bị cấm bình luận vĩnh viễn.
- Giải Tiếng Anh 11 Global Success
- Giải sgk Tiếng Anh 11 Smart World
- Giải sgk Tiếng Anh 11 Friends Global
- Lớp 11 - Kết nối tri thức
- Soạn văn 11 (hay nhất) - KNTT
- Soạn văn 11 (ngắn nhất) - KNTT
- Giải sgk Toán 11 - KNTT
- Giải sgk Vật Lí 11 - KNTT
- Giải sgk Hóa học 11 - KNTT
- Giải sgk Sinh học 11 - KNTT
- Giải sgk Lịch Sử 11 - KNTT
- Giải sgk Địa Lí 11 - KNTT
- Giải sgk Giáo dục KTPL 11 - KNTT
- Giải sgk Tin học 11 - KNTT
- Giải sgk Công nghệ 11 - KNTT
- Giải sgk Hoạt động trải nghiệm 11 - KNTT
- Giải sgk Giáo dục quốc phòng 11 - KNTT
- Giải sgk Âm nhạc 11 - KNTT
- Lớp 11 - Chân trời sáng tạo
- Soạn văn 11 (hay nhất) - CTST
- Soạn văn 11 (ngắn nhất) - CTST
- Giải sgk Toán 11 - CTST
- Giải sgk Vật Lí 11 - CTST
- Giải sgk Hóa học 11 - CTST
- Giải sgk Sinh học 11 - CTST
- Giải sgk Lịch Sử 11 - CTST
- Giải sgk Địa Lí 11 - CTST
- Giải sgk Giáo dục KTPL 11 - CTST
- Giải sgk Hoạt động trải nghiệm 11 - CTST
- Giải sgk Âm nhạc 11 - CTST
- Lớp 11 - Cánh diều
- Soạn văn 11 Cánh diều (hay nhất)
- Soạn văn 11 Cánh diều (ngắn nhất)
- Giải sgk Toán 11 - Cánh diều
- Giải sgk Vật Lí 11 - Cánh diều
- Giải sgk Hóa học 11 - Cánh diều
- Giải sgk Sinh học 11 - Cánh diều
- Giải sgk Lịch Sử 11 - Cánh diều
- Giải sgk Địa Lí 11 - Cánh diều
- Giải sgk Giáo dục KTPL 11 - Cánh diều
- Giải sgk Tin học 11 - Cánh diều
- Giải sgk Công nghệ 11 - Cánh diều
- Giải sgk Hoạt động trải nghiệm 11 - Cánh diều
- Giải sgk Giáo dục quốc phòng 11 - Cánh diều
- Giải sgk Âm nhạc 11 - Cánh diều


Giải bài tập SGK & SBT
Tài liệu giáo viên
Sách
Khóa học
Thi online
Hỏi đáp

