Trắc nghiệm Mắt (có lời giải)
Bài tập trắc nghiệm Mắt lớp 11 có lời giải chi tiết với bài tập đa dạng sẽ giúp học sinh ôn luyện trắc nghiệm và biết cách làm bài tập Vật Lí 11.
Trắc nghiệm Mắt (có lời giải)
(199k) Học Vật Lí 11 KNTTHọc Vật Lí 11 CDHọc Vật Lí 11 CTST
Bài 1. Một người bị cận thị có khoảng cách từ thể thuỷ tinh đến điểm cực cận là OCc và điểm cực viễn OCv. Để sửa tật của mắt người này thì người đó phải đeo sát mắt một kính có tiêu cự là
A. f = OCc
B. f = -OCc
C. f = OCv
D. f = -OCv
Đáp án: D
* Đặc điểm của mắt cận: Là mắt khi không điều tiết có tiêu điểm nằm trước võng mạc.
fmax < OV; OCc < Đ; OCv < ∞ ⇒ Dcận > Dthường
* Sửa tật:
Nhìn xa được như mắt thường phải đeo một thấu kính phân kì sao cho ảnh của vật ở ∞ qua kính hiện lên ở điểm cực viễn của mắt.
Ta có: d1 = ∞; d'1 = - (OCv - L) = fk; d'1 + d2 = OO'; d'2 = OV
L = OO' = khoảng cách kính tới mắt
Nếu kính đeo sát mắt L = 0 thì fk = - OCv
Bài 2. Một người cận thị phải đeo sát mắt kính cận số 0,5. Nếu xem tivi mà không muốn đeo kính thì người đó phải cách màn hình xa nhất một đoạn
A. 0,5m
B. 1m
C. 1,5m
D. 2m
Đáp án: D
Kính cận số 0,5 có D = -0,5dp ⇒ f = -2m ⇒ OCv = 2m.
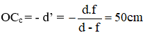
Bài 3. Một người cận thị về già, khi đọc sách cách mắt gần nhất 25cm phải đeo sát mắt kính số 2. Điểm cực cận của người đó nằm trên trục của mắt và cách mắt
A. 25cm
B. 50cm
C. 1m
D.2m
Đáp án: B
Kính cận số 2 có D = 2dp ⇒ f = 0,5m
Quan sát vật cách mắt 25cm qua kính ⇒
Bài 4. Một người cận thị đeo sát mắt một kính có độ tụ -1,5dp thì nhìn rõ được các vật ở xa mà không phải điều tiết. Điểm cực viễn của người đó nằm trên trục của mắt và cách mắt.
A. 50cm
B. 67cm
C. 150cm
D. 300cm
Đáp án: B
Kính cận có D = -1,5dp ⇒ f = 1/D = -0,67m = -67cm = -OCv
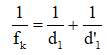
Bài 5. Một người viễn thị có điểm cực cận cách mắt 50cm. Khi đeo sát mắt một kính có độ tụ +1dp, người này sẽ nhìn rõ được những vật gần nhất cách mắt
A. 40cm
B. 33,3cm
C. 27,5cm
C. 26,7cm
Đáp án: B
Kính đeo có D = 1dp ⇒ f = 1m
Khi đeo sát mắt một kính có độ tụ +1dp, người này sẽ nhìn rõ được những vật gần nhất cách mắt dmin thỏa mãn:
Bài 6. Một người viễn thị có điểm cực cận cách mắt gần nhất 40cm. Để nhìn rõ vật đặt cách mắt gần nhất 25cm, người này cần đeo kính (đeo sát mắt) có độ tụ là
A. -2,5dp
B. 2,5dp
C. -1,5dp
D. 1,5dp
Đáp án: D
Theo công thức thấu kính ta được:
Bài 7. Một người cận thị có khoảng nhìn rõ từ 12,5cm đến 50cm. Khi đeo kính (đeo sát mắt) chữa tật của mắt để khi nhìn vật ở vô cực mà mắt không điều tiết, người này nhìn rõ được các vật đặt gần nhất cách mắt
A. 15cm
B. 16,7cm
C. 17,5cm
D. 22,5cm
Đáp án: B
Để khi nhìn vật ở vô cực mà mắt không điều tiết, người đó đeo kính có:
f = -OCv = -50cm
Quan sát ở cực cận: d’= -OCc = -12,5cm
Bài 8. Một người cận thị có khoảng nhìn rõ từ 12,5cm đến 50cm. Khi đeo kính (đeo sát mắt) có độ tụ -1dp. Khoảng nhìn rõ của người này khi đeo kính là
A. từ 13,3cm đến 75cm
B. từ 14,3cm đến 75cm
C. từ 14,3cm đến 100cm
D. từ 13,3cm đến 100cm
Đáp án: C
Người đó đeo kính có f = 1/D = -1m
⇒ Quan sát ở cực cận: d’ = -OCc = -12,5cm ⇒
⇒ Quan sát ở cực viễn: d’ = -OCv = -50cm ⇒
Bài 9. Một người viễn thị nhìn rõ được vật đặt cách mắt gần nhất 40cm. Để nhìn rõ vật đặt cách mắt gần nhất 25cm, người này cần đeo kính (kính cách mắt 1cm) có độ tụ là
A. 1,4dp
B. 1,5dp
C. 1,6dp
D. 1,7dp
Đáp án: C
Người đó sửa tật khi đeo kính ách mắt 1cm, nên vật cách kính:
d = 25 – 1 = 24cm.
Và d’ = -OCv + 𝑙 = -39cm.
Do đó ta được:
Bài 10. Mắt một người cận thị có khoảng nhìn rõ từ 12cm đến 51cm. Người đó sửa tật bằng cách đeo kính phân kì cách mắt 1cm. Biết năng suất phân li của mắt là 1’. Khoảng cách nhỏ nhất giữa hai điểm trên vật mà mắt còn có thể phân biệt được là
A. 0,033mm
B. 0,045mm
C. 0,067mm
D. 0,041mm.
Đáp án: B
Người đó sửa tật khi đeo kính cách mắt 1cm nên kính đeo có:
f = -OCv + l = -50cm.
Khoảng cách nhỏ nhất giữa hai điểm trên vật khi quan sát ở cực cận có ảnh cách mắt 12cm. Suy ra ảnh cách kính 11cm → d’ = - 11cm.
⇒ Khoảng cách nhỏ nhất hai điểm trên ảnh mà mắt còn phân biệt là:
Mặt khác ta cũng có:
Khoảng cách nhỏ nhất giữa hai điểm trên vật mà mắt còn có thể phân biệt được là:
Bài 11. Khi nói về sự điều tiết của mắt, phát biểu nào sau đây là đúng?
A. Do có sự điều tiết, nên mắt có thể nhìn rõ được tất cả các vật nằm trước mắt
B. Khi quan sát các vật dịch chuyển ra xa mắt thì thể thuỷ tinh của mắt cong dần lên
C. Khi quan sát các vật dịch chuyển ra xa mắt thì thể thuỷ tinh của mắt xẹp dần xuống.
D. Khi quan sát các vật dịch chuyển lại gần mắt thì thể thuỷ tinh của mắt xẹp dần xuống.
Đáp án: C
Khi quan sát các vật dịch chuyển ra xa mắt thì thể thuỷ tinh của mắt xẹp dần xuống.
Bài 12. Để quan sát rõ các vật thì mắt phải điều tiết sao cho
A. Độ tụ của mắt luôn giảm xuống
B. Ảnh của vật luôn nằm trên võng mạc
C. Độ tụ của mắt luôn tăng lên
D. Ảnh của vật nằm giữa thuỷ tinh thể và võng mạc
Đáp án: B
Sự điều tiết của mắt là sự thay đổi độ cong các mặt của thể thủy tinh để giữ cho ảnh của vật cần quan sát hiện rõ trên màng lưới.
Bài 13. Điểm cực viễn (Cv) của mắt là
A. Khi mắt không điều tiết, điểm gần nhất trên trục của mắt cho ảnh trên võng mạc.
B. Khi mắt điều tiết tối đa, điểm xa nhất trên trục của mắt cho ảnh trên võng mạc
C. Khi mắt điều tiết tối đa, điểm gần nhất trên trục của mắt cho ảnh trên võng mạc
D. Khi mắt không điều tiết, điểm xa nhất trên trục của mắt cho ảnh trên võng mạc.
Đáp án: D
Điểm cực viễn: Điểm xa nhất trên trục chính của mắt mà đặt vật tại đó mắt có thể thấy rõ được mà không cần điều tiết, (f = fmax).
Khi quan sát vật ở Cv mắt không phải điều tiết nên mắt không mỏi
Bài 14. Điểm cực cận (Cc) của mắt là
A. Khi mắt không điều tiết, điểm gần nhất trên trục của mắt cho ảnh trên võng mạc
B. Khi mắt điều tiết tối đa, điểm gần nhất trên trục của mắt cho ảnh trên võng mạc
C. Khi mắt điều tiết tối đa, điểm xa nhất trên trục của mắt cho ảnh trên võng mạc
D. Khi mắt không điều tiết, điểm xa nhất trên trục của mắt cho ảnh trên võng mạc.
Đáp án: B
Điểm cực cận Cc: Điểm gần nhất trên trục chính của măt mà đặt vật tại đó mắt có thể thấy rõ được khi đã điều tiết tối đa (f = fmin).
Bài 15. Khi nói về khoảng nhìn rõ của mắt, phát biểu nào sau đây sai?
A. Mắt có khoảng nhìn rõ từ 25cm đến vô cực là bình thương
B. Mắt có khoảng nhìn rõ từ 10 cm đến 50cm là mắt bị cận thị
C. Mắt có khoảng nhìn từ 80cm đến vô cực là vắt bị viễn thị
D. Mắt có khoảng nhìn rõ từ 15cm đến vô cực là mắt bị tật cận thị.
Đáp án: D
Mắt chỉ nhìn thấy rõ vật khi vật ở trong khoảng CCCV. Khoảng cách từ cực cận Cc đến cực viễn Cv ⇒ khoảng nhìn rõ của mắt.
Mắt có khoảng nhìn rõ từ 15cm đến vô cực là mắt không bị cận thị.
Bài 16. Xét về phương diện quang hình, mắt có tác dụng tương đương với hệ quang học nào sau đây?
A. hệ lăng kính
B. hệ thấu kính hội tụ
C. thấu kính phân kì
D. hệ gương cầu.
Đáp án: B
Về phương diện quang hình học, có thể coi hệ thống bao gồm giác mạc, thủy dịch, thể thủy tinh, dịch thủy tinh tương đương với một hệ thấu kính hội tụ.
Bài 17. Khi nói về các tật của mắt, phát biểu nào sau đây là sai?
A. Mắt cận không nhìn rõ được các vật ở xa, chỉ nhìn rõ được các vật ở gần
B. Mắt viễn không nhìn rõ được các vật ở gần, chỉ nhìn rõ được ác vật ở xa
C. Mắt lão không nhìn rõ các vật ở gần cũng không nhìn rõ được vật ở xa
D. Mắt lão có khả năng quan sát hoàn toàn giống mắt cận và mắt viễn.
Đáp án: D
Mắt không có tật theo quy ước có: OCc < Đ = 25 cm; OCv < ∞
Do đó mắt không tật chỉ có thể nhìn thấy rõ vật đặt cách mắt từ 25 cm đến vô cực.
Mắt lão là mắt người lúc lớn tuổi, khi đó điểm cực cận Cc rời xa mắt hơn.
Bài 18. Khi nói về các cách sửa tật của mắt, phát biểu nào sau đây là sai?
A. Muốn sửa tật cận thị ta phải đeo vào mắt một thấu kính phân kì có độ tụ phù hợp
B. Muốn sửa thật viễn thị ta phải đeo vào mắt một thấu kính hội tụ có độ tụ phù hợp.
C. Muốn sửa tật lão thị ta phải đeo vào mắt một thấu kính hai tròng gồm nửa trên là kính hội tụ, nửa dưới là kính phân kì.
D. Muốn sửa tật lão thị ta phải đeo vào mắt một thấu kính hai tròng gồm nửa trên là kính phân kì, nửa dưới là kính hội tụ.
Đáp án: C
Mắt lão là mắt của người già do khả năng điều tiết của mắt kém vì tuổi tác. Mắt lão là mắt nhìn rõ các vật ở xa, nhưng không nhìn rõ các vật ở gần.
Muốn sửa tật lão thị ta phải đeo vào mắt một thấu kính hai tròng gồm nửa trên là kính phân kì, nửa dưới là kính hội tụ.
Bài 19. Để khắc phục tật cận thị của mắt khi quan sát các vật ở vô cực mà mắt không điều tiết thì phải ghép thêm vào mắt một thấu kính
A. phân kì có độ tụ nhỏ
B. phân kì có độ tụ thích hợp
C. hội tụ có độ tụ nhỏ
D. hội tụ có độ tụ thích hợp
Đáp án: B
Để mắt cận nhìn xa được như mắt thường phải đeo một thấu kính phân kì sao cho ảnh của vật ở ∞ qua kính hiện lên ở điểm cực viễn của mắt.
Ta có: d1 = ∞; d'1 = - (OCv - L) = fk; d'1 + d2 = OO'; d'2 = OV
L = OO' = khoảng cách kính tới mắt
Nếu kính đeo sát mắt L = 0 thì fk = - OCv. Do vậy phải đeo thêm kính phân kì có độ tụ thích hợp.
Bài 20. Để khắc phục tật viễn thị của mắt khi quan sát các vật ở vô cực mà mắt không điều tiết thì phải ghép thêm vào mắt một thấu kính
A. phân kì có độ tụ nhỏ
B. phân kì có độ tụ thích hợp
C. hội tụ có độ tụ nhỏ
D. hội tụ có độ tụ thích hợp
Đáp án: D
* Đặc điểm của mắt viễn thị: Là mắt khi không điều tiết có tiêu điểm nằm sau võng mạc.
fmax > OV; OCc > Đ; OCv: là ảo ở sau mắt ⇒Dviễn < Dthường
* Cách khắc phục: 2 cách
+ Đeo một thấu kính hội tụ để nhìn xa vô cực như mắt thường mà không cần điều tiết (khó thực hiện).
+ Đeo một thấu kính hội tụ để nhìn gần như mắt thường (đây là cách thường dùng)
d1 = Đ; d'1 = - (OCc - L); d'1 + d2 = OO'; d'2 = OV
(199k) Học Vật Lí 11 KNTTHọc Vật Lí 11 CDHọc Vật Lí 11 CTST
Xem thêm các Bài tập trắc nghiệm Vật Lí lớp 11 có đáp án hay khác:
- Trắc nghiệm Kính lúp (có lời giải)
- Trắc nghiệm Kính hiển vi (có lời giải)
- Trắc nghiệm Kính thiên văn (có lời giải)
- Trắc nghiệm tổng hợp Mắt; Các dụng cụ quang (có lời giải)
- Trắc nghiệm Điện tích; Định luật Cu-lông (có lời giải)
Tủ sách VIETJACK shopee lớp 10-11 (cả 3 bộ sách):
Đã có app VietJack trên điện thoại, giải bài tập SGK, SBT Soạn văn, Văn mẫu, Thi online, Bài giảng....miễn phí. Tải ngay ứng dụng trên Android và iOS.
Theo dõi chúng tôi miễn phí trên mạng xã hội facebook và youtube:Nếu thấy hay, hãy động viên và chia sẻ nhé! Các bình luận không phù hợp với nội quy bình luận trang web sẽ bị cấm bình luận vĩnh viễn.
- Giải Tiếng Anh 11 Global Success
- Giải sgk Tiếng Anh 11 Smart World
- Giải sgk Tiếng Anh 11 Friends Global
- Lớp 11 - Kết nối tri thức
- Soạn văn 11 (hay nhất) - KNTT
- Soạn văn 11 (ngắn nhất) - KNTT
- Giải sgk Toán 11 - KNTT
- Giải sgk Vật Lí 11 - KNTT
- Giải sgk Hóa học 11 - KNTT
- Giải sgk Sinh học 11 - KNTT
- Giải sgk Lịch Sử 11 - KNTT
- Giải sgk Địa Lí 11 - KNTT
- Giải sgk Giáo dục KTPL 11 - KNTT
- Giải sgk Tin học 11 - KNTT
- Giải sgk Công nghệ 11 - KNTT
- Giải sgk Hoạt động trải nghiệm 11 - KNTT
- Giải sgk Giáo dục quốc phòng 11 - KNTT
- Giải sgk Âm nhạc 11 - KNTT
- Lớp 11 - Chân trời sáng tạo
- Soạn văn 11 (hay nhất) - CTST
- Soạn văn 11 (ngắn nhất) - CTST
- Giải sgk Toán 11 - CTST
- Giải sgk Vật Lí 11 - CTST
- Giải sgk Hóa học 11 - CTST
- Giải sgk Sinh học 11 - CTST
- Giải sgk Lịch Sử 11 - CTST
- Giải sgk Địa Lí 11 - CTST
- Giải sgk Giáo dục KTPL 11 - CTST
- Giải sgk Hoạt động trải nghiệm 11 - CTST
- Giải sgk Âm nhạc 11 - CTST
- Lớp 11 - Cánh diều
- Soạn văn 11 Cánh diều (hay nhất)
- Soạn văn 11 Cánh diều (ngắn nhất)
- Giải sgk Toán 11 - Cánh diều
- Giải sgk Vật Lí 11 - Cánh diều
- Giải sgk Hóa học 11 - Cánh diều
- Giải sgk Sinh học 11 - Cánh diều
- Giải sgk Lịch Sử 11 - Cánh diều
- Giải sgk Địa Lí 11 - Cánh diều
- Giải sgk Giáo dục KTPL 11 - Cánh diều
- Giải sgk Tin học 11 - Cánh diều
- Giải sgk Công nghệ 11 - Cánh diều
- Giải sgk Hoạt động trải nghiệm 11 - Cánh diều
- Giải sgk Giáo dục quốc phòng 11 - Cánh diều
- Giải sgk Âm nhạc 11 - Cánh diều


Giải bài tập SGK & SBT
Tài liệu giáo viên
Sách
Khóa học
Thi online
Hỏi đáp

