30 bài tập trắc nghiệm Con lắc đơn (có đáp án)
Với 30 bài tập & câu hỏi trắc nghiệm Con lắc đơn lớp 12 có đáp án và lời giải chi tiết đầy đủ các mức độ nhận biết, thông hiểu, vận dụng sẽ giúp học sinh ôn trắc nghiệm Vật Lí 12.
30 bài tập trắc nghiệm Con lắc đơn (có đáp án)
(199k) Học Vật Lí 12 KNTTHọc Vật Lí 12 CDHọc Vật Lí 12 CTST
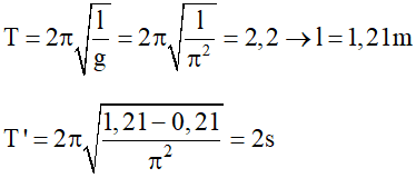
Câu 1: Tại một nơi trên mặt đất, một con lắc đơn dao động điều hòa với chu kì 2,2 s. Lấy g = 10 m/s2, π2 = 10. Khi giảm chiều dài dây treo của con lắc 21 cm thì con lắc mới dao động điều hòa với chu kì là
A. 2,0 s. B. 2,5 s.
C. 1,0 s. D. 1,5 s.
Chọn đáp án A
Câu 2: Một học sinh làm thí nghiệm đo gia tốc trọng trường bằng con lắc đơn. Khi đo chiều dài con lắc bằng một thước có chia độ đến milimet, kết quả đo 3 lần chiều dài sợi dây đều cho cùng một kết quả là 2,345m. Lấy sai số dụng cụ là một độ chia nhỏ nhất. Kết quả đo được viết là:
A. L = (2,345 ± 0,005) m.
B. L = (2345 ± 0,001) mm.
C. L = (2,345 ± 0,001) m.
D. L = (2,345 ± 0,0005) m.
- Vì cả 3 lần đo đều cho 1 kết quả nên:
- Sai số ngẫu nhiên ΔL = 0
- Sai số của thiết bị là ΔL’ = 1 mm = 0,001 m
⇒ L = (2,345 ± 0,001) m.
Chọn đáp án C
Câu 3: Một con lắc đơn có chiều dài 40 cm dao động điều hòa tại nơi có gia tốc trọng trường g = 10 m/s2 với biên độ góc 0,02 rad. Tốc độ của con lắc khi dây treo thẳng đứng là:
A. 4 cm/s. B. 4 m/s.
C. 10 cm/s. D. 10 m/s.
- Khi dây treo thẳng đứng thì tốc độ đạt cực đại:
Chọn đáp án A
Câu 4: Một con lắc đơn có chiều dài 121 cm, dao động điều hòa tại nơi có gia tốc trọng trường g. Lấy π2 = 10. Chu kì dao động của con lắc là:
A. 0,5 s. B. 2 s.
C. 1 s. D. 2,2 s.
- Chu kì dao động con lắc đơn là:
Chọn đáp án D
Câu 5: Một con lắc đơn dao động với biên độ góc nhỏ ( α0 < 15°). Ý nào sau đây là sai đối với chu kì của con lắc?
A. Chu kì phụ thuộc chiều dài con lắc.
B. Chu kì phụ thuộc gia tốc trọng trường nơi có con lắc.
C. Chu kì phụ thuộc biên độ dao động.
D. Chu kì không phụ thuộc vào khối lượng của con lắc.
- Chu kì con lắc đơn là:
→ T không phụ thuộc vào biên độ dao động.
Chọn đáp án C
Câu 6: Một con lắc đơn gồm một dây kim loại nhẹ dài 1 m, dao động điều hoà với biên độ góc 0,2 rad trong một từ trường đều mà cảm ứng từ có hướng vuông góc với mặt phẳng dao động của con lắc và có độ lớn 1T. lấy gia tốc trọng trường 10 m/s2. Tính suất điện động cực đại xuất hiện trên thanh treo con lắc:
A. 0,45 V. B. 0,63 V.
C. 0,32 V. D. 0,22 V.
- Ta có:
Chọn đáp án C
Câu 7: Tại cùng một nơi trên mặt đất, nếu chu kì dao động điều hòa của con lắc đơn chiều dài l là 2 s thì chu kì dao động điều hòa của con lắc đơn chiều dài 2l là:
- Ta có:
Chọn đáp án A
Câu 8: Hai con lắc đơn (với tần số góc dao động điều hòa lần lượt là 10π/9 rad/s và 10π/8 rad/s) được treo ở trần một căn phòng. Khi các vật nhỏ của hai con lắc đang ở vị trí cân bằng, đồng thời truyền cho chúng các vận tốc cùng hướng sao cho hai con lắc dao động điều hòa với cùng biên độ góc, trong hai mặt phẳng song song với nhau. Tìm khoảng thời gian kể từ lúc truyền vận tốc đến lúc hai dây treo song song nhau lần thứ 2014.
A. 1611,5 s. B. 14486,4 s.
C. 14486,8 s. D. 14501,2 s.
- Ta có phương trình dao động của 2 vật là:
- Khoảng thời gian chúng có cùng chiều dài từ thời điểm ban đầu là:
- Ta có: T1 = 1,8 s và T2 = 1,6 s.
- Xét :
- Lần thứ 2014 nên :
Chọn đáp án A
Câu 9: Khi đưa một con lắc đơn lên cao theo phương thẳng đứng (coi chiều dài của con lắc không đổi) thì tần số dao động điều hoà của nó sẽ:
A. tăng vì tần số dao động điều hoà của nó tỉ lệ nghịch với gia tốc trọng trường.
B. giảm vì gia tốc trọng trường giảm theo độ cao.
C. không đổi vì chu kỳ dao động điều hoà của nó không phụ thuộc vào gia tốc trọng trường.
D. tăng vì chu kỳ dao động điều hoà của nó giảm.
- Khi đưa con lắc lên cao thì g giảm nên f sẽ giảm.
Chọn đáp án B
Câu 10: Một con lắc đơn dao động với biên độ góc nhỏ. Chu kì của con lắc không thay đổi khi:
A. thay đổi chiều dài con lắc.
B. thay đổi gia tốc trọng trường.
C. tăng biên độ góc đến 30°.
D. thay đổi khối lượng của con lắc.
- Chu kì con lắc đơn dao động nhỏ là:
→ không phụ thuộc vào khối lượng.
Chọn đáp án D
Câu 11: Một con lắc đơn dao động điều hòa với chu kì T = 4 s, thời gian để con lắc đi từ vị trí cân bằng đến vị trí có li độ cực đại là:
A. 2 s. B. 1,5 s.
C. 1 s. D. 0,5 s.
- Thời gian con lắc đi từ vị trí cân băng đến vị trí cực đại là:
Chọn đáp án C
Câu 12: Một con lắc đơn treo vào đầu một sợi dây mảnh bằng kim loại, vật nặng có khối lượng riêng D. Khi dao động nhỏ trong bình chân không thì chu kì dao động là T. Bỏ qua mọi ma sát, khi dao động nhỏ trong một chất khí có khối lượng riêng εD (ε << 1) thì chu kỳ dao động là.
- Công thức lực đẩy ác-si-mét :
- Công thức gần đúng:
Chọn đáp án B
Câu 13: Trong quá trình dao động điều hòa của con lắc đơn. Nhận định nào sau đây là sai ?
A. Khi quả nặng ở điểm giới hạn, lực căng dây treo có độ lớn nhỏ hơn trọng lượng của vật.
B. Độ lớn của lực căng dây treo con lắc luôn lớn hơn trọng lượng vật.
C. Chu kỳ dao động của con lắc không phụ thuộc vào biên độ dao động của nó.
D. Khi khi góc hợp bởi phương dây treo con lắc và phương thẳng đứng giảm, tốc độ của quả năng sẽ tăng.
- Độ lớn của lực căng dây treo có trường hợp nhỏ hơn trọng lượng.
Chọn đáp án B
Câu 14: Hai con lắc đơn dao động điều hòa tại cùng một vị trí trên Trái Đất. Chiều dài và chu kì dao động của con lắc đơn lần lượt là l1, l2 và T1, T2. Biết T2 = 2T1. Hệ thức đúng là:
A. l1= 2l2. B. l1= 4l2.
C. l2 = 4l1. D. l2 = 2l1.
Chọn đáp án B
Câu 15: Con lắc đơn dao động nhỏ trong một điện trường đều có phương thẳng đứng hướng xuống, vật nặng có điện tích dương; biên độ A và chu kỳ dao động T. Vào thời điểm vật đi qua vị trí cân bằng thì đột ngột tắt điện trường. Chu kỳ và biên độ của con lắc khi đó thay đổi như thế nào? Bỏ qua mọi lực cản.
A. Chu kỳ tăng; biên độ giảm.
B. Chu kỳ giảm biên độ giảm.
C. Chu kỳ giảm; biên độ tăng.
D. Chu kỳ tăng; biên độ tăng.
- Khi con lắc đặt trong điện trường thì :
⇒Khi đột ngột ngắt điện trường thì chu kì dao động của con lắc tăng
- Theo định luật bảo toàn năng lượng thì :
+ Khi có điện trường:
+ Khi không có điện trường thì:
- Từ (1) và (2):
hay biên độ con lắc tăng.
Chọn đáp án D
(199k) Học Vật Lí 12 KNTTHọc Vật Lí 12 CDHọc Vật Lí 12 CTST
Xem thêm Bài tập trắc nghiệm Vật Lí 12 có đáp án hay khác:
- 30 bài tập trắc nghiệm Con lắc đơn (có đáp án - phần 2)
- 20 bài tập trắc nghiệm Dao động tắt dần - Dao động cưỡng bức (có lời giải)
- 20 bài tập trắc nghiệm Dao động tắt dần - Dao động cưỡng bức (có đáp án - phần 2)
- 29 bài tập trắc nghiệm Tổng hợp hai dao động điều hòa cùng phương, cùng tần số - Phương pháp giản đồ Fre-nen (phần 1)
- 29 bài tập trắc nghiệm Tổng hợp hai dao động điều hòa cùng phương, cùng tần số - Phương pháp giản đồ Fre-nen (phần 2)
Đã có app VietJack trên điện thoại, giải bài tập SGK, SBT Soạn văn, Văn mẫu, Thi online, Bài giảng....miễn phí. Tải ngay ứng dụng trên Android và iOS.
Theo dõi chúng tôi miễn phí trên mạng xã hội facebook và youtube:Nếu thấy hay, hãy động viên và chia sẻ nhé! Các bình luận không phù hợp với nội quy bình luận trang web sẽ bị cấm bình luận vĩnh viễn.
- Giải Tiếng Anh 12 Global Success
- Giải sgk Tiếng Anh 12 Smart World
- Giải sgk Tiếng Anh 12 Friends Global
- Lớp 12 Kết nối tri thức
- Soạn văn 12 (hay nhất) - KNTT
- Soạn văn 12 (ngắn nhất) - KNTT
- Giải sgk Toán 12 - KNTT
- Giải sgk Vật Lí 12 - KNTT
- Giải sgk Hóa học 12 - KNTT
- Giải sgk Sinh học 12 - KNTT
- Giải sgk Lịch Sử 12 - KNTT
- Giải sgk Địa Lí 12 - KNTT
- Giải sgk Giáo dục KTPL 12 - KNTT
- Giải sgk Tin học 12 - KNTT
- Giải sgk Công nghệ 12 - KNTT
- Giải sgk Hoạt động trải nghiệm 12 - KNTT
- Giải sgk Giáo dục quốc phòng 12 - KNTT
- Giải sgk Âm nhạc 12 - KNTT
- Giải sgk Mĩ thuật 12 - KNTT
- Lớp 12 Chân trời sáng tạo
- Soạn văn 12 (hay nhất) - CTST
- Soạn văn 12 (ngắn nhất) - CTST
- Giải sgk Toán 12 - CTST
- Giải sgk Vật Lí 12 - CTST
- Giải sgk Hóa học 12 - CTST
- Giải sgk Sinh học 12 - CTST
- Giải sgk Lịch Sử 12 - CTST
- Giải sgk Địa Lí 12 - CTST
- Giải sgk Giáo dục KTPL 12 - CTST
- Giải sgk Tin học 12 - CTST
- Giải sgk Hoạt động trải nghiệm 12 - CTST
- Giải sgk Âm nhạc 12 - CTST
- Lớp 12 Cánh diều
- Soạn văn 12 Cánh diều (hay nhất)
- Soạn văn 12 Cánh diều (ngắn nhất)
- Giải sgk Toán 12 Cánh diều
- Giải sgk Vật Lí 12 - Cánh diều
- Giải sgk Hóa học 12 - Cánh diều
- Giải sgk Sinh học 12 - Cánh diều
- Giải sgk Lịch Sử 12 - Cánh diều
- Giải sgk Địa Lí 12 - Cánh diều
- Giải sgk Giáo dục KTPL 12 - Cánh diều
- Giải sgk Tin học 12 - Cánh diều
- Giải sgk Công nghệ 12 - Cánh diều
- Giải sgk Hoạt động trải nghiệm 12 - Cánh diều
- Giải sgk Giáo dục quốc phòng 12 - Cánh diều
- Giải sgk Âm nhạc 12 - Cánh diều


Giải bài tập SGK & SBT
Tài liệu giáo viên
Sách
Khóa học
Thi online
Hỏi đáp

