16 bài tập trắc nghiệm Đặc trưng vật lí của âm (có đáp án)
Với 16 bài tập & câu hỏi trắc nghiệm Đặc trưng vật lí của âm lớp 12 có đáp án và lời giải chi tiết đầy đủ các mức độ nhận biết, thông hiểu, vận dụng sẽ giúp học sinh ôn trắc nghiệm Vật Lí 12.
16 bài tập trắc nghiệm Đặc trưng vật lí của âm (có đáp án)
(199k) Học Vật Lí 12 KNTTHọc Vật Lí 12 CDHọc Vật Lí 12 CTST
Câu 1: Một sóng âm truyền trong không khí. Mức cường độ âm tại điểm M và tại điểm N lần lượt là 40 dB và 80 dB. Cường độ âm tại N lớn hơn cường độ âm tại M:
A. 40 lần. B. 1000 lần.
C. 2 lần. D. 10000 lần.
- Ta có:
Chọn đáp án D
Câu 2: Một nguồn điểm O phát sóng âm có công suất không đổi trong một môi trường truyền âm đẳng hướng và không hấp thụ âm. Hai điểm A, B cách nguồn âm lần lượt là r1 và r2. Biết cường độ âm tại A gấp 4 lần cường độ âm tại B. Tỉ số r2/r1 bằng:
A. 4. B. 0,5.
C. 0,25. D. 2.
- Ta có:
Chọn đáp án D
Câu 3: Khi nói về sóng âm, phát biểu nào sau đây là sai?
A. Biên độ dao động của sóng âm càng lớn thì âm càng cao.
B. Sóng âm là một sóng cơ.
C. Tốc độ truyền âm phụ thuộc vào bản chất của môi trường truyền âm.
D. Sóng âm không truyền được trong chân không.
- Sóng âm là sóng cơ, không truyền được trong chân không và tốc độ của nó phụ thuộc vào bản chất của môi trường truyền âm.
→ A sai.
Chọn đáp án A
Câu 4: Sóng âm không truyền được trong:
A. thép.
B. không khí.
C. chân không.
D. nước.
- Sóng âm không truyền được trong chân không.
Chọn đáp án C
Câu 5: Tại O có một nguồn phát âm thanh đẳng hướng với công suất không đổi. Một người đi bộ từ A đến C theo 1 đường thẳng và lắng nghe âm thanh từ nguồn O thì nghe thấy cường độ âm tăng từ I đến 4I rồi lại giảm xuống I. Khoảng cách AO bằng:
- Vì khi đi từ A đến C thì cường độ tăng từ I đến 4I nhưng lại giảm về I nên tại A và C đều có cùng cường độ âm:
→ OA = OC
→ ▲OAC cân tại O.
- Gọi H là điểm có cường độ âm bằng 4I
→ OA = 2OH và HC = HA
→ ▲OHA vuông tại H.
Chọn đáp án B
Câu 6: Nguồn âm điểm phát ra âm với công suất P thì mức cường độ âm tại điểm M cách nguồn một khoảng r là L. Nếu công suất của nguồn âm là 10P thì mức cường độ âm tại M là:
A. L – 1 dB. B. L + 1 B.
C. L – 1 B. D. L + 1 dB.
- Ta có:
- Khi P’ = 10P:
Chọn đáp án B
Câu 7: Hai nguồn âm giống nhau được đặt tại hai điểm A, B cách nhau một khoảng AB = L = 2 m, phát cùng một âm đơn, cùng tần số 1500 Hz. Vận tốc truyền âm trong không khí là v = 340 m/s. Gọi I là trung điểm của AB, điểm O trên đường trung trực AB sao cho D = OI = 45 m. Từ O vẽ đường Ox song song với AB. Xác định khoảng cách của hai điểm gần nhau nhất trên Ox mà nghe thấy âm nhỏ nhất. Giả thiết λ << L; L << d.
A. 11,33 m. B. 7,83 m.
C. 5,1 m. D. 5,67 m.
- Với giả thiết λ << L và L << d thì ta có thể coi bài toán giống như giao thoa sóng ánh sáng với:
- Khoảng cách hai điểm gần nhau nhất mà nghe thấy âm nhỏ nhất tương ứng với 1 khoảng vân nên:
Chọn đáp án C
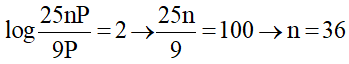
Câu 8: Tại điểm O trong môi trường đẳng hướng, không hấp thụ âm, có 9 nguồn âm điểm, giống nhau với công suất phát âm không đổi. Tại điểm A có mức cường độ âm 20 dB. M là một điểm thuộc OA sao cho OM = OA/5. Để M có mức cường độ âm là 40 dB thì số nguồn âm giống các nguồn âm trên cần đặt tại O bằng:
A. 4. B. 36.
C. 10. D. 30.
- Ta có:
- Lấy (2) trừ đi (1) ta được:
Chọn đáp án B
Câu 9: Từ điểm A bắt đầu thả rơi tự do một nguồn phát âm có công suất không đổi, khi chạm đất tại B nguồn âm đứng yên luôn. Tại C, ở khoảng giữa A và B (nhưng không thuộc AB), có một máy M đo mức cường độ âm, C cách AB là 12 m. Biết khoảng thời gian từ khi thả nguồn đến khi máy M thu được âm có mức cường độ âm cực đại, lớn hơn 1,528 s so với khoảng thời gian từ đó đến khi máy M thu được âm không đổi; đồng thời hiệu hai khoảng cách tương ứng này là 11 m. Bỏ qua sức cản không khí, lấy g = 10 m/s2. Hiệu giữa mức cường độ âm cuối cùng và đầu tiên xấp xỉ:
A. 4,68 dB. B. 3,74 dB.
C. 3,26 dB. D. 6,72 dB.
+ Máy M thu được âm có mức cường độ âm cực đại khi CT vuông với AB
+ Máy M thu được được âm không đổi khi nguồn âm đứng yên tại vị trí B
- Gọi t1, h1 lần lượt là thời gian rơi và quảng đường đi từ A đến T
- Gọi t2, h2 lần lượt là thời gian rơi và quảng đường đi từ T đến B
- Ta có:
- Vì là chuyển động rơi tự do:
Chọn đáp án B
Câu 10: Khi cường độ âm tăng lên 10n lần, thì mức cường độ âm sẽ:
A. Tăng thêm 10n dB.
B. Tăng lên 10n lần.
C. Tăng thêm 10n dB.
D. Tăng lên n lần.
- Ta có:
(do I0 = 10-12 không thay đổi).
Chọn đáp án A
Câu 11: Một nguồn phát âm coi là nguồn điểm phát âm đều theo mọi phương. Mức cường độ âm tại điểm M lúc đầu là 80 dB. Nếu tăng công suất của nguồn âm lên 20% thì mức cường độ âm tại M là bao nhiêu?
A. 95 dB. B. 125 dB.
C. 80,8 dB. D. 62,5 dB.
- Ta có :
Chọn đáp án C
Câu 12: Một sóng âm truyền trong không khí với tốc độ 340 m/s và bước sóng 34 cm. Tần số của sóng âm này là:
A. 500 Hz. B. 2000 Hz.
C. 1000 Hz. D. 1500 Hz.
- Ta có :
Chọn đáp án C
Câu 13: Tại điểm O trong môi trường đẳng hướng không hấp thụ âm và phản xạ âm, phát ra âm với công suất không đổi. Trên tia Ox theo thứ tự có ba điểm A, B, C sao cho OC = 4OA. Biết mức cường độ âm tại B là 2 B, tổng mức cường độ âm tại A và C là 4 B. Nếu AB = 20 m thì:
A. BC = 40 m. B. BC = 80 m.
C. BC = 30 m. D. BC = 20 m.
- Ta có :
- Suy ra:
Chọn đáp án A
Câu 14: Trong môi trường truyền âm, tại hai điểm A và B có mức cường độ âm lần lượt là 90 dB và 40 dB với cùng cường độ âm chuẩn. Cường độ âm tại A lớn gấp bao nhiêu lần so với cường độ âm tại B?
A. 2,25 lần. B. 3600 lần.
C. 1000 lần. D. 100000 lần.
- Ta có :
Chọn đáp án D
Câu 15: Một phòng hát karaoke có diện tích 20 m2, cao 4 m (với điều kiện hai lần chiều rộng BC và chiều dài AB chênh nhau không quá 2 m để phòng trông cân đối) với dàn âm gồm bốn loa như nhau có công suất lớn, hai cái đặt ở góc A, B của phòng, hai cái treo trên góc trần A′, B′. Đồng thời còn có một màn hình lớn được gắn trên tường ABB’A’ để người hát ngồi tại trung điểm M của CD có được cảm giác sống động nhất.
- Bỏ qua kích thước của người và loa, coi rằng loa phát âm đẳng hướng và tường hấp thụ âm tốt. Hỏi có thể thiết kế phòng để người hát chịu được loa có công suất lớn nhất là bao nhiêu?
A. 842 W. B. 535 W.
C. 723 W. D. 796 W.
- Ta có : 2BC - AB ≤ 2m.
- Mặt khác: BC.AB = 20m (1)
- Công suất lớn nhất khi:
BCmax ⇒ 2BC - AB = 2m (2)
- Từ (1) và (2) suy ra :
BC ≈ 3,7m; AB ≈ 5,4m.
- Dễ dàng tính được :
AM = 4,58m và A’M = 6,08m
- Tại người nghe được âm có mức cường độ âm lớn nhất là 13(B) = 130(dB):
Chọn đáp án A
Câu 16: Cường độ âm được đo bằng:
A. oát trên mét vuông.
B. oát.
C. niutơn trên mét vuông.
D. niutơn trên mét.
- Đơn vị của cường độ âm: (W/m2)
Chọn đáp án A
(199k) Học Vật Lí 12 KNTTHọc Vật Lí 12 CDHọc Vật Lí 12 CTST
Xem thêm Bài tập trắc nghiệm Vật Lí 12 có đáp án hay khác:
- 20 bài tập trắc nghiệm Đặc trưng sinh lí của âm (có lời giải)
- 20 bài tập trắc nghiệm Đặc trưng sinh lí của âm (có đáp án - phần 2)
- 30 bài tập ôn tập Sóng cơ và sóng âm (có đáp án)
- 30 bài tập ôn tập Sóng cơ và sóng âm (có đáp án - phần 2)
Đã có app VietJack trên điện thoại, giải bài tập SGK, SBT Soạn văn, Văn mẫu, Thi online, Bài giảng....miễn phí. Tải ngay ứng dụng trên Android và iOS.
Theo dõi chúng tôi miễn phí trên mạng xã hội facebook và youtube:Nếu thấy hay, hãy động viên và chia sẻ nhé! Các bình luận không phù hợp với nội quy bình luận trang web sẽ bị cấm bình luận vĩnh viễn.
- Giải Tiếng Anh 12 Global Success
- Giải sgk Tiếng Anh 12 Smart World
- Giải sgk Tiếng Anh 12 Friends Global
- Lớp 12 Kết nối tri thức
- Soạn văn 12 (hay nhất) - KNTT
- Soạn văn 12 (ngắn nhất) - KNTT
- Giải sgk Toán 12 - KNTT
- Giải sgk Vật Lí 12 - KNTT
- Giải sgk Hóa học 12 - KNTT
- Giải sgk Sinh học 12 - KNTT
- Giải sgk Lịch Sử 12 - KNTT
- Giải sgk Địa Lí 12 - KNTT
- Giải sgk Giáo dục KTPL 12 - KNTT
- Giải sgk Tin học 12 - KNTT
- Giải sgk Công nghệ 12 - KNTT
- Giải sgk Hoạt động trải nghiệm 12 - KNTT
- Giải sgk Giáo dục quốc phòng 12 - KNTT
- Giải sgk Âm nhạc 12 - KNTT
- Giải sgk Mĩ thuật 12 - KNTT
- Lớp 12 Chân trời sáng tạo
- Soạn văn 12 (hay nhất) - CTST
- Soạn văn 12 (ngắn nhất) - CTST
- Giải sgk Toán 12 - CTST
- Giải sgk Vật Lí 12 - CTST
- Giải sgk Hóa học 12 - CTST
- Giải sgk Sinh học 12 - CTST
- Giải sgk Lịch Sử 12 - CTST
- Giải sgk Địa Lí 12 - CTST
- Giải sgk Giáo dục KTPL 12 - CTST
- Giải sgk Tin học 12 - CTST
- Giải sgk Hoạt động trải nghiệm 12 - CTST
- Giải sgk Âm nhạc 12 - CTST
- Lớp 12 Cánh diều
- Soạn văn 12 Cánh diều (hay nhất)
- Soạn văn 12 Cánh diều (ngắn nhất)
- Giải sgk Toán 12 Cánh diều
- Giải sgk Vật Lí 12 - Cánh diều
- Giải sgk Hóa học 12 - Cánh diều
- Giải sgk Sinh học 12 - Cánh diều
- Giải sgk Lịch Sử 12 - Cánh diều
- Giải sgk Địa Lí 12 - Cánh diều
- Giải sgk Giáo dục KTPL 12 - Cánh diều
- Giải sgk Tin học 12 - Cánh diều
- Giải sgk Công nghệ 12 - Cánh diều
- Giải sgk Hoạt động trải nghiệm 12 - Cánh diều
- Giải sgk Giáo dục quốc phòng 12 - Cánh diều
- Giải sgk Âm nhạc 12 - Cánh diều


Giải bài tập SGK & SBT
Tài liệu giáo viên
Sách
Khóa học
Thi online
Hỏi đáp

