28 bài tập trắc nghiệm Đại cương về dòng điện xoay chiều (có đáp án - phần 2)
Với 28 bài tập & câu hỏi trắc nghiệm Đại cương về dòng điện xoay chiều lớp 12 có đáp án và lời giải chi tiết đầy đủ các mức độ nhận biết, thông hiểu, vận dụng sẽ giúp học sinh ôn trắc nghiệm Vật Lí 12.
28 bài tập trắc nghiệm Đại cương về dòng điện xoay chiều (có đáp án - phần 2)
(199k) Học Vật Lí 12 KNTTHọc Vật Lí 12 CDHọc Vật Lí 12 CTST
Câu 16: Một khung dây quay đều quanh trục đối xức nằm trong mặt phẳng khung, trong một từ trường đều có cảm ứng từ vuông góc với trục quay, tốc độ quay của khung dây là 600 vòng/phút. Từ thông cực đại gửi qua khung là 2/π (Wb). Suất điện động hiệu dụng trong khung là:
A. 20 V B. 20√2 V
C. 10 V D. 10√2 V
- Tốc độ quay của khung dây là 600 vòng/phút suy ra: f = 600/60 = 10Hz
- Suất điện động hiệu dụng trong khung là:
Chọn đáp án B
Câu 17: Chọn phát biểu sai? Dòng điện xoay chiều có biểu thức: i = 2cos100πt (A) thì có:
A. cường độ cực đại là 2A.
B. chu kì là 0,02 s.
C. tần số 50 Hz.
D. cường độ hiệu dụng là 2A√2.
- Cường độ dòng điện cực đại là: I0 = 2A.
Chọn đáp án A
Câu 18: Đặt điện áp:
vào hai đầu đoạn mạch điện.
- Tại thời điểm t, điện áp có giá trị 100√2 V và đang giảm. Tại thời điểm t+ t/300 (s) , điện áp này có giá trị bằng:
A. 200 V. B. -100 V.
C. 100√3 V. D. -100√2V.
- Ta có khoảng thời gian Δt tương ứng với:
- Tại thời điểm t điện áp có giá trị u = U0/2 và đang giảm.
→ Từ hình vẽ ta có:
Chọn đáp án D
Câu 19: Một thiết bị điện xoay chiều có các thông số được ghi trên thiết bị là 220V–5A, vậy:
A. điện áp cực đại của thiết bị là 220V.
B. điện áp tức thời cực đại của thiết bị là 220V.
C. điện áp hiệu dụng của thiết bị là 220V.
D. điện áp tức thời của thiết bị là 220V.
- Giá trị 220 V là điện áp hiệu dụng của thiết bị.
Chọn đáp án C
Câu 20: Tại thời điểm t = 0,5 s cường độ dòng điên xoay chiều chạy qua mạch bằng 4A, đó là:
A. Cường độ hiệu dụng .
B. Cường độ cực đại.
C. Cường độ trung bình.
D. Cường độ tức thời.
- Cường độ dòng điện qua mạch tại một thời điểm nào đó là cường độ dòng điện tức thời.
Chọn đáp án D
Câu 21: Cho điện áp hai đầu đọan mạch là:
và cường độ dòng điện qua mạch là:
- Công suất tiêu thụ của đoạn mạch là:
A. P = 120W. B. P=100W.
C. P = 180W. D. P=50W.
- Công suất tiêu thụ của mạch:
Chọn đáp án C
Câu 22: Một bóng đèn neon được mắc vào nguồn xoay chiều có điện áp u = 220√2 cos(100πt)V. Đèn chỉ bật sáng khi điện áp đặt vào đèn vượt quá giá trị 100 V. Trong 1 giây đèn này bật sáng bao nhiêu lần?
A. 50. B. 120.
C. 60. D. 100.
- Chu kì của dòng điện:
- Trong mỗi chu kì có 2 lần đèn bật sáng → trong khoảng thời gian có 100 lần đèn bật sáng.
Chọn đáp án D
Câu 23: Một dòng điện xoay chiều có cường độ:
- Chọn phát biểu sai?
A. Cường độ hiệu dụng bằng 2 A.
B. Chu kỳ dòng điện là 0,02 s.
C. Tần số là 100π Hz.
D. Pha ban đầu của dòng điện là π/6.
- Tần số của dòng điện f = 50 Hz.
→ C sai.
Chọn đáp án C
Câu 24: Điện áp ở hai đầu một đoạn mạch có biểu thức là:
(t tính bằng s).
- Giá trị của u ở thời điểm t = 5 ms là:
A. -220 V B. 110√2 V
C. 220 V. D. -110√2 V
- Ta có:
Chọn đáp án C
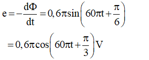
Câu 25: Một khung dây dẫn hình chữ nhật có 100 vòng, diện tích mỗi vòng 50 cm2, quay đều quanh trục đối xứng của khung với vận tốc góc 1800 vòng/phút trong một từ trường đều có cảm ứng từ bằng 0,02 T. Trục quay vuông góc với các đường cảm ứng từ. Chọn gốc thời gian lúc vecto pháp tuyến của mặt phẳng khung dây hợp với vecto cảm ứng từ B một góc 30°. Biểu thức suất điện động cảm ứng trong khung là:
- Tần số góc của chuyển động quay của khung dây:
- Từ thông qua khung dây:
→ Suất điện động cảm ứng trong thanh:
Chọn đáp án C
Câu 26: Cho dòng điện xoay chiều có tần số 40 Hz chạy qua một đoạn mạch. Khoảng thời gian giữa hai lần liên tiếp cường độ dòng điện này bằng 0 là:
- Khoảng thời gian giữa hai lần liên tiếp cường độ dòng điện bằng 0 là:
Chọn đáp án B
Câu 27: Cường độ dòng điện trong một đoạn mạch có biểu thức:
- Ở thời điểm t = 1/100 s, cường độ dòng điện trong mạch có giá trị :
Chọn đáp án B
Câu 28: Một bóng đèn ghi 220V – 50 Hz. Bóng đèn chịu được điện áp tối đa bằng:
A. 220 V. B. 220√2 V.
C. 440 V. D. 110√2 V.
- Bóng đền chịu được điện áp tối đa bằng: 220√2 V.
Chọn đáp án B
(199k) Học Vật Lí 12 KNTTHọc Vật Lí 12 CDHọc Vật Lí 12 CTST
Xem thêm Bài tập trắc nghiệm Vật Lí 12 có đáp án hay khác:
- 30 bài tập trắc nghiệm Các mạch điện xoay chiều (có lời giải)
- 30 bài tập trắc nghiệm Các mạch điện xoay chiều (có đáp án - phần 2)
- 30 bài tập trắc nghiệm Mạch có R, L, C mắc nối tiếp (có lời giải)
- 30 bài tập trắc nghiệm Mạch có R, L, C mắc nối tiếp (có đáp án - phần 2)
Đã có app VietJack trên điện thoại, giải bài tập SGK, SBT Soạn văn, Văn mẫu, Thi online, Bài giảng....miễn phí. Tải ngay ứng dụng trên Android và iOS.
Theo dõi chúng tôi miễn phí trên mạng xã hội facebook và youtube:Nếu thấy hay, hãy động viên và chia sẻ nhé! Các bình luận không phù hợp với nội quy bình luận trang web sẽ bị cấm bình luận vĩnh viễn.
- Giải Tiếng Anh 12 Global Success
- Giải sgk Tiếng Anh 12 Smart World
- Giải sgk Tiếng Anh 12 Friends Global
- Lớp 12 Kết nối tri thức
- Soạn văn 12 (hay nhất) - KNTT
- Soạn văn 12 (ngắn nhất) - KNTT
- Giải sgk Toán 12 - KNTT
- Giải sgk Vật Lí 12 - KNTT
- Giải sgk Hóa học 12 - KNTT
- Giải sgk Sinh học 12 - KNTT
- Giải sgk Lịch Sử 12 - KNTT
- Giải sgk Địa Lí 12 - KNTT
- Giải sgk Giáo dục KTPL 12 - KNTT
- Giải sgk Tin học 12 - KNTT
- Giải sgk Công nghệ 12 - KNTT
- Giải sgk Hoạt động trải nghiệm 12 - KNTT
- Giải sgk Giáo dục quốc phòng 12 - KNTT
- Giải sgk Âm nhạc 12 - KNTT
- Giải sgk Mĩ thuật 12 - KNTT
- Lớp 12 Chân trời sáng tạo
- Soạn văn 12 (hay nhất) - CTST
- Soạn văn 12 (ngắn nhất) - CTST
- Giải sgk Toán 12 - CTST
- Giải sgk Vật Lí 12 - CTST
- Giải sgk Hóa học 12 - CTST
- Giải sgk Sinh học 12 - CTST
- Giải sgk Lịch Sử 12 - CTST
- Giải sgk Địa Lí 12 - CTST
- Giải sgk Giáo dục KTPL 12 - CTST
- Giải sgk Tin học 12 - CTST
- Giải sgk Hoạt động trải nghiệm 12 - CTST
- Giải sgk Âm nhạc 12 - CTST
- Lớp 12 Cánh diều
- Soạn văn 12 Cánh diều (hay nhất)
- Soạn văn 12 Cánh diều (ngắn nhất)
- Giải sgk Toán 12 Cánh diều
- Giải sgk Vật Lí 12 - Cánh diều
- Giải sgk Hóa học 12 - Cánh diều
- Giải sgk Sinh học 12 - Cánh diều
- Giải sgk Lịch Sử 12 - Cánh diều
- Giải sgk Địa Lí 12 - Cánh diều
- Giải sgk Giáo dục KTPL 12 - Cánh diều
- Giải sgk Tin học 12 - Cánh diều
- Giải sgk Công nghệ 12 - Cánh diều
- Giải sgk Hoạt động trải nghiệm 12 - Cánh diều
- Giải sgk Giáo dục quốc phòng 12 - Cánh diều
- Giải sgk Âm nhạc 12 - Cánh diều


Giải bài tập SGK & SBT
Tài liệu giáo viên
Sách
Khóa học
Thi online
Hỏi đáp

