30 bài tập trắc nghiệm Mẫu nguyên tử Bo (có đáp án - phần 2)
Với 30 bài tập & câu hỏi trắc nghiệm Mẫu nguyên tử Bo lớp 12 có đáp án và lời giải chi tiết đầy đủ các mức độ nhận biết, thông hiểu, vận dụng sẽ giúp học sinh ôn trắc nghiệm Vật Lí 12.
30 bài tập trắc nghiệm Mẫu nguyên tử Bo (có đáp án - phần 2)
(199k) Học Vật Lí 12 KNTTHọc Vật Lí 12 CDHọc Vật Lí 12 CTST
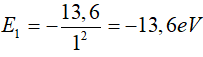
Câu 16: Trạng thái cơ bản của nguyên tử hiđrô là trạng thái dừng
A. có năng lượng lớn nhất
B. có năng lượng nhỏ nhất
C. mà êlectron chuyển động quanh hạt nhân với bán kính quỹ đạo lớn nhất
D. mà êlectron có tốc độ nhỏ nhất
- Trạng thái cơ bản của nguyên tử hiđrô là trạng thái dừng có năng lượng nhỏ nhất.
Chọn đáp án B
Câu 17: Đối với nguyên tử hiđrô, mức năng lượng tương ứng với quỹ đạo K là EK=-13,6 eV, ứng với quỹ đạo N là EN=-0,85 eV. Khi êlectron chuyển từ N về K thì phát ra bức xạ có bước sóng:
A. 0,6563 μm B. 1,875 μm
C. 0,0972 μm D. 0,125 μm
- Khi êlectron chuyển từ N về K thì phát ra bức xạ có năng lượng là:
Chọn đáp án C
Câu 18: Đối với nguyên tử hiđrô, cho biết năng lượng của nguyên tử ở trạng thái dừng dược tính theo công thức En=-13,6/n2 (tính bằng eV) với n = 1, 2, 3,.... Khi êlectron chuyển từ trạng thái dừng ứng với n = 4 về trạng thái dừng ứng với n = 1 thì sẽ phát ra bức xạ có tần số
A. 2,927.1014 Hz B. 3,079.1015 Hz
C. 3,284.1016 Hz D. 4,572.1014 Hz
- Khi êlectron chuyển từ trạng thái dừng ứng với n = 4 về trạng thái dừng ứng với n = 1 thì sẽ phát ra bức xạ có tần số:
Chọn đáp án B
Câu 19: Để ion hóa nguyên tử H, cần một năng lượng tối thiểu là E = 13,6 eV. Từ đó ta tính được bước sóng ngắn nhất có thể có được trong quang phổ vạch của hiđrô là:
A. 91,34 B. 65,36
C. 12,15 D. 90,51
- Ta có:
Chọn đáp án A
Câu 20: Biết năng lượng của nguyên tử hiđrô ở trạng thái dừng thứ n là En=-En=-13,6/(n2 ) eV với n = 1, 2, 3,... là số thứ tự các trạng thái dừng, tính từ trạng thái cơ bản. Bước sóng của phôn phát ra khi nguyên tử chuyển từ trạng thái dừng với n = 5 về n’ = 4 là
A. λ = 4,059 μm B. λ = 3,281 μm
C. λ = 1,879 μm D. λ = 0,0913 μm
- Ta có:
Chọn đáp án A
Câu 21: Trong nguyên tử Hiđrô khi êlectron nhảy từ quỹ đạo N về quỹ đạo K thì nguyên tử phát ra bức xạ có bước sóng λ1, khi êlectron nhảy từ quỹ đạo M về quỹ đạo L thì nguyên tử phát ra bức xạ có bước sóng là λ2. Chọn phương án đúng:
A. 3λ1 = 4λ2. B. 27λ1 = 4λ2.
C. 25λ1 = 25λ2. D. 256λ1 = 675λ2.
- Các mức năng lượng kích thích của nguyên tử Hidro được xác định bởi:
Chọn đáp án B
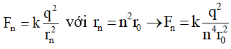
Câu 22: Xét nguyên tử hiđrô theo mẫu nguyên tử Bo. Khi êlectron chuyển từ quỹ đạo N sang quỹ đạo L thì lực hút giữa êlectron và hạt nhân:
A. giảm 16 lần. B. tăng 16 lần.
C. giảm 4 lần. D. tăng 4 lần.
- Lực hút tính điện giữa electron và hạt nhân nguyên tử Hidro khi nguyên tử ở trạnh thái kích thích thứ n:
- Quỹ đạo N và L lần lượt tương ứng với:
Chọn đáp án B
Câu 23: Biết rằng trên các quỹ đạo dừng của nguyên tử hidrô, electron chuyển động tròn đều dưới tác dụng của lực hút tĩnh điện giữ hạt nhân và electron. Khi electron chuyển từ quỹ đạo dừng K lên quỹ đạo dừng N thì tốc độ góc của nó đã:
A. Tăng 64 lần. B. giảm 27 lần.
C. giảm 64 lần. D. tăng 27 lần.
- Ta có:
- Vậy tốc độ góc giảm 64 lần.
Chọn đáp án C
Câu 24: Trong nguyên tử hidro, bán kính Bo là r0 = 5,3.10-11 m. Ở một trạng thái kích thích của nguyên tử hidro, electron chuyển động trên quỹ đạo dừng có bán kính r = 1,325.10-9 m. Quỹ đạo đó là:
A. O B. N
C. L D. M
- Ta có:
⇒ quỹ đạo đó là O
Chọn đáp án A
Câu 25: Biết năng lượng ứng với các trạng thái dừng của nguyên tử hidro được tính theo công thức:
- Khi chiếu lần lượt hai photon có năng lượng 10,2eV và 12,75eV vào đám nguyên tử hidro ở trạng thái cơ bản thì đám nguyên tử:
A. chỉ hấp thụ được 1 photon có năng lượng 10,2eV
B. hấp thụ được cả hai photon
C. không hấp thụ được photon nào
D. chỉ hấp thụ được 1 photon có năng lượng 12,75eV
- Khi nguyên tử Hidro ở trạng thái cơ bản:
- Khi chiếu lần lượt hai photon có năng lượng 10,2eV và 12,75eV vào đám nguyên tử Hidro ở trạng thái cơ bản thì đám nguyên tử này hấp thụ được 2 photon trên nếu thoả mãn:
⇒ Đám nguyên tử hấp thụ được cả hai photon.
Chọn đáp án B
Câu 26: Trong quang phổ vạch của Hidro: Khi ê lectron từ quỹ đạo N chuyển về L thì phát ra phô tôn có bước sóng λ1, khi electron từ quỹ đạo L chuyển về quỹ đạo K thì phát ra phô tôn có bước sóng λ2. Khi ê lectron từ quỹ đạo N chuyển về quỹ đạo K thì phát ra phô tôn có bước sóng là:
- Khi electron chuyển từ quỹ đạo N về quỹ đạo L ta có:
- Khi electron chuyển từ quỹ đạo L về quỹ đạo K ta có:
- Khi electron chuyển từ quỹ đạo N về quỹ đạo K ta có:
Chọn đáp án A
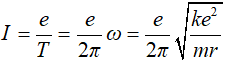
Câu 27: Xét nguyên tử hiđrô theo mẫu nguyên tử Bo. Khi êlectron chuyển động trên quỹ đạo tròn thì tương đương như một dòng điện tròn. Tỉ số cường độ dòng điện tròn của êlectron khi nguyên tử ở quỹ đạo dừng M và K là:
A. 1/3 B. 1/9
C. 1/27 D. 1/81
- Các electron chuyển động tròn dưới tác dụng của lực Culong.
- Ta có:
- Khi ta coi chuyển động của electron giống như một dòng điện tròn thì cường độ dòng điện tròn được tính theo công thức:
- Do đó ta có tỉ số cường độ dòng điện khi electron chuyển động trên quỹ đạo dừng M (n = 1)và K(n = 1) là:
Chọn đáp án A
Câu 28: iết năng lượng ứng với các trạng thái dừng của nguyên tử hiđrô được tính theo biểu thức:
(E0 là hằng số dương, n = 1,2,3,...).
- Một đám nguyên tử hiđrô đang ở trạng thái cơ bản. Khi chiếu bức xạ có tần số f1 vào đám nguyên tử này thì chúng phát ra tối đa 3 bức xạ. Khi chiếu bức xạ có tần số f2 = 0,8f1 vào đám nguyên tử này thì chúng phát ra tối đa là:
A. 10 bức xạ. B. 6 bức xạ.
C. 4 bức xạ. D. 15 bức xạ.
- Khi chiếu bức xạ có tần số f1 vào vào đám nguyên tử thì chúng phát ra tối đa 3 bức xạ:
- Khi chiếu bức xạ có tần số f2 = 1,08f1 thì:
- Từ (1) và (2):
⇒ Phát ra tối đa:
Chọn đáp án A
Câu 29: Trong nguyên tử Hiđrô, bán kính Bo là r0 =5,3.10-11m. Bán kính quỹ đạo dừng của trạng thái kích thích thứ 3 là:
A. 132,5.10-11m.
B. 21,2.10-11m.
C. 84,8.10-11m.
D. 47,7.1010-11m.
- Trạng thái kích thích thứ 3 ứng với quỹ đạo dừng N (K,L,M,N).
- Tức là n = 4. Vậy bán kính là :
Chọn đáp án C
Câu 30: Khi êlectron ở quỹ đạo dừng K thì năng lượng của nguyên tử hiđrô là –13,6eV còn khi ở quỹ đạo dừng M thì năng lượng đó là –1,5eV. Khi êlectron chuyển từ quỹ đạo dừng M về quỹ đạo dừng K thì nguyên tử hiđrô phát ra phôtôn ứng với bức xạ có bước sóng:
A. 102,7 pm. B. 102,7 mm.
C. 102,7 μm. D. 102,7 nm.
- Năng lượng của photon phát ra:
Chọn đáp án D
(199k) Học Vật Lí 12 KNTTHọc Vật Lí 12 CDHọc Vật Lí 12 CTST
Xem thêm Bài tập trắc nghiệm Vật Lí 12 có đáp án hay khác:
- 15 bài tập trắc nghiệm Sơ lược về Laze
- 30 bài tập ôn tập Lượng tử ánh sáng (có đáp án)
- 30 bài tập ôn tập Lượng tử ánh sáng (có đáp án - phần 2)
- 30 bài tập trắc nghiệm Tính chất và cấu tạo hạt nhân (có lời giải)
- 30 bài tập trắc nghiệm Tính chất và cấu tạo hạt nhân (có đáp án - phần 2)
Đã có app VietJack trên điện thoại, giải bài tập SGK, SBT Soạn văn, Văn mẫu, Thi online, Bài giảng....miễn phí. Tải ngay ứng dụng trên Android và iOS.
Theo dõi chúng tôi miễn phí trên mạng xã hội facebook và youtube:Nếu thấy hay, hãy động viên và chia sẻ nhé! Các bình luận không phù hợp với nội quy bình luận trang web sẽ bị cấm bình luận vĩnh viễn.
- Giải Tiếng Anh 12 Global Success
- Giải sgk Tiếng Anh 12 Smart World
- Giải sgk Tiếng Anh 12 Friends Global
- Lớp 12 Kết nối tri thức
- Soạn văn 12 (hay nhất) - KNTT
- Soạn văn 12 (ngắn nhất) - KNTT
- Giải sgk Toán 12 - KNTT
- Giải sgk Vật Lí 12 - KNTT
- Giải sgk Hóa học 12 - KNTT
- Giải sgk Sinh học 12 - KNTT
- Giải sgk Lịch Sử 12 - KNTT
- Giải sgk Địa Lí 12 - KNTT
- Giải sgk Giáo dục KTPL 12 - KNTT
- Giải sgk Tin học 12 - KNTT
- Giải sgk Công nghệ 12 - KNTT
- Giải sgk Hoạt động trải nghiệm 12 - KNTT
- Giải sgk Giáo dục quốc phòng 12 - KNTT
- Giải sgk Âm nhạc 12 - KNTT
- Giải sgk Mĩ thuật 12 - KNTT
- Lớp 12 Chân trời sáng tạo
- Soạn văn 12 (hay nhất) - CTST
- Soạn văn 12 (ngắn nhất) - CTST
- Giải sgk Toán 12 - CTST
- Giải sgk Vật Lí 12 - CTST
- Giải sgk Hóa học 12 - CTST
- Giải sgk Sinh học 12 - CTST
- Giải sgk Lịch Sử 12 - CTST
- Giải sgk Địa Lí 12 - CTST
- Giải sgk Giáo dục KTPL 12 - CTST
- Giải sgk Tin học 12 - CTST
- Giải sgk Hoạt động trải nghiệm 12 - CTST
- Giải sgk Âm nhạc 12 - CTST
- Lớp 12 Cánh diều
- Soạn văn 12 Cánh diều (hay nhất)
- Soạn văn 12 Cánh diều (ngắn nhất)
- Giải sgk Toán 12 Cánh diều
- Giải sgk Vật Lí 12 - Cánh diều
- Giải sgk Hóa học 12 - Cánh diều
- Giải sgk Sinh học 12 - Cánh diều
- Giải sgk Lịch Sử 12 - Cánh diều
- Giải sgk Địa Lí 12 - Cánh diều
- Giải sgk Giáo dục KTPL 12 - Cánh diều
- Giải sgk Tin học 12 - Cánh diều
- Giải sgk Công nghệ 12 - Cánh diều
- Giải sgk Hoạt động trải nghiệm 12 - Cánh diều
- Giải sgk Giáo dục quốc phòng 12 - Cánh diều
- Giải sgk Âm nhạc 12 - Cánh diều


Giải bài tập SGK & SBT
Tài liệu giáo viên
Sách
Khóa học
Thi online
Hỏi đáp

