16 bài tập trắc nghiệm Tia X (có đáp án)
Với 16 bài tập & câu hỏi trắc nghiệm Tia X lớp 12 có đáp án và lời giải chi tiết đầy đủ các mức độ nhận biết, thông hiểu, vận dụng sẽ giúp học sinh ôn trắc nghiệm Vật Lí 12.
16 bài tập trắc nghiệm Tia X (có đáp án)
(199k) Học Vật Lí 12 KNTTHọc Vật Lí 12 CDHọc Vật Lí 12 CTST
Câu 1: Tia hồng ngoại, tia tử ngoại và tia Rơn – ghen không có tính chất chung nào nêu dưới đây?
A. Đều có bước sóng nhỏ hơn so với ánh sáng nhìn thấy
B. Đều là sóng điện từ
C. Đều có tốc độ bằng nhau trong chân không
D. Đều có tính chất sóng
- Tia hồng ngoại, tia tử ngoại và tia Rơn – ghen có bước sóng trong các vùng khác nhau.
Chọn đáp án A
Câu 2: Tìm phát biểu sai.
- Tia Rơn – ghen:
A. có tần số càng lớn thì khả năng đâm xuyên càng kém
B. có tác dụng lên kính ảnh
C. khi chiếu tới một số chất có thể làm chúng phát sáng
D. khi chiếu tới một chất khí có thể làm chất khí đó trở nên dẫn điện
- Tia hồng ngoại có bản chất là các bức xạ điện từ có bước sóng lớn hơn bước sóng ánh sáng đỏ và nhỏ hơn bước sóng của sóng vô tuyến. (1mm ≥ λ ≥ 0,76µm).
- Tia tử ngoại có bản chất là các bức xạ điện từ có bước sóng nhỏ hơn bước sóng của ánh sáng tím. (0,38 µm ≥ λ ≥ 10-9 m).
- Tia X có bản chất là các bức xạ điện từ có bước sóng nhỏ hơn bước sóng của tia tử ngoại. (10-8 m ≥ λ ≥ 10-11m).
Chọn đáp án A
Câu 3: Tia Rơn – ghen:
A. trong chân không có tốc độ nhỏ hơn tốc độ ánh sáng
B. có tốc độ không phụ thuộc vào môi trường
C. có tác dụng dủy diệt tế bào
D. bị lệch đường khi đi qua vùng có điện trường hay từ trường
- Tia Rơn – ghen là một loại sóng điện từ, giống như sóng ánh sáng nên có tốc độ phụ thuộc vào môi trường. Tia Rơn – ghen không mang điện nên không bị lệch đường đi trong điện trường hoặc từ trường.
Chọn đáp án C
Câu 4: Nguyên tắc phát ra tia Rơn – ghen trong ống Rơn – ghen là:
A. Cho chùm phôtôn có bước sóng ngắn hơn giới hạn nào đó chiếu vào một tấm kim loại có nguyên tử lượng lớn
B. Cho chùm êlectron có vận tốc lớn đập vào tấm kim loại có nguyên tử lượng lớn
C. Nung nóng các vật có tỉ khối lớn lên nhiệt độ rất cao
D. Chiếu tia âm cực vào các chất có tính phát quang
- Nguyên tắc phát ra tia Rơn – ghen trong ống Rơn – ghen là:
Các êlectrôn từ âm cực (Catôt) được tăng tốc trong điện trường mạnh nên có động năng lớn. Khi êlectrôn đập vào đối âm cực (đối catôt), chúng xuyên qua lớp vỏ nguyên tử, tương tác với hạt nhân và e ở bên trong và phát ra sóng điện từ có λ cực ngắn, gọi là bức xạ hãm.
Chọn đáp án B
Câu 5: Trong ống Rơn – ghen, phần lớn động năng của các êlectron khi đến đối catôt:
A. bị phản xạ trở lại
B. truyền qua đối catôt
C. chuyển thành năng lượng tia Rơn – ghen
D. chuyển thành nội năng làm nóng đối catôt
- Trong ống Rơn – ghen, phần lớn động năng của các êlectron khi đến đối catôt chuyển thành nội năng làm nóng đối catôt.
Chọn đáp án D
Câu 6: Tia X không có công dụng:
A. làm tác nhân gây ion hóa
B. chữa bệnh ung thư
C. sưởi ấm
D. chiếu điện, chụp điện
- Tia X không có công dụng sưởi ấm.
Chọn đáp án C
Câu 7: Tia X có bản chất là:
A. chùm êlectron có tốc độ rất lớn
B. chùm ion phát ra từ catôt bị đốt nóng
C. sóng điện từ có bước sóng rất lớn
D. sóng điện từ có tần số rất lớn
- Tia X có bản chất là các bức xạ điện từ có tần số rất lớn, bước sóng nhỏ hơn bước sóng của tia tử ngoại. (10-8 m ≥ λ ≥ 10-11m).
Chọn đáp án D
Câu 8: Trong thí nghiệm tạo tia X ở ống phát tia Rơn – ghen, điện áp đặt vào anôt và catôt của ống là U. Động năng ban đầu của các êlectron khi bứt ra khỏi catôt không đáng kể. Bước sóng nhỏ nhất của các tia X được phát ra sẽ:
A. tỉ lệ thuận với U
B. tỉ lệ nghịch với U
C. tỉ lệ thuận với √U
D. tỉ lệ nghịch với √U
- Bước sóng nhỏ nhất của các tia X là:
- Suy ra bước sóng nhỏ nhất của các tia X được phát ra sẽ tỉ lệ nghịch với U.
Chọn đáp án B
Câu 9: Hiệu điện thế giữa anôt và catôt của một ống phát tia Rơn – ghen là 18,85 kV. Bỏ qua động năng ban đầu của êlectron. Bước sóng nhỏ nhất của tia Rơn – ghen do ống phát ra là:
A. 6,6.10-7 m
B. 2,2.10-10 m
C. 6,6.10-8 m
D. 6,6.10-11 m
- Ta có:
Chọn đáp án D
Câu 10: Bước sóng ngắn nhất của tia Rơn – ghen phát ra từ một ống phát tia Rơn – ghen là 0,8 Å. Hiệu điện thế giữa hai cực của ống đó là:
A. 15,5.104 V
B. 15,5.103 V
C. 5,2.104 V
D. 5,2.103 V
Chọn đáp án B
Câu 11: Một ống phát tia X phóng ra chùm tia X có bước sóng nhỏ nhất là 0,854 nm. Nếu tăng điện áp giữa anôt và catôt thêm 40% điện áp ban đầu thì tia X do ống phát ra có bước sóng nhỏ nhất là:
A. 0,52 nm B. 0,61 nm
C. 0,68 nm D. 0,75 nm
- Ta có:
- Suy ra:
Chọn đáp án B
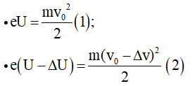
Câu 12: Khi hiệu điện thế U giữa hai cực của ống phát tia X giảm 2 kV thì tốc độ của êlectron tại đối catôt giảm 8.106 m/s. Tốc độ của êlectron tại đối catôt lúc hiệu điện thế chưa giảm là:
A. 3,5.107 m/s
B. 8,2.106 m/s
C. 7,6.106 m/s
D. 4,8.107 m/s
- Ta có:
- Từ (1) và (2):
Chọn đáp án D
Câu 13: Một ống phát tia Rơn – ghen phát ra tia Rơn – ghen có bước sóng nhỏ nhất là 2 nm. Biết khối lượng của êlectron là me = 9,1.10-31 kg. Tốc độ cực đại của các êlectron đập vào anôt là:
A. 1,47.107 m/s
B. 2,18.107 m/s
C. 1,47.108 m/s
D. 2,18.106 m/s
- Ta có:
Chọn đáp án A
Câu 14: Một ống phát tia X phát ra chùm tia X có bước sóng nhỏ nhất là 0,78 nm. Nếu tăng điện áp giữa anôt và catôt thêm 20% điện áp ban đầu thì tia X có bước sóng nhỏ nhất là:
A. 0,65 nm B. 0,55 nm
C. 0,68 nm D. 0,72 nm
- Lập các phương trình:
Chọn đáp án A
Câu 15: Nếu tăng hiệu điện thế giữa hai cực của ống phát tia Rơn – ghen thêm 3 kV thì tốc độ của các êlectron đến anôt tăng thêm 1,2.107 m/s. Khi chưa tăng hiệu điện thế, tốc độ của các êlectron khi đến anôt là:
A. 3,8.107 m/s
B. 8,8.107 m/s
C. 9,4.107 m/s
D. 10.107 m/s
- Giải hệ:
- Ta có:
Chọn đáp án A
Câu 16: Trong ống phát tia Rơn – ghen, hiệu điện thế giữa anôt và catôt là 20 kV, dòng điện trong ống là 10 mA. Chỉ có 0,5% động năng của chùm êlectron khi đập vào anôt được chuyển thành năng lượng của tia X. Chùm tia X có công suất là:
A. 0,1 W B. 1 W
C. 2 W D. 10 W
- Chùm tia X có công suất là:
Chọn đáp án B
(199k) Học Vật Lí 12 KNTTHọc Vật Lí 12 CDHọc Vật Lí 12 CTST
Xem thêm Bài tập trắc nghiệm Vật Lí 12 có đáp án hay khác:
- 30 bài tập ôn tập Sóng ánh sáng (có đáp án)
- 30 bài tập ôn tập Sóng ánh sáng (có đáp án - phần 2)
- 29 bài tập trắc nghiệm Hiện tượng quang điện; Thuyết lượng tử ánh sáng (có lời giải)
- 29 bài tập trắc nghiệm Hiện tượng quang điện; Thuyết lượng tử ánh sáng (có đáp án - phần 2)
Đã có app VietJack trên điện thoại, giải bài tập SGK, SBT Soạn văn, Văn mẫu, Thi online, Bài giảng....miễn phí. Tải ngay ứng dụng trên Android và iOS.
Theo dõi chúng tôi miễn phí trên mạng xã hội facebook và youtube:Nếu thấy hay, hãy động viên và chia sẻ nhé! Các bình luận không phù hợp với nội quy bình luận trang web sẽ bị cấm bình luận vĩnh viễn.
- Giải Tiếng Anh 12 Global Success
- Giải sgk Tiếng Anh 12 Smart World
- Giải sgk Tiếng Anh 12 Friends Global
- Lớp 12 Kết nối tri thức
- Soạn văn 12 (hay nhất) - KNTT
- Soạn văn 12 (ngắn nhất) - KNTT
- Giải sgk Toán 12 - KNTT
- Giải sgk Vật Lí 12 - KNTT
- Giải sgk Hóa học 12 - KNTT
- Giải sgk Sinh học 12 - KNTT
- Giải sgk Lịch Sử 12 - KNTT
- Giải sgk Địa Lí 12 - KNTT
- Giải sgk Giáo dục KTPL 12 - KNTT
- Giải sgk Tin học 12 - KNTT
- Giải sgk Công nghệ 12 - KNTT
- Giải sgk Hoạt động trải nghiệm 12 - KNTT
- Giải sgk Giáo dục quốc phòng 12 - KNTT
- Giải sgk Âm nhạc 12 - KNTT
- Giải sgk Mĩ thuật 12 - KNTT
- Lớp 12 Chân trời sáng tạo
- Soạn văn 12 (hay nhất) - CTST
- Soạn văn 12 (ngắn nhất) - CTST
- Giải sgk Toán 12 - CTST
- Giải sgk Vật Lí 12 - CTST
- Giải sgk Hóa học 12 - CTST
- Giải sgk Sinh học 12 - CTST
- Giải sgk Lịch Sử 12 - CTST
- Giải sgk Địa Lí 12 - CTST
- Giải sgk Giáo dục KTPL 12 - CTST
- Giải sgk Tin học 12 - CTST
- Giải sgk Hoạt động trải nghiệm 12 - CTST
- Giải sgk Âm nhạc 12 - CTST
- Lớp 12 Cánh diều
- Soạn văn 12 Cánh diều (hay nhất)
- Soạn văn 12 Cánh diều (ngắn nhất)
- Giải sgk Toán 12 Cánh diều
- Giải sgk Vật Lí 12 - Cánh diều
- Giải sgk Hóa học 12 - Cánh diều
- Giải sgk Sinh học 12 - Cánh diều
- Giải sgk Lịch Sử 12 - Cánh diều
- Giải sgk Địa Lí 12 - Cánh diều
- Giải sgk Giáo dục KTPL 12 - Cánh diều
- Giải sgk Tin học 12 - Cánh diều
- Giải sgk Công nghệ 12 - Cánh diều
- Giải sgk Hoạt động trải nghiệm 12 - Cánh diều
- Giải sgk Giáo dục quốc phòng 12 - Cánh diều
- Giải sgk Âm nhạc 12 - Cánh diều


Giải bài tập SGK & SBT
Tài liệu giáo viên
Sách
Khóa học
Thi online
Hỏi đáp

