Trắc nghiệm tổng hợp Dao động và sóng điện từ (có lời giải)
Bài tập trắc nghiệm tổng hợp Dao động và sóng điện từ lớp 12 có lời giải chi tiết với bài tập đa dạng sẽ giúp học sinh ôn luyện trắc nghiệm Vật Lí 12.
Trắc nghiệm tổng hợp Dao động và sóng điện từ (có lời giải)
(199k) Học Vật Lí 12 KNTTHọc Vật Lí 12 CDHọc Vật Lí 12 CTST
Bài 1: Một mạch chọn sóng của một máy thu gồm một cuộn cảm thuần có độ tự cảm L = 0,1 mH và tụ điện có điện dung thay đổi được từ 10 pF đến 1000 pF. Máy thu có thể thu được tất cả các sóng vô tuyến có dải sóng nằmg trong khoảng:
A. 12,84 m ÷ 128,4 m
B. 59,6 m ÷ 596 m
C. 62 m ÷ 620 m
D. 35,5 m ÷ 355 m
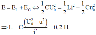
- Ta có:
Chọn đáp án B
Bài 2: Mạch dao động LC, khi điện áp giữa hai đầu cuộn cảm bằng 1,2 V thì cường độ dòng điện trong mạch bằng 1,8 mA. Khi điện áp giữa hai đầu cuộn cảm bằng 0,9 V thì cường độ dòng điện trong mạch bằng 2,4 mA. Biết độ tự cảm của cuộn dây là 5 mH. Điện dung của tụ và năng lượng dao động điện từ trong mạch bằng:
A. 10 nF và 25.10-10 J
B. 20 nF và 5.10-10 J
C. 20 nF và 2,25.10-8 J
D. 10 nF và 3.10-10 J
- Ta có:
Chọn đáp án C
Bài 3: Một mạch dao động của máy thu vô tuyến có tụ điện với điện dung C và cuộn cảm thuần với độ tự cảm L, thu được sóng điện từ có bước sóng 20 m. Để thu được sóng điện từ có bước sóng 40 m, người ta phải mắc song song với tụ điện của mạch dao động trên một tụ điện có điện dung C bằng:
A. 4C B. C
C. 2C D. 3C
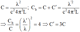
- Ta có:
Chọn đáp án D
Bài 4: Một mạch dao động của máy thu vô tuyến điện gồm một cuộn cảm thuần có độ tự cảm L = 12 µH với điện trở không đáng kể và một tụ điện có điện dung có thể điều chỉnh được. Để thu được các sóng vô tuyến có bước sóng từ 10 m tới 160 m thì điện dung của tụ điện phải có giá trị trong khoảng từ:
A. 2,35 pF tời 600 pF
B. 4,3 pF tới 560 pF
C. 4,5 pF tới 600 pF
D. 2,35 pF tới 300 pF
- Ta có:
- Để thu được các sóng vô tuyến có bước sóng từ 10 m tới 160 m thì điện dung của tụ điện phải có giá trị trong khoảng từ 2,35 pF tời 600 pF.
Chọn đáp án A
Bài 5: Một mạch dao động điện từ lý tưởng, tụ có điện dung C = 0,2 µF đang dao động điện từ tự do với hiệu điện thế cực đại trên tụ là U0 = 13 V. Biết khi hiệu điện thế trên tụ là 12 V thì cường độ dòng điện trong mạch 5 mA. Chu kì dao động riêng của mạch bằng:
A. 4.10-4 s. B. 4π.10-4 s.
C. 24π.10-4 s. D. 2.10-4 s.
- Năng lượng của mạch dao động:
→ Chu kì của mạch LC:
Chọn đáp án B
Bài 6: Một mạch dao động LC gồm tụ điện C = 8 nF và cuộn cảm L = 8 mH. Nạp điện cho tụ điện đến điện áp 6 V rồi cho phóng điện qua cuộn cảm. Cường độ dòng điện qua cuộn cảm có giá trị cực đại bằng:
A. 12 A. B. 17 mA.
C. 8,5 mA. D. 6 mA.
- Nạp điện cho tụ đến điện áp 6V → U0 = 6V.
Chọn đáp án D
Bài 7: Mạch dao động gồm cuộn dây có độ tự cảm L = 30 µH, một tụ điện có C = 3000 pF. Điện trở thuần của mạch dao động là 1 Ω. Để duy trì dao động điện từ trong mạch với hiệu điện thế cực đại trên tụ điện là 6 V phải cung cấp cho mạch một năng lượng điện có công suất:
A. 0,18 W. B. 1,8 mW.
C. 1,8 W. D. 5,5 mW.
- Cường độ dòng điện cực đại trong mạch:
- Năng lượng cần cung cấp để duy trì dao động của mạch phải có công suất bằng công suất tỏa nhiệt trên điện trở:
Chọn đáp án A
Bài 8: Trong mạch LC lý tưởng, điện tích cực đại trên tụ và dòng điện cực đại qua cuộn cảm lần lượt là Q0 = 10-5 C và I0 = 10 A. Lấy π = 3,14. Bước sóng điện từ do mạch bắt được nhận giá trị nào sau đây?
A. 188,4 m. B. 376,8 m.
C. 1884 m. D. 314 m.
- Tần số góc của mạch dao động:
→ Bước sóng mà mạch bắt được:
Chọn đáp án C
Bài 9: Mạch dao động LC gồm tụ C = 200 nF và cuộn thuần cảm L = 2 mH. Biết cường độ dòng điện cực đại trên L là I0 = 0,5 A. Khi cường độ dòng điện trên L là i = 0,4 A thì hiệu điện thế giữa hai bản tụ là:
A. 10 V. B. 20 V.
C. 30 V. D. 40 V.
- Hiệu điện thế cực đại giữa hai bản tụ:
→ Hiệu điện thế trên hai bản tụ khi i = 0,4 A là:
Chọn đáp án C
Bài 10: Trong một mạch dao động LC lý tưởng đang có dao động điện từ tự do. Khoảng thời gian ngắn nhất để cường độ dòng điện qua cuộn cảm giảm từ độ lớn cực đại xuống còn một nửa độ lớn cực đại là 800 µs. Khoảng thời gian ngắn nhất để năng lượng từ trường trong mạch giảm từ độ lớn cực đại xuống còn một nửa giá trị đó là:
A. 800 µs. B. 1200 µs.
C. 600 µs. D. 400 µs.
- Khoảng thời gian ngắn nhất để dòng điện giảm từ giá trị cực đại xuống còn một nửa giá trị cực đại là:
- Năng lượng từ trường trong mạch giảm từ cực đại đến còn một nửa trong khoảng thời gian:
Chọn đáp án C
Bài 11: Trong mạch dao động điện từ LC, điện tích cực đại của bản tụ điện là Q0, cường độ dòng điện cực đại là I0. Tần số dao động điện từ tự do trong mạch là:
- Tần số dao động điện từ tự do trong mạch là:
Chọn đáp án B
Bài 12: Cường độ tức thời của dòng điện trong một mạch dao động là i = 0,15sin2000t (A). Tụ điện trong mạch có điện dung C = 2 µF. Điện áp cực đại trên tụ điện là:
A. 3,75 V B. 7,5 V
C. 37,5 V D. 75 V
- Ta có:
Chọn đáp án C
Bài 13: Một mạch dao động điện từ gồm cuộn cảm thuần có độ tự cảm L = 1 mH và tụ điện có điện dung C = 1,6 µF. Biết năng lượng dao động của mạch là W = 2.10-5J. Tại thời điểm ban đầu (t = 0) cường độ dòng điện qua cuộn dây có giá trị cực đại. Biểu thức để tính cường độ dòng điện trong mạch là:
A. i = 0,002cos(5.104t) (A)
B. i = 0,2cos(2,5.104t) (A)
C. i = 2 cos(2,5.105t - π) (A)
D. i = 0,2cos(5.105t) (A)
- Ta có:
- Tại thời điểm ban đầu (t = 0) cường độ dòng điện qua cuộn dây có giá trị cực đại.
- Do đó i = 0,2cos(2,5.104t) (A)
Chọn đáp án B
Bài 14: Một mạch dao động điện từ lí tưởng đang có dao động điện từ tự do. Tại thời điểm t = 0, điện tích trên một bản tụ điện đạt giá trị cực đại. Sau khoảng thời gian ngắn nhất 5.10-7 s thì năng lượng điện trường bằng năng lượng từ trường trong mạch dao động. Chu kì dao động riêng của mạch dao động này là:
A. 2.10-6 s B. 3.10-6 s
C. 1,5.10-6 s D. 4.10-6 s
- Tại t = 0, q = Q0, i = 0
- Tại t = 5.10-7s, WL = WC = 0,5W
Chọn đáp án D
Bài 15: Cường độ tức thời của dòng điện trong một mạch dao động là i = 4sin2000t (mA). Tụ điện trong mạch có điện dung C = 0,25 µF. Năng lượng cực đại của tụ điện là:
A. 8.10-6 s B. 4.10-6 s
C. 1,6.10-5 s D. 4.10-5 s
- Ta có:
Chọn đáp án A
(199k) Học Vật Lí 12 KNTTHọc Vật Lí 12 CDHọc Vật Lí 12 CTST
Xem thêm Bài tập trắc nghiệm Vật Lí 12 có đáp án hay khác:
- Trắc nghiệm tổng hợp Dao động và sóng điện từ (có lời giải - phần 2)
- Trắc nghiệm Tán sắc ánh sáng (có lời giải)
- Trắc nghiệm Tán sắc ánh sáng (có đáp án - phần 2)
- Trắc nghiệm Giao thoa ánh sáng (có lời giải)
- Trắc nghiệm Giao thoa ánh sáng (có đáp án - phần 2)
Đã có app VietJack trên điện thoại, giải bài tập SGK, SBT Soạn văn, Văn mẫu, Thi online, Bài giảng....miễn phí. Tải ngay ứng dụng trên Android và iOS.
Theo dõi chúng tôi miễn phí trên mạng xã hội facebook và youtube:Nếu thấy hay, hãy động viên và chia sẻ nhé! Các bình luận không phù hợp với nội quy bình luận trang web sẽ bị cấm bình luận vĩnh viễn.
- Giải Tiếng Anh 12 Global Success
- Giải sgk Tiếng Anh 12 Smart World
- Giải sgk Tiếng Anh 12 Friends Global
- Lớp 12 Kết nối tri thức
- Soạn văn 12 (hay nhất) - KNTT
- Soạn văn 12 (ngắn nhất) - KNTT
- Giải sgk Toán 12 - KNTT
- Giải sgk Vật Lí 12 - KNTT
- Giải sgk Hóa học 12 - KNTT
- Giải sgk Sinh học 12 - KNTT
- Giải sgk Lịch Sử 12 - KNTT
- Giải sgk Địa Lí 12 - KNTT
- Giải sgk Giáo dục KTPL 12 - KNTT
- Giải sgk Tin học 12 - KNTT
- Giải sgk Công nghệ 12 - KNTT
- Giải sgk Hoạt động trải nghiệm 12 - KNTT
- Giải sgk Giáo dục quốc phòng 12 - KNTT
- Giải sgk Âm nhạc 12 - KNTT
- Giải sgk Mĩ thuật 12 - KNTT
- Lớp 12 Chân trời sáng tạo
- Soạn văn 12 (hay nhất) - CTST
- Soạn văn 12 (ngắn nhất) - CTST
- Giải sgk Toán 12 - CTST
- Giải sgk Vật Lí 12 - CTST
- Giải sgk Hóa học 12 - CTST
- Giải sgk Sinh học 12 - CTST
- Giải sgk Lịch Sử 12 - CTST
- Giải sgk Địa Lí 12 - CTST
- Giải sgk Giáo dục KTPL 12 - CTST
- Giải sgk Tin học 12 - CTST
- Giải sgk Hoạt động trải nghiệm 12 - CTST
- Giải sgk Âm nhạc 12 - CTST
- Lớp 12 Cánh diều
- Soạn văn 12 Cánh diều (hay nhất)
- Soạn văn 12 Cánh diều (ngắn nhất)
- Giải sgk Toán 12 Cánh diều
- Giải sgk Vật Lí 12 - Cánh diều
- Giải sgk Hóa học 12 - Cánh diều
- Giải sgk Sinh học 12 - Cánh diều
- Giải sgk Lịch Sử 12 - Cánh diều
- Giải sgk Địa Lí 12 - Cánh diều
- Giải sgk Giáo dục KTPL 12 - Cánh diều
- Giải sgk Tin học 12 - Cánh diều
- Giải sgk Công nghệ 12 - Cánh diều
- Giải sgk Hoạt động trải nghiệm 12 - Cánh diều
- Giải sgk Giáo dục quốc phòng 12 - Cánh diều
- Giải sgk Âm nhạc 12 - Cánh diều


Giải bài tập SGK & SBT
Tài liệu giáo viên
Sách
Khóa học
Thi online
Hỏi đáp

