Trắc nghiệm tổng hợp Sóng ánh sáng (có lời giải - phần 2)
Bài tập trắc nghiệm tổng hợp Sóng ánh sáng lớp 12 có lời giải chi tiết với bài tập đa dạng sẽ giúp học sinh ôn luyện trắc nghiệm Vật Lí 12.
Trắc nghiệm tổng hợp Sóng ánh sáng (có lời giải - phần 2)
(199k) Học Vật Lí 12 KNTTHọc Vật Lí 12 CDHọc Vật Lí 12 CTST
Bài 16: Một bể nước sâu 1m. Một chùm tia sáng Mặt Trời rọi vào mặt nước dưới góc tới i sao cho sini = 0,6. Chiết suất của nước đối với ánh sáng đỏ và tím lần lượt là 1,331 và 1,345. Để hai vệt sáng đỏ và tím ở đáy bể hoàn toàn tách rời nhau thì độ rộng của chùm sáng không vượt quá giá trị nào sau đây?
A. 0,75mm B. 5,06mm
C. 7,5mm D. 5,6mm
- Áp dụng định luật khúc xạ với tia đỏ và tia tím:
- Độ rộng vệt sáng dưới đáy bể là:
- Để hai vệt sáng đỏ và tím ở đáy bể hoàn toàn tách rời nhau thì độ rộng của chùm sáng không vượt quá giá trị:
Chọn đáp án B
Bài 17: Trong thí nghiệm Y-âng về giao thoa ánh sáng, nguồn sáng phát đồng thời hai bức xạ đơn sắc có bước sóng lần lượt là λ1 = 0,525 μm; λ2 = 0,675 μm. Khoảng cách giữa hai khe hẹp là a = 1mm, khoảng cách từ mặt phẳng chứa hai khe đến màn quan sát là D = 1,2m. Hỏi trên màn quan sát, xét một vùng giao thoa bất kì có bề rộng L = 18mm thì có thể có tối đa bao nhiêu vân tối?
A. 5 B. 4
C. 6 D. 3
- Khoảng vân của ánh sáng 1 là:
- Khoảng vân của ánh sáng 2 là:
- Khi trên màn quan sát thấy vân tối thì đó là vân tối trùng nhau của hai ánh sáng 1 và 2. Xét tỉ số:
- Chuyển bài toán thành bài toán giao thoa với ánh sáng có bước sóng I’= 0,63.9 = 5,67mm
→ Trong miền L = 18mm có số vân tối là:
- Vậy nếu ở hai đầu là vân tối thì số vân tối nhiều nhất có thể là 4 vân.
Chọn đáp án B
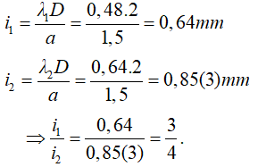
Bài 18: Thí nghiệm về giao thoa ánh sáng với a = 1,5mm; D = 2m. Nguồn S phát đồng thời hai bức xạ đơn sắc có bước sóng λ1 = 0,48µm và λ2 = 0,64µm. Trên bề rộng của màn L = 7,68mm( vân trung tâm nằm ở chính giữa khoảng đó) có số vị trí hai vân trùng nhau là:
A. 4 B. 2
C. 3 D. 5
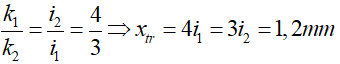
- Khoảng vân tương ứng với hai bức xạ lần lượt là:
- Để tìm số vân sáng trùng nhau ta coi như hệ giao thoa của 1 ánh sáng có khoảng vân là:
- Trong miền giao thoa có bề rộng L = 7,68mm có số vân sáng trùng nhau là:
Chọn đáp án C
Bài 19: Trong thí nghiệm Young bằng ánh sáng trắng ( có bước sóng từ 0,45µm đến 0,75µm), khoảng cách từ nguồn đến màn là 2m. Khoảng cách giữa hai nguồn là 2mm. Số bức xạ cho vân sáng tại M cách vân trung tâm 4mm là:
A. 3 B. 4
C. 5 D. 6
- Tại vị trí x = 4 có vân sáng tức là: 4 = k.i.
- Vậy có 3 bức xạ.
Chọn đáp án A
Bài 20: Trong thí nghiệm Y-âng về giao thoa ánh sáng, khoảng cách giữa hai khe hẹp bằng 1,2 mm và khoảng cách giữa hai khe đến màn bằng 1,6 m. Chiếu áng các khe bằng ánh sáng trắng có bước sóng từ 0,38µm đến 0,76µm. Tại điểm M cách vân trung tâm 6,4mm, bước sóng lớn nhất cho vân sáng tại M là:
A. 0,53 µm B. 0,69 µm.
C. 0,6 µm D. 0,48 µm
- Ta có:
- Vì thí nghiệm được thực hiện với ánh sáng trắng có bước sóng từ 0,38µm đến 0,76µm nên ta có:
- Bước sóng lớn nhất ứng với k nhỏ nhất k = 7, thay vào ta tìm được λ = 0,69µm
Chọn đáp án B
Bài 21: Giao thoa khe Y-âng trong không khí, ánh sáng được dùng có bước sóng λ, khoảng cách giữa hai khe và màn là 2,5 m. Khoảng vân đo được là 0,8 mm. Nếu nhúng toàn bộ thí nghiệm này trong chất lỏng có chiết suất n = 1,6 và dịch chuyển màn quan sát cách xa màn chứa hai khe thêm 0,5m thì khoảng vân bây giờ sẽ là:
A. 0,4 mm. B. 0,5mm
C. 0,2 mm. D. 0,6mm
- Khi D = 2,5m và thực hiện giao thoa trong không khí:
- Khi dịch màn ra xa thêm 0,5m thì D’ = 3m và thực hiện giao thoa trong môi trường có chiết suất 1,6 thì:
- Suy ra:
Chọn đáp án D
Bài 22: Thực hiện giao thoa khe Y-âng với hai bức xạ đơn sắc λ1 và λ2 thì khoảng vân tương ứng là i1 = 0,3 mm và i2 = 0,4 mm. Gọi A và B là hai điểm trên màn quan sát, nằm cùng một phía so với vân trung tâm và cách nhai 3mm. Biết tại A là vị trí vân sáng trùng nhau của hai bức xạ, nếu vị trí vân sáng trùng nhau chỉ tính một vân sáng thì số vân sáng quan sát được trên đoạn AB (kể cả A và B) là:
A. 15. B. 18.
C. 17. D. 16.
- Số vân sáng của bức xạ đơn sắc 1 thu được trên màn:
- Số vân sáng của bức xạ đơn sắc 2 thu được trên màn:
- Xét sự trùng nhau của hai bức xạ:
→ Số vân sáng trùng nhau của hai bức xạ là:
- Số vân sáng quan sát được trên màn là
Chọn đáp án A
Bài 23: Trong thí nghiệm giao thoa ánh sáng Y- âng, khoảng cách từ mặt phẳng hai khe đến màn là D = 2m, nguồn sáng S ( cách đều 2 khe) cách mặt phẳng hai khe một khoảng d = 1m phát ánh sáng đơn sắc có bước sóng λ = 0,75µm.
Bố trí thí nghiệm sao cho vị trí của nguồn sáng S, của mặt phẳng chứa hai khe S1, S2 và của màn ảnh được giữ cố định còn vị trí các khe S1, S2 trên màn có thể thay đổi nhưng luôn song song với nhau.
Lúc đầu trên màn thu được tại O là vân sáng trung tâm và khoảng cách giữa 5 vân sáng liên tiếp là 3 mm. Sau đó cố định vị trí khe S1 tịnh tiến khe S2 lại gần khe S1một đoạn Δa sao cho O là vân sáng.
- Giá trị nhỏ nhất của Δa là:
A. 1,0 mm. B. 2,5 mm.
C. 1,8 mm. D. 0,5 mm
- Ta có hình vẽ:
- Ta có:
- ΔSIM đồng dạng với ΔSOO:
Chọn đáp án D
Bài 24: Trong thí nghiêm Y-âng, nguồn S phát bức xạ đơn sắc λ, màn quan sát cách mặt phẳng hai khe một khoảng không đổi D, khoảng cách giữa hai khe S1S2 = a có thể thay đổi ( nhưng S1 và S2 luôn cách đều S).
Xét điểm M trên mà, lúc đầu là vân sáng bậc 4, nếu lần lượt giảm hoặc tăng khoảng cách S1S2 một lượng ∆a thì tại đó tương ứng là vân sáng bậc k hoặc 3k. Nếu tăng khoảng cách S1S2 thêm 2∆a thì tại M là:
A. Vân sáng bậc 8
B. vân tối thứ 9
C. vân sáng bậc 9.
D. vân sáng bậc 7.
- Áp dụng công thức tính vị trí vân sáng:
Chọn đáp án A
Bài 25: Một ánh sáng đơn sắc khi truyền từ môi trường (1) sang môi trường (2) thì bước sóng giảm đi 0,1mm và vận tốc lan truyền giảm đi 0,5.108 m/ s. Trong chân không, ánh sáng này có bước sóng:
A. 0,75 mm B. 0,4 mm
C. 0,6 mm D. 0,3 mm
- Khi ánh sáng truyền từ môi trường này sang môi trường khác thì tần số không đổi, nhưng vì các môi trường có chiết suất khác nhau nên vận tốc truyền sáng khác nhau và dẫn đến bước sóng thay đổi.
Chọn đáp án C
Bài 26: Thực hiện thí nghiệm Yâng về giao thoa với ánh sáng có bước sóng λ. Trên màn quan sát, tại điểm M có vân sáng. Giữ cố định các điều kiện khác, di chuyển dần màn quan sát dọc theo đường thẳng vuông góc với mặt phẳng chứa hai khe ra xa một đoạn nhỏ nhất là 0,4 m thì M chuyển thành vân tối. Dịch thêm một đoạn nhỏ nhất 1,6 m thì M lại là vân tối. Khoảng cách hai khe đến màn ảnh khi chưa dịch chuyển bằng:
A. 1 m. B. 3 m.
C. 2 m. D. 1,5 m.
- Khi chưa dịch chuyển màn quan sát tại M là vân sáng bậc k:
- Khi dịch chuyển màn ra xa thì khoảng vân giao thoa hứng được trên màn sẽ tăng → bậc vân sáng, tối tại M sẽ tương ứng giảm.
+ Dịch chuyển màn ra xa một đoạn ngắn nhất 0,4 m, tại M là vân tối:
+ Dịch chuyển thêm 1,6 m nữa thì M lại là vân tối:
- Từ các phương trình trên, ta có hệ:
Chọn đáp án C
Bài 27: Trong thí nghiệm Yâng về giao thoa ánh sáng. Khe hẹp S phát ra ánh sáng đơn sắc có bước sóng = 0,64 λm; khoảng cách từ S đến màn chứa hai khe F1 và F2 là 60 cm; biết F1F2= a = 0,3 mm, khoảng cách từ F1 và F2 đến màn quan sát là D = 1,5 m. Nguồn sáng Đ phải dịch chuyển một đoạn ngắn nhất bằng bao nhiêu theo phương song song với màn quan sát để trên màn vị trí vân sáng bậc 2 trở thành vân tối thứ 2 ?
A. 1,28 mm. B. 0,064 mm.
C. 0,64 mm. D. 0,40 mm.
- Gọi Δx là độ dịch chuyển của vân sáng, Δy là độ dịch chuyển của nguồn sáng.
→ Vân tối sáng bậc 2 thành vân tối bậc 2 → Δx = 0,5i.
Chọn đáp án C
Bài 28: Một tia sáng trắng chiếu tới bản hai mặt song song với góc tới i = 60°. Biết chiết suất của bản mặt đối với tia tím và tia đỏ lần lượt là 1,732 và 1,70. Bề dày của bản mặt e = 2 cm. Độ rộng của chùm tia khi ra khỏi bản mặt là:
A. 0,0146 m. B. 0,292 cm.
C. 0,146 cm. D. 0,0146 cm.
- Công thức tính độ rộng quang phổ qua bản mặt song song là:
- Theo công thức khúc xạ ánh sáng ta có:
- Thay số từ đề bài ta tìm được bề rộng quang phổ là: L = 0,0146cm
Chọn đáp án D
Bài 29: Trong thí nghiệm Y-âng về giao thoa ánh sáng, chiếu sáng các khe bằng bức xạ có bước sóng 600 nm. Khoảng cách giữa hai khe là 1 mm, khoảng cách từ mặt phẳng chứa hai khe đến màn quan sát là 2 m. Trên màn, tại điểm M cách vân trung tâm 2,4 mm có:
A. vân sáng bậc 3.
B. vân sáng bậc 4.
C. vân sáng bậc 1.
D. vân sáng bậc 2.
- Khoảng vân là:
- Tại vị trí: x = 2,4mm = 2i
⇒ Tại M là vân sáng bậc 2.
Chọn đáp án D
Bài 30: Trong thí nghiệm Yang về giao thoa ánh sáng, khoảng cách giữa hai khe là 1mm, khoảng cách từ hai khe đến màn quan sát là 2m. Nguồn sáng F phát ra đồng thời hai bức xạ có bước sóng λ1 = 500nm và λ2 = 750nm. Kích thước vùng giao thoa trên màn L = 30mm đối xứng hai bên vân trung tâm O. Số vạch màu quan sát được trên vùng giao thoa là:
A. 41 B. 42
C. 52 D. 31
- Khoảng vân:
⇒ Số vân sáng của bức xạ λ1 là:
- Khoảng vân:
⇒ Số vân sáng của bức xạ λ2 là:
- Vị trí vân sáng của hai bức xạ λ1 và λ2 trùng nhau thoả mãn:
⇒ Khoảng vân trùng:
⇒ Số vân sáng trùng nhau của hai bức xạ là:
- Vậy số vạch màu quan sát được trên vùng giao thoa:
Chọn đáp án A
(199k) Học Vật Lí 12 KNTTHọc Vật Lí 12 CDHọc Vật Lí 12 CTST
Xem thêm Bài tập trắc nghiệm Vật Lí 12 có đáp án hay khác:
- Trắc nghiệm Hiện tượng quang điện; Thuyết lượng tử ánh sáng (có lời giải)
- Trắc nghiệm Hiện tượng quang điện; Thuyết lượng tử ánh sáng (có đáp án - phần 2)
- Trắc nghiệm Hiện tượng quang điện trong (có lời giải)
- Trắc nghiệm Hiện tượng quang điện trong (có đáp án - phần 2)
- Trắc nghiệm Hiện tượng quang - phát quang (có lời giải)
Đã có app VietJack trên điện thoại, giải bài tập SGK, SBT Soạn văn, Văn mẫu, Thi online, Bài giảng....miễn phí. Tải ngay ứng dụng trên Android và iOS.
Theo dõi chúng tôi miễn phí trên mạng xã hội facebook và youtube:Nếu thấy hay, hãy động viên và chia sẻ nhé! Các bình luận không phù hợp với nội quy bình luận trang web sẽ bị cấm bình luận vĩnh viễn.
- Giải Tiếng Anh 12 Global Success
- Giải sgk Tiếng Anh 12 Smart World
- Giải sgk Tiếng Anh 12 Friends Global
- Lớp 12 Kết nối tri thức
- Soạn văn 12 (hay nhất) - KNTT
- Soạn văn 12 (ngắn nhất) - KNTT
- Giải sgk Toán 12 - KNTT
- Giải sgk Vật Lí 12 - KNTT
- Giải sgk Hóa học 12 - KNTT
- Giải sgk Sinh học 12 - KNTT
- Giải sgk Lịch Sử 12 - KNTT
- Giải sgk Địa Lí 12 - KNTT
- Giải sgk Giáo dục KTPL 12 - KNTT
- Giải sgk Tin học 12 - KNTT
- Giải sgk Công nghệ 12 - KNTT
- Giải sgk Hoạt động trải nghiệm 12 - KNTT
- Giải sgk Giáo dục quốc phòng 12 - KNTT
- Giải sgk Âm nhạc 12 - KNTT
- Giải sgk Mĩ thuật 12 - KNTT
- Lớp 12 Chân trời sáng tạo
- Soạn văn 12 (hay nhất) - CTST
- Soạn văn 12 (ngắn nhất) - CTST
- Giải sgk Toán 12 - CTST
- Giải sgk Vật Lí 12 - CTST
- Giải sgk Hóa học 12 - CTST
- Giải sgk Sinh học 12 - CTST
- Giải sgk Lịch Sử 12 - CTST
- Giải sgk Địa Lí 12 - CTST
- Giải sgk Giáo dục KTPL 12 - CTST
- Giải sgk Tin học 12 - CTST
- Giải sgk Hoạt động trải nghiệm 12 - CTST
- Giải sgk Âm nhạc 12 - CTST
- Lớp 12 Cánh diều
- Soạn văn 12 Cánh diều (hay nhất)
- Soạn văn 12 Cánh diều (ngắn nhất)
- Giải sgk Toán 12 Cánh diều
- Giải sgk Vật Lí 12 - Cánh diều
- Giải sgk Hóa học 12 - Cánh diều
- Giải sgk Sinh học 12 - Cánh diều
- Giải sgk Lịch Sử 12 - Cánh diều
- Giải sgk Địa Lí 12 - Cánh diều
- Giải sgk Giáo dục KTPL 12 - Cánh diều
- Giải sgk Tin học 12 - Cánh diều
- Giải sgk Công nghệ 12 - Cánh diều
- Giải sgk Hoạt động trải nghiệm 12 - Cánh diều
- Giải sgk Giáo dục quốc phòng 12 - Cánh diều
- Giải sgk Âm nhạc 12 - Cánh diều


Giải bài tập SGK & SBT
Tài liệu giáo viên
Sách
Khóa học
Thi online
Hỏi đáp

