Trắc nghiệm Máy phát điện xoay chiều - động cơ không đồng bộ ba pha (có lời giải)
Bài tập trắc nghiệm Máy phát điện xoay chiều - động cơ không đồng bộ ba pha lớp 12 có lời giải chi tiết với bài tập đa dạng sẽ giúp học sinh ôn luyện trắc nghiệm Vật Lí 12.
Trắc nghiệm Máy phát điện xoay chiều - động cơ không đồng bộ ba pha (có lời giải)
(199k) Học Vật Lí 12 KNTTHọc Vật Lí 12 CDHọc Vật Lí 12 CTST
Bài 1: Một động cơ điện xoay chiều có điện trở dây quấn là 20 Ω. Mắc động cơ vao mạng điện xoay chiều ó điện áp hiệu dụng là 220 V. Giả sử hệ số công suất của động cơ là cosφ = 0,85 không thay đổi, hao phí trong động cơ chỉ dol tỏa nhiệt. Công suất cơ cực đại mà động cơ có thể sinh ra là:
A. 437 W B. 242 W
C. 371 W D. 650 W
- Phương trình (*) có dạng phương trình bậc 2 đối với I.
- Để phương trình có nghiệm thì:
Chọn đáp án A
Bài 2: Khi máy phát điện ba pha hoạt động, ở thời điểm suất điện động ở một cuộn dây đạt giá trị cực đại e1 = Eo thì suất điện động ở hai đầu cuộn dây còn lại là:
- Ta có:
- Khi e1 = E0; ωt = 2kπ , thay vào biểu thức tính e2 và e3 ta có kết quả:
Chọn đáp án D
Bài 3: Một máy phát điện xoay chiều một pha có điện trở không đáng kể. Nối 2 cực của máy với cuộn dây thuần cảm. Khi roto quay với tốc độ n vòng/s thì cường độ dòng điện hiệu dụng qua cuộn cảm là I. Hỏi khi roto quay với tốc độ 3n vòng/s thì cường độ dòng điện hiệu dụng qua cuộn cảm bao nhiêu?
A. I B. 2I
C. 3I D. I/3
- Khi mạch ngoài của máy phát nối với cuộn cảm thì dòng điện qua cuộn cảm không phụ thuộc vào tốc độ quay của roto → khi roto quay với tốc độ n và 3n thì dòng trong mạch luôn là I.
Chọn đáp án A
Bài 4: Trong máy phát điện xoay chiều 3 pha:
A. Stato là phần cảm, rôto là phần ứng.
B. Phần nào quay là phần ứng.
C. Stato là phần ứng, rôto là phần cảm.
D. Phần nào đứng yên là phần tạo ra từ trường.
- Máy phát điện xoay chiều có ba phần gồm ba cuộn dây (phần ứng) mắc trên một vành tròn tại ba vị trí đối xứng, trục của ba vòng dây lệch nhau một góc 120°
- Nam châm (phần cảm) quay quanh một trục đóng vai trò là roto.
Chọn đáp án C
Bài 5: Một máy phát điện xoay chiều có điện trở không đáng kể. Mạch ngoài là tụ điện nối tiếp với ampe kế có điện trở không đáng kể. Khi rôto quay với tốc độ góc 25 rad/s thì ampe kế chỉ 0,1A. Khi tăng tốc độ quay của rôto lên gấp đôi thì ampe kế chỉ:
A. 0,1 A. B. 0,05 A.
C. 0,2 A. D. 0,4 A.
- Cường độ dòng điện mạch ngoài:
- Khi tốc độ quay của roto tăng lên gấp đôi thì dòng điện hiệu dụng tăng lên 4 lần:
Chọn đáp án D
Bài 6: Một máy phát điện xoay chiều một pha (kiểu cảm ứng) có p cặp cực, quay đều với tốc độ n vòng/phút, với số cặp cực bằng số cuộn dây của phần ứng thì tần số của dòng điện do máy tạo ra là f Hz. Hệ thức nào sau đây đúng?
- Tần số của dòng điện do máy phát ra:
Chọn đáp án D
Bài 7: Một máy phát điện xoay chiều 1 pha có rôto gồm 4 cặp cực từ, muốn tần số dòng điện xoay chiều mà máyphát ra là 50 Hz thì rôto phải quay với tốc độ là bao nhiêu?
A. 3000 vòng/phút
B. 1500 vòng/phút
C. 750 vòng/ phút
D. 500 vòng/phút.
- Tốc độ quay của roto:
Chọn đáp án C
Bài 8: Một máy phát điện xoay chiều một pha có phần cảm là rôto gồm 10 cặp cực (10 cực nam và 10 cực bắc). Rô to quay với tốc độ 300 vòng/phút. Suất điện động do máy sinh ra có tần số bằng:
A. 5 Hz. B. 30 Hz.
C. 300 Hz. D. 50 Hz.
- Tần số của suất điện động:
Chọn đáp án D
Bài 9: Rô to của một máy phát điện xoay chiều một pha có 4 cực từ và quay với tốc độ n vòng/phút. Hai cực phần ứng của máy mắc với một tụ điện có điện dung C = 10 µF. Điện trở trong của máy không đáng kể.
Đồ thị biểu diễn sự biến thiên của cường độ dòng điện hiệu dụng I qua tụ theo tốc độ quay của rô to khi tốc độ quay của rô to biến thiên liên tục từ n1 = 150 vòng/phút đến n2 = 1500 vòng/phút.
- Biết rằng với tốc độ quay 1500 vòng/phút thì suất điện động hiệu dụng giữa hai cực máy phát tương ứng là E. Giá trị E là:
A. 400 V. B. 100 V.
C. 200 V. D. 300 V.
- Ta có:
Chọn đáp án B
Bài 10: Một máy phát điện xoay chiều một pha có phần ứng gồm bốn cuộn dây giống nhau mắc nối tiếp. Suất điện động xoay chiều do máy phát sinh ra có tần số 50 Hz và giá trị hiệu dụng 100√2 V.Từ thông cực đại qua mỗi vòng của phần ứng là 5/π mWB. Số vòng dây trong mỗi cuộn dây là:
A. 71 vòng. B. 200 vòng.
C. 100 vòng. D. 400 vòng.
- Ta có:
Chọn đáp án D
Bài 11: Một máy phát điện xoay chiều một pha có roto gồm 4 cặp cực từ, muốn tần số của dòng điện xoay chiều mà máy phát ra là 50 Hz thì roto phải quay với tốc độ:
A. 500 vòng/ phút
B. 750 vòng/phút
C. 1500 vòng/phút
D. 3000 vòng/phút
- Ta có: f = np
⇒ n = f/p = 50/4 = 12,5 vòng/s = 750 vòng/phút.
Chọn đáp án B
Bài 12: Trong mạch điện xoay chiều ba pha, tải mắc hình sao có dây trung hòa, khi một pha tiêu thụ điện bị hở thì cường độ dòng điện trong hai pha còn lại:
A. Đều tăng lên
B. Đều giảm xuống
C. Không thay đổi
D. Đều bằng 0
- Vì tải mắc hình sao có dây trung hòa, nên các pha độc lập nhau.
- Do đó khi một pha tiêu thụ điện bị hở thì cường độ dòng điện trong hai pha còn lại không bị ảnh hưởng, tức là không thay đổi.
Chọn đáp án C
Bài 13: Một máy phát điện xoay chiều tạo nên suất điện động e = 220√2 cos100πt (V). Tốc độ quay của roto là 1500 vòng/ phút. Số cặp cực của roto là:
A. 2 B. 4
C. 5 D. 6
- Ta có: f = 50Hz = p.n với n = 1500/60 = 25 vòng/s
- Suy ra: n = f/p = 50/25 = 2 cặp cực
Chọn đáp án A
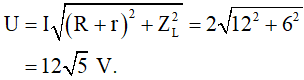
Bài 14: Một mạch tiêu thụ điện là cuộn dây có điện trở thuần r = 8 Ω, tiêu thụ công suất P = 32 W với hệ số công suất cosφ = 0,8. Điện năng được đưa từ máy phát điện xoay chiều một pha nhờ dây dẫn có điện trở R = 4 Ω. Điện áp hiệu dụng giữa hai đầu đường dây nơi máy phát là:
A. 10√5 V B. 28 V
C. 12√5 V D. 24 V
- Ta có:
- Điện áp hiệu dụng hai đầu đường dây nơi máy phát điện là :
Chọn đáp án C
Bài 15: Một động cơ không đồng bộ ba pha đang hoạt động có tải. Biết roto quay với tần số là f và chu kì của dòng điện là T. So sánh T và f ta thấy:
A. T = 1/f B. T < 1/f
C. T > 1/f D. T > 1/(2f)
- Trong động cơ không đồng bộ ba pha, roto quay với tốc độ góc ω < ωđiện
⇒ 1/f > Tđiện = T
Chọn đáp án B
(199k) Học Vật Lí 12 KNTTHọc Vật Lí 12 CDHọc Vật Lí 12 CTST
Xem thêm Bài tập trắc nghiệm Vật Lí 12 có đáp án hay khác:
- Trắc nghiệm Máy phát điện xoay chiều - động cơ không đồng bộ ba pha (có đáp án - phần 2)
- Trắc nghiệm tổng hợp Dòng điện xoay chiều (có lời giải)
- Trắc nghiệm tổng hợp Dòng điện xoay chiều (có lời giải - phần 2)
- Trắc nghiệm Mạch dao động (có lời giải)
- Trắc nghiệm Mạch dao động (có đáp án - phần 2)
Đã có app VietJack trên điện thoại, giải bài tập SGK, SBT Soạn văn, Văn mẫu, Thi online, Bài giảng....miễn phí. Tải ngay ứng dụng trên Android và iOS.
Theo dõi chúng tôi miễn phí trên mạng xã hội facebook và youtube:Nếu thấy hay, hãy động viên và chia sẻ nhé! Các bình luận không phù hợp với nội quy bình luận trang web sẽ bị cấm bình luận vĩnh viễn.
- Giải Tiếng Anh 12 Global Success
- Giải sgk Tiếng Anh 12 Smart World
- Giải sgk Tiếng Anh 12 Friends Global
- Lớp 12 Kết nối tri thức
- Soạn văn 12 (hay nhất) - KNTT
- Soạn văn 12 (ngắn nhất) - KNTT
- Giải sgk Toán 12 - KNTT
- Giải sgk Vật Lí 12 - KNTT
- Giải sgk Hóa học 12 - KNTT
- Giải sgk Sinh học 12 - KNTT
- Giải sgk Lịch Sử 12 - KNTT
- Giải sgk Địa Lí 12 - KNTT
- Giải sgk Giáo dục KTPL 12 - KNTT
- Giải sgk Tin học 12 - KNTT
- Giải sgk Công nghệ 12 - KNTT
- Giải sgk Hoạt động trải nghiệm 12 - KNTT
- Giải sgk Giáo dục quốc phòng 12 - KNTT
- Giải sgk Âm nhạc 12 - KNTT
- Giải sgk Mĩ thuật 12 - KNTT
- Lớp 12 Chân trời sáng tạo
- Soạn văn 12 (hay nhất) - CTST
- Soạn văn 12 (ngắn nhất) - CTST
- Giải sgk Toán 12 - CTST
- Giải sgk Vật Lí 12 - CTST
- Giải sgk Hóa học 12 - CTST
- Giải sgk Sinh học 12 - CTST
- Giải sgk Lịch Sử 12 - CTST
- Giải sgk Địa Lí 12 - CTST
- Giải sgk Giáo dục KTPL 12 - CTST
- Giải sgk Tin học 12 - CTST
- Giải sgk Hoạt động trải nghiệm 12 - CTST
- Giải sgk Âm nhạc 12 - CTST
- Lớp 12 Cánh diều
- Soạn văn 12 Cánh diều (hay nhất)
- Soạn văn 12 Cánh diều (ngắn nhất)
- Giải sgk Toán 12 Cánh diều
- Giải sgk Vật Lí 12 - Cánh diều
- Giải sgk Hóa học 12 - Cánh diều
- Giải sgk Sinh học 12 - Cánh diều
- Giải sgk Lịch Sử 12 - Cánh diều
- Giải sgk Địa Lí 12 - Cánh diều
- Giải sgk Giáo dục KTPL 12 - Cánh diều
- Giải sgk Tin học 12 - Cánh diều
- Giải sgk Công nghệ 12 - Cánh diều
- Giải sgk Hoạt động trải nghiệm 12 - Cánh diều
- Giải sgk Giáo dục quốc phòng 12 - Cánh diều
- Giải sgk Âm nhạc 12 - Cánh diều


Giải bài tập SGK & SBT
Tài liệu giáo viên
Sách
Khóa học
Thi online
Hỏi đáp

