Đề kiểm tra 15 phút Hóa 11 Học kì 2 có đáp án (Bài số 1) (8 đề)
Đề kiểm tra 15 phút Hóa 11 Học kì 2 có đáp án (Bài số 1) (8 đề)
Dưới đây là danh sách Đề kiểm tra 15 phút Hóa 11 Học kì 2 có đáp án (Bài số 1) (8 đề). Hi vọng bộ đề thi này sẽ giúp bạn ôn luyện & đạt điểm cao trong các bài thi Hóa học 11.
Đề kiểm tra 15 phút - Trắc nghiệm
Sở Giáo dục và Đào tạo .....
Đề kiểm tra 15 phút Học kì 2
Môn: Hóa học 11
Thời gian làm bài: 15 phút
(Đề 1)
Cho nguyên tử khối của các nguyên tố: O = 16, H = 1, C = 12, Ag = 108.I. Phần câu hỏi
Câu 1: Dãy nào sau đây chỉ gồm các chất thuộc dãy đồng đẳng của metan?
A. C2H2, C3H4, C4H6.
B. C2H2, C3H4, C4H10.
C. C2H6, C4H10, C5H12.
D. C2H6, C3H8, C5H10.
Câu 2: Ankan A có 16,28% khối lượng H trong phân tử. Số đồng phân cấu tạo của A là:
A. 3. B. 4.
C. 5. D. 6.
Câu 3: Cho các chất sau: etan; eten; etin. Kết luận đúng là
A. cả 3 chất đều có khả năng làm mất màu dung dịch brom.
B. etin có tạo kết tủa với dung dịch bạc nitrat trong amoniac.
C. etan làm nhạt màu dung dịch kali pemanganat.
D. eten không có khả năng tham gia phản ứng trùng hợp.
Câu 4: Hỗn hợp Y gồm etilen và etan. Để tách riêng từng hóa chất trong Y dùng cặp hóa chất là:
A. dd Br2, Zn/ ancol.
B. dd Br2, dd HCl.
C. dd AgNO3/ NH3, dd HCl.
D. O2, dd AgNO3/ NH3.
Câu 5: Cho sơ đồ phản ứng sau:
Chất X có thể là:
A. PE.
B. PVC.
C. caosu Buna.
D. PS.
Câu 6: Cho hỗn hợp gồm 3 anken đi qua bình đựng nước brom, thấy làm mất màu vừa đủ dung dịch chứa 16 gam brom. Tổng số mol của 3 anken là:
A. 0,025. B. 0,05.
C. 0,075. D. 0,1.
Câu 7: Đốt cháy hoàn toàn 2,24 lít khí metan và 3,36 lít khí axetilen thu được V lít khí CO2. Biết thể tích các khí đo ở đktc, giá trị của V là
A. 6,72. B. 8,96.
C. 10,08. D. 11,2.
Câu 8: Dẫn 2,24 lít khí axetilen ở đktc qua dd AgNO3/ NH3 (dư) thu được kết tủa có khối lượng là:
A. 24 gam. B. 12 gam.
C. 13,3 gam. D. 26,6 gam.
Câu 9: Hiđrat hóa 2 – metylbut – 2 – en (điều kiện thích hợp) thu được sản phẩm chính là:
Câu 10: Chất nào sau đây không bị oxi hóa bởi ở điều kiện thường?
A. Eten.
B. Etin.
C. Etan.
D. But – 2 – en.
II.Đáp án & Thang điểm
| Câu | 1 | 2 | 3 | 4 | 5 |
|---|---|---|---|---|---|
| Đ/A | C | C | B | A | A |
| Câu | 6 | 7 | 8 | 9 | 10 |
| Đ/A | D | B | A | A | C |
Câu 1:
- Dãy chỉ gồm các chất thuộc dãy đồng đẳng của metan là C2H6, C4H10, C5H12.
- Chọn đáp án C.
Câu 2:
- Gọi CTTQ của ankan là CnH2n + 2, ta có:
- Ankan là C6H14, viết được 5 CTCT thỏa mãn.
- Chọn đáp án C.
Câu 3:
- Etin tạo kết tủa với dung dịch bạc nitrat trong amoniac vì là ankin có liên kết ba ở vị trí đầu mạch.
- Chọn đáp án B.
Câu 4:
- Chọn đáp án A.
Câu 5:
- Chọn đáp án A.
Câu 6:
- Số mol anken = số mol brom = 0,1 mol.
- Chọn đáp án D.
Câu 7:
- Bảo toàn nguyên tố C ta có:
- Vậy V = 0,4.22,4 = 8,96 lít.
- Chọn đáp án B.
Câu 8:
- Khối lượng kết tủa = 0,1. 240 = 24 (gam).
- Chọn đáp án A.
Câu 9:
- Áp dụng quy tắc Mac – cốp – nhi – cốp xác định sản phẩm chính:
- Chọn đáp án A.
Câu 10:
- Etan không chứa liên kết pi trong phân tử, không bị oxi hóa bởi KMnO4
- Chọn đáp án C.
Sở Giáo dục và Đào tạo .....
Đề kiểm tra 15 phút Học kì 2
Môn: Hóa học 11
Thời gian làm bài: 15 phút
(Đề 2)
Cho nguyên tử khối của các nguyên tố: O = 16, H = 1, C = 12, Ag = 108.I. Phần câu hỏi
Câu 1: Ankan có những loại đồng phân nào?
A. Đồng phân nhóm chức.
B. Đồng phân cấu tạo.
C. Đồng phân vị trí nhóm chức.
D. Có cả 3 loại đồng phân trên.
Câu 2: Clo hoá một ankan thu được một dẫn xuất monoclorua có tỉ khối hơi so với H2 là 39,25. CTPT của ankan là:
A. C2H6. B. C3H8.
C. C4H10. D. C5H12.
Câu 3: Chia hỗn hợp gồm C3H6, C2H4 và C2H2 thành hai phần đều nhau:
- Phần 1: Đem đốt cháy hoàn toàn thu được 22,4 lít khí CO2 (ở đktc).
- Phần 2: Đem hiđro hóa hoàn toàn sau đó mang đốt cháy thì thể tích khí CO2 (ở đktc) thu được là
A. 11,2l. B. 22,4l.
C. 33,6l. D. 44,8l.
Câu 4: Cho dãy chuyển hóa sau:
Tên gọi của X và Z lần lượt là:
A. axetilen và ancol etylic.
B. axetilen và etilenglicol.
C. etan và etanal.
D. etilen và ancol etylic.
Câu 5: Hiđrat hóa hỗn hợp 2 anken chỉ tạo thành 2 ancol. Hai anken đó là
A. 2 – metylpropen và but – 2 – en.
B. propilen và but – 2 – en.
C. etilen và but – 2 – en.
D. etilen và but – 1 – en.
Câu 6: Hỗn hợp X có tỉ khối so với H2 là 21,2 gồm propan, propen và propin. Khi đốt cháy hoàn toàn 0,05 mol X, tổng khối lượng của CO2 và H2O thu được là
A. 10,2 gam. B. 9,48 gam.
C. 8,4 gam. D. 9,3 gam.
Câu 7: Cho 4,05 gam but – 1 – in tác dụng hoàn toàn với dd AgNO3/ NH3 (dư) thu được kết tủa có khối lượng là:
A. 6,04 gam. B. 20,1 gam.
C. 12,075 gam. D. 10,05 gam.
Câu 8: Cho dãy các chất: etilen; isopren; xiclohexan, axetilen, butan. Số chất trong dãy làm mất màu dung dịch brom là:
A. 2. B. 3.
C. 4. D. 5.
Câu 9: Để làm sạch etan có lẫn etilen ta có thể cho hỗn hợp đi qua lượng dư dung dịch nào sau đây?
A. NaOH.
B. KMnO4.
C. AgNO3 / NH3.
D. Cả A, B, và C.
Câu 10: Chất tham gia phản ứng trùng hợp là:
A. etan. B. metan.
C. eten. D. benzen.
II.Đáp án & Thang điểm
| Câu | 1 | 2 | 3 | 4 | 5 |
|---|---|---|---|---|---|
| Đ/A | B | B | B | A | C |
| Câu | 6 | 7 | 8 | 9 | 10 |
| Đ/A | B | C | B | B | C |
Câu 1:
- Ankan chỉ có đồng phân cấu tạo.
- Chọn đáp án B.
Câu 2:
Mdẫn xuất halogen = 39,25.2 = 78,5 → 14n + 36,5 = 78,5 → n = 3.
- Vậy ankan là C3H8.
- Chọn đáp án B.
Câu 3:
- Đem hiđro hóa hỗn hợp không làm thay đổi thành phần C có trong hỗn hợp.
- Vậy khí CO2 thu được ở phần 2 bằng lượng khí thu được ở phẩn 1 và bằng 22,4 lít.
- Chọn đáp án B.
Câu 4:
- Chọn đáp án A.
Câu 5:
- Chọn đáp án C.
Câu 6:
- Đặt CTTQ của X là
- Có
- Suy ra:
- Bảo toàn nguyên tố C => Số mol CO2 = 0,15 (mol); bảo toàn nguyên tố H => Số mol H2O = 0,16 (mol)
- Vậy tổng khối lượng của CO2 và H2O thu được là: 0,15.44 + 0,16.18 = 9,48 gam.
- Chọn đáp án B.
Câu 7:
- Khối lượng kết tủa = 0,075. 161 = 12,075 (gam).
- Chọn đáp án C.
Câu 8:
- Ba chất trong dãy làm mất màu dung dịch brom là etilen; isopren; axetilen.
- Chọn đáp án B.
Câu 9:
- KMnO4 phản ứng với etilen còn etan không phản ứng.
- Chọn đáp án B.
Câu 10:
- Eten (C2H4) là anken nên tham gia phản ứng trùng hợp.
- Chọn đáp án C.
Sở Giáo dục và Đào tạo .....
Đề kiểm tra 15 phút Học kì 2
Môn: Hóa học 11
Thời gian làm bài: 15 phút
(Đề 3)
Cho nguyên tử khối của các nguyên tố: O = 16, H = 1, C = 12, Ag = 108.I. Phần câu hỏi
Câu 1: Cho ankan A có tên gọi: 3 – etyl – 2,4 – đimetylhexan. CTPT của A là:
A. C11H24. B. C9H20.
C. C8H18. D. C10H22.
Câu 2: Cracking m gam n - butan thu được hợp A gồm H2, CH4, C2H4, C2H6, C3H6, C4H8 và một phần butan chưa bị cracking. Đốt cháy hoàn toàn A thu được 9 gam H2O và 17,6 gam CO2. Giá trị của m là
A. 5,8. B. 11,6.
C. 2,6. D. 23,2.
Câu 3: Dãy các chất nào sau đây đều tham gia phản ứng trùng hợp?
A. Etilen, butađien, but – 2 – en.
B. Metan, etilen, butađien.
C. Metan, but – 2 – en, butađien.
D. Etan, metan, axetilen.
Câu 4:
Cho sơ đồ phản ứng sau:
Hai chất X và Y có thể có CTPT lần lượt là:
A. C2H4, CH4.
B. CaC2, CH4.
C. CH4, C2H4.
D. CaC2, C2H3Cl.
Câu 5: Số đồng phân cấu tạo mạch hở ứng với công thức phân tử C4H6 là:
A. 2. B. 5.
C. 4. D. 3.
Câu 6: Đốt cháy hoàn toàn a gam hỗn hợp gồm: eten, propen,but – 2 – en cần dùng vừa đủ b lít khí oxi ở đktc thu được 5,376 lít CO2 ở đktc và 4,32 gam nước. Giá trị của b là:
A. 9,24. B. 9,42.
C. 8,064. D. 2,49.
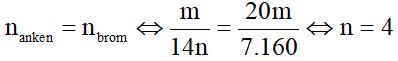
Câu 7: Cho m gam một anken X tác dụng vừa đủ với gam brom trong dung môi nước. Công thức phân tử của X là 20m/7
A. C3H6. B. C2H4.
C. C4H8. D. C4H6.
Câu 8: Cho 4,05 gam but - 1 – in tác dụng hoàn toàn với dd AgNO3/ NH3 (dư) thu được kết tủa có khối lượng là:
A. 6,04 gam. B. 20,1 gam.
C. 12,075 gam. D. 10,05 gam.
Câu 9: Hiđrocacbon X có công thức cấu tạo CH≡C-CH3 không thuộc dãy đồng đẳng nào dưới đây?
A. Dãy đồng đẳng của axetilen.
B. Điolefin.
C. Ankin.
D. Hiđrocacbon không no, mạch hở, có chứa 1 liên kết ba C≡C .
Câu 10: Cho các chất sau: etan; eten; etin và but – 1 – in. Kết luận đúng là:
A. cả 4 chất đều có khả năng làm mất màu dung dịch brom.
B. có 2 chất tạo kết tủa với dung dịch bạc nitrat trong amoniac.
C. không có chất nào làm nhạt màu dung dịch kali pemanganat.
D. etan có khả năng tham gia phản ứng trùng hợp.
II.Đáp án & Thang điểm
| Câu | 1 | 2 | 3 | 4 | 5 |
|---|---|---|---|---|---|
| Đ/A | D | A | A | C | C |
| Câu | 6 | 7 | 8 | 9 | 10 |
| Đ/A | C | C | C | B | B |
Câu 1:
- A có CTCT:
(CH3)2 – CH – CH (C2H5) – CH (CH3) - CH2 - CH3.
- CTPT của A là C10H22.
- Chọn đáp án D.
Câu 2:
m = mC + mH = nCO2.12 + 2.nH2O.1
= 0,4.12 + 2. 0,5 = 5,8g.
- Chọn đáp án A.
Câu 3:
- Etilen, but – 2 – en là anken, butađien là ankađien nên dãy các chất này đều tham gia phản ứng trùng hợp.
- Chọn đáp án A.
Câu 4:
- Chọn đáp án C.
Câu 5:
- Có 4 đồng phân là:
CH ≡ C – CH2 – CH3;
CH3 – C ≡ C – CH3;
CH2 = C – CH = CH2;
CH2 = C = CH – CH3;
- Chọn đáp án C.
Câu 6:
- Bảo toàn nguyên tố O ta có:
= 0,36(mol)
- Vậy b = 0,36.22,4 = 8,064 lít.
- Chọn đáp án C.
Câu 7:
- Gọi anken CnH2n , có:
- Vậy anken C4H8.
Câu 8:
- Khối lượng kết tủa = 0,075. 161 = 12,075 (gam).
- Chọn đáp án C.
Câu 9:
CH ≡ C – CH3 không thuộc dãy đồng đẳng điolefin.
- Chọn đáp án B.
Câu 10:
Có 2 chất tạo kết tủa với dung dịch bạc nitrat trong amoniac là etin và but – 1 – in vì chúng là các ankin có liên kết ba ở vị trí đầu mạch.
Sở Giáo dục và Đào tạo .....
Đề kiểm tra 15 phút Học kì 2
Môn: Hóa học 11
Thời gian làm bài: 15 phút
(Đề 4)
Cho nguyên tử khối của các nguyên tố: O = 16, H = 1, C = 12, Ag = 108.I. Phần câu hỏi
Câu 1:
Chất có công thức cấu tạo:
có tên là :
A. 2,2 – đimetylpentan.
B. 2,3 – đimetylpentan.
C. 2,2,3 – trimetylpentan.
D. 2,2,3 – trimetylbutan.
Câu 2: Cho hỗn hợp X gồm các chất sau: butan, but – 1 – en, cacbon đioxit, metylpropan. Chất nào trong hỗn hợp làm mất màu dung dịch brom?
A. Butan.
B. But – 1 – en.
C. Cacbon đioxit.
D. Metylpropan.
Câu 3:
Cho sơ đồ phản ứng sau:
Chất X có thể có CTPT là:
A. C2H4. B. C2H6.
C. C2H3Cl. D. C2H2Cl2.
Câu 4: Đáp án nào sau đây là đúng về tính chất vật lý của hiđrocacbon?
A. Tất cả các hiđrocacbon đều ở trạng thái khí.
B. Ankan, anken và ankin đều không tan trong nước.
C. Các ankin có nhiệt độ sôi thấp hơn các anken tương ứng.
D. Ankin nặng hơn nước.
Câu 5: Hóa chất thường được dùng để điều chế axetilen trong phòng thí nghiệm là:
A. canxi cacbua.
B. metan.
C. natri axetat.
D. nhôm cacbua.
Câu 6: Đốt cháy chất nào sau đây cho nCO2 < nH2O?
A. CH4. B. C2H4.
C. C3H4. D. C4H4.
Câu 7: Đốt cháy hoàn toàn hỗn hợp gồm 1 ankan và 1 anken. Cho sản phẩm cháy lần lượt đi qua bình I đựng P2O5 dư và bình II đựng dung dịch KOH dư thấy bình I tăng 2,07g, bình II tăng 3,08g. Số mol ankan có trong hỗn hợp là:
A. 0,06 mol. B. 0,09 mol.
C. 0,03 mol. D. 0,045 mol.
Câu 8: Cho 3,36 lít hỗn hợp gồm etan và etilen (ở đktc) đi chậm qua dung dịch brom dư. Sau khi phản ứng thấy khối lượng bình brom tăng thêm 2,8 gam. Số mol etan và etilen trong hỗn hợp lần lượt là:
A. 0,05 và 0,1. B. 0,1 và 0,05.
C. 0,12 và 0,03. D. 0,03 và 0,12.
Câu 9: Nhận xét nào sau đây là đúng?
A. Tất cả các ankin đều tham gia phản ứng với dung dịch AgNO3/ NH3.
B. Tất cả các ankin có liên kết ba ở đầu mạch đều phản ứng với dd AgNO3/ NH3 theo tỉ lệ 1 : 1 về số mol.
C. Các ankin có liên kết ba ở đầu mạch đều tham gia phản ứng tráng bạc.
D. Axetilen dễ cho phản ứng thế hơn etilen.
Câu 10: Câu 10: Hỗn hợp X gồm axetilen: 0,1 mol và vinylaxetilen 0,05 mol tác dụng với lượng dư dung dịch AgNO3 trong NH3 thu được khối lượng kết tủa là
A. 24 gam. B. 15,9 gam.
C. 39,9 gam. D. 31,95 gam.
II.Đáp án & Thang điểm
| Câu | 1 | 2 | 3 | 4 | 5 |
|---|---|---|---|---|---|
| Đ/A | B | B | C | B | A |
| Câu | 6 | 7 | 8 | 9 | 10 |
| Đ/A | A | D | A | D | D |
Câu 1:
- Chọn đáp án B. 2,3 – đimetylpentan.
Câu 2:
- But – 1 – en là anken nên có thể làm mất màu dung dịch brom.
- Chọn đáp án B.
Câu 3:
- Chọn đáp án C.
Câu 4:
- Ankan; anken; ankin là các hợp chất cộng hóa trị không cực do đó không tan trong nước (dung môi phân cực).
- Chọn đáp án B.
Câu 5:
- Trong phòng thí nghiệm axetilen được điều chế bằng cách cho canxi cacbua tác dụng với nước.
- Chọn đáp án A.
Câu 6:
CH4 là ankan, khi đốt cháy sẽ thu được: nCO2 < nH2O.
- Chọn đáp án A.
Câu 7:
- Chọn đáp án D.
- Ta có:
Câu 8:
- Gọi số mol etan là x ; số mol etilen là y. Ta có hệ phương trình :
- Chọn đáp án A.
Câu 9:
- Axetilen dễ cho phản ứng thế hơn etilen do nguyên tử H bên cạnh liên kết ba trong phân tử axetilen linh động hơn nguyên tử hiđro bên cạnh liên kết đôi trong phân tử etilen.
- Chọn đáp án D.
Câu 10:
- Khối lượng kết tủa = 0,1 . 240 + 0,05.159 = 31,95 gam.
- Chọn đáp án D.
Đề kiểm tra 15 phút - Trắc nghiệm + Tự luận
Sở Giáo dục và Đào tạo .....
Đề kiểm tra 15 phút Học kì 2
Môn: Hóa học 11
Thời gian làm bài: 15 phút
(Đề 1)
I. Phần trắc nghiệm
Câu 1: Hợp chất Y sau đây có thể tạo đ¬ược bao nhiêu dẫn xuất monohalogen?
A. 2. B. 3.
C. 4. D. 5.
Câu 2: Cho hỗn hợp A gồm các chất sau: metan, etilen, axetilen, propađien. Chất trong hỗn hợp tạo kết tủa với dung dịch AgNO3/ NH3 là:
A. metan. B. etilen.
C. axetilen. D. propađien.
Câu 3: Trong các sơ đồ phản ứng sau với mỗi mũi tên là một phản ứng, sơ đồ sai là:
A.
B.
C.
D.
Câu 4: Đốt cháy hoàn toàn hai hiđrocacbon mạch hở trong cùng một dãy đồng đẳng thu được nCO2 = nH2O. Hai hiđrocacbon đó có thể thuộc dãy đồng đẳng nào sau đây?
A. Ankan. B. Anken.
C. Ankin. D. Ankađien.
Câu 5: Theo qui tắc Mac – cốp – nhi – cốp, trong phản ứng cộng HX vào nối đôi của anken thì nguyên tử H chủ yếu cộng vào:
A. cacbon bậc cao hơn.
B. cacbon có ít H hơn.
C. cacbon mang nối đôi, bậc thấp hơn.
D. cacbon mang nối đôi, có ít H hơn.
Câu 6: Ankin nào sau đây không tham gia phản ứng với dung dịch AgNO3/ NH3?
A. Axetilen. B. But – 1 – in.
C. But – 2 – in. D. Propin.
II. Phần tự luận
Câu 1: Bằng phương pháp hoá học hãy trình bày cách phân biệt 3 bình không dán nhãn chứa mỗi khí không màu sau: propan, but-1-en, etin.
Câu 2: Hỗn hợp X gồm 0,4 mol hai ankin (đều là chất khí ở điều kiện thường) là đồng đẳng kế tiếp. Cho X tác dụng với lượng dư dung dịch AgNO3 trong NH3 thu được 77,4 gam kết tủa. Xác định CTPT từng ankin trong X và số mol tương ứng.
Câu 3: Một hiđrocacbon X tham gia phản ứng cộng với HCl theo tỉ lệ 1 : 1 tạo sản phẩm có thành phần khối lượng clo là 38,378%. Công thức phân tử của X là ?
Đáp án & Thang điểm
I. Phần trắc nghiệm
| Câu | 1 | 2 | 3 | 4 | 5 | 6 |
|---|---|---|---|---|---|---|
| Đ/A | C | C | B | B | C | C |
Câu 1:
- Hợp chất Y có thể tạo đ¬ược 4 dẫn xuất monohalogen.
- Chọn đáp án C.
Câu 2:
- Axetilen là ankin có liên kết ba ở vị trí đầu mạch nên tạo kết tủa với dung dịch bạc nitrat trong amoniac.
- Chọn đáp án C.
Câu 3:
- Chọn đáp án B vì:
Câu 4:
- Khi đốt cháy anken (CTTQ: CnH2n) thu được nCO2 = nH2O .
- Chọn đáp án B.
Câu 5:
- Quy tắc cộng Mac – cốp – nhi – cốp:
Trong phản ứng cộng HX vào liên kết đôi, nguyên tử H (hay phần mang điện dương) chủ yếu cộng vào nguyên tử cacbon bậc thấp hơn (có nhiều nguyên tử H hơn), còn phần nguyên tử hay nhóm nguyên tử X (phần mang điện âm) cộng vào nguyên tử cacbon bậc cao hơn (có ít H hơn).
-
- Chọn đáp án C.
Câu 6:
But – 2 – in không phải là ankin có nối ba ở đầu mạch nên không tham gia phản ứng với dd AgNO3/ NH3.
- Chọn đáp án C.
II. Phần tự luận
Câu 1:
- Đánh số thứ tự từng bình chứa khí
- Dùng dd AgNO3/ NH3 nhận ra etin nhờ kết tủa vàng, còn lại là nhóm I gồm: but – 1 – en, propan không hiện tượng.
+ Pư:
- Sục lần lượt nhóm I vào nước Br2. Thấy mất màu nước brom là but – 1 – en còn lại là propan.
+ Pư:
Câu 2:
- Trường hợp 1: Xét 2 ankin là C2H2 (a mol) và C3H4 (b mol) khi đó ta có hệ phương trình:
+ Giải hệ được a = 0,2, b = 0,2.
+ Vậy 2 ankin là C2H2: 0,2 mol và C3H4: 0,2 mol.
- Trường hợp 2: Xét 2 ankin khác C2H2 và C3H4 khi đó đặt 2 ankin là:
+ Vậy kết tủa là:
.
+ Có:
+ Loại do C7H12 và C8H14 không là khí ở đk thường.
Câu 3:
- Theo bài ra ta có CTTQ của X là CnH2n (n ≥ 2).
- PTHH:
- Sản phẩm thu được có:
→ n = 4. Vậy có CTPT là C4H8 .
Sở Giáo dục và Đào tạo .....
Đề kiểm tra 15 phút Học kì 2
Môn: Hóa học 11
Thời gian làm bài: 15 phút
(Đề 2)
I. Phần trắc nghiệm
Câu 1: Ankan X có công thức phân tử C5H12, khi tác dụng với clo tạo được 4 dẫn xuất monoclo. Tên của X là
A. pentan.
B. iso pentan.
C. neo pentan.
D. 2,2 – đimetylpropan.
Câu 2: Hỗn hợp nào sau đây làm mất màu dung dịch brom ở điều kiện thường?
A. Metan và etan.
B. Xiclobutan và xiclopropan.
C. Metan và benzen.
D. Etilen và axetilen.
Câu 3:
Cho dãy chuyển hóa sau:
Các chất X và Y lần lượt là:
A. etilen và axetilen.
B. axetilen và etilen.
C. etan và eten.
D. metan và axetilen.
Câu 4: Trong các nhận xét sau:
(1). Dùng phản ứng cháy phân biệt ankan và ankin một cách dễ dàng.
(2). Các anken, ankin ở trạng thái lỏng không tham gia phản ứng cháy.
(3). Đốt cháy anken thu được nCO2 > nH2O .
(4). Đốt cháy ankađien hoặc ankin đều thu được nCO2 > nH2O .
- Số nhận xét đúng là:
A. 1. B. 2.
C. 3. D.4.
Câu 5: Trong các chất: axetilen; anlen; metan; isopren; xiclobutan và butan, số chất có khả năng tham gia phản ứng cộng hiđro (xúc tác Ni, đun nóng) là:
A. 4. B. 5.
C. 2. D. 4.
Câu 6: Trong số các ankin có công thức phân tử là C5H8 có mấy chất có thể tác dụng được với dung dịch AgNO3/ NH3?
A. 1 chất. B. 2 chất.
C. 3 chất. D. 4 chất.
II. Phần tự luận
Câu 1: Dùng CTCT thu gọn viết các phương trình phản ứng trong các trường hợp sau:
a/ Cho propan + Cl2 (as, tỉ lệ 1:1, spc)
b/ Điều chế axetilen trong PTN
c/ Sục khí etilen vào dd thuốc tím
d/ Cho buta - 1,3 - đien + Br2 dư
Câu 2: Cho 4 gam một ankin tác dụng với lượng dư dung dịch AgNO3 trong NH3 thu được 14,7 gam kết tủa. Công thức phân tử của ankin là?
Câu 3: Đốt cháy hoàn toàn 10ml hiđrocacbon X cần vừa đủ 60ml khí oxi, sau phản ứng thu được 40ml khí cacbonic. Biết X làm mất màu dung dịch brom và có mạch cacbon phân nhánh. CTCT của X là?
Đáp án & Thang điểm
I. Phần trắc nghiệm
| Câu | 1 | 2 | 3 | 4 | 5 | 6 |
|---|---|---|---|---|---|---|
| Đ/A | B | D | B | A | D | B |
Câu 1:
- Tên của X là isopentan ((CH3)2 – CH – CH2 – CH3).
- Chọn đáp án B.
Câu 2:
- Etilen và axetilen là anken và ankin nên làm mất màu dung dịch brom ở điều kiện thường.
- Chọn đáp án D.
Câu 3:
- Chọn đáp án B.
Câu 4:
- Nhận xét đúng là (4). Đốt cháy ankađien hoặc ankin đều thu được nCO2 > nH2O
- Chọn đáp án A.
Câu 5:
- Có 4 chất có khả năng tham gia phản ứng cộng hiđro (xúc tác Ni, đun nóng) là: axetilen; anlen; isopren ; xiclobutan.
- Chọn đáp án D.
Câu 6:
- Chỉ có 2 ankin có liên kết ba ở đầu mạch mới tác dụng với AgNO3/ NH3 đó là pent – 1 – in và 3 – metylbut – 1 – in.
- Chọn đáp án B.
II. Phần tự luận
Câu 1:
- HS viết đúng mỗi PTHH 0,5 điểm, thiếu cân bằng trừ ½ số điểm mỗi PTHH.
a/
b/
c/
d/
Câu 2:
- Trường hợp 1: Xét ankin là C2H2.
+ Tính được:
+ Vậy ankin khác C2H2.
- Trường hợp 2: Xét ankin khác C2H2 đặt ankin là CnH2n - 2 vậy kết tủa là CnH2n-3Ag.
+ Có:
+ Giải PT được n = 3. Vậy ankin là C3H4.
Câu 3:
- Đặt X có dạng: CxHy. Ta có:
- Bảo toàn nguyên tố O có:
- Vậy X là C4H8.
- X có mạch C phân nhánh vậy CTCT của X là:
Sở Giáo dục và Đào tạo .....
Đề kiểm tra 15 phút Học kì 2
Môn: Hóa học 11
Thời gian làm bài: 15 phút
(Đề 3)
Cho nguyên tử khối của các nguyên tố: O = 16, H = 1, C = 12, Ag = 108.I. Phần trắc nghiệm
Câu 1: Tiến hành clo hóa 3 - metylpentan tỉ lệ 1:1, có thể thu được bao nhiêu dẫn xuất monoclo là đồng phân của nhau?
A. 4. B. 5.
C. 2. D. 3.
Câu 2: Đốt cháy hoàn toàn hỗn hợp các hiđrocacbon mạch hở trong cùng một dãy đồng đẳng thu được nCO2 = nH2O. Các hiđrocacbon đó thuộc dãy đồng đẳng nào?
A. Parafin. B. Olefin.
C. Điolefin. D. Ankin.
Câu 3: Cho sơ đồ chuyển hoá:
- Hai chất X, Y lần lượt là:
A. CH3CH2OH và CH3CHO.
B. CH3CH2OH và CH2 = CH2.
C. CH3CH2OH và CH3 – CH = CH – CH3.
D. CH3CH2OH và CH2 = CH – CH = CH2.
Câu 4: Hiđrocacbon X làm mất màu dung dịch brom ở nhiệt độ thường. Tên gọi của X là:
A. propilen.
B. metan.
C. xiclohexan.
D. 2 – metylpentan.
Câu 5: Trong các chất sau có cùng số mol: CH4, C2H2, C3H4, C2H6 thì đốt cháy chất nào cho thể tích khí CO2 lớn nhất?
A. CH4. B. C2H2.
C. C3H4. D. C2H6.
Câu 6: Nhận định nào sau đây là đúng?
A. Ankin có khả năng tham gia phản ứng tráng bạc.
B. Ankin không làm mất màu dung dịch brom.
C. Tất cả các ankin đều phản ứng với dung dịch AgNO3/ NH3 tạo kết tủa vàng.
D. Các ankin chứa liên kết ba đầu mạch phản ứng được với dung dịch AgNO3/ NH3
II. Phần tự luận
Câu 1: Từ axetilen, các chất vô cơ và điều kiện cần thiết khác có đủ. Viết các phương trình phản ứng điều chế: PVC và P.E.
Câu 2: Hỗn hợp X gồm propin và một ankin A có tỉ lệ mol 1:1. Lấy 0,3 mol X tác dụng với lượng dư dung dịch AgNO3 trong NH3 thu được 46,2 gam kết tủa. Xác định ankin A.
Câu 3: Đốt cháy hoàn toàn 2,24 lít khí metan và 3,36 lít khí axetilen thu được V lít khí CO2. Biết thể tích các khí đo ở đktc, tính giá trị của V.
Đáp án & Thang điểm
I. Phần trắc nghiệm
| Câu | 1 | 2 | 3 | 4 | 5 | 6 |
|---|---|---|---|---|---|---|
| Đ/A | A | B | D | A | C | D |
Câu 1:
- Tiến hành clo hóa 3 - metylpentan tỉ lệ 1:1, có thể thu được 4 dẫn xuất monoclo là đồng phân của nhau.
- Chọn đáp án A.
Câu 2:
- Đốt cháy olefin (CnH2n) thu được nCO2 = nH2O.
- Chọn đáp án B.
Câu 3:
- Chọn đáp án D.
Câu 4:
- Propilen (C3H6) là anken nên làm mất màu dung dịch brom ở nhiệt độ thường.
- Chọn đáp án A.
Câu 5:
- Khi các chất có cùng số mol, chất nào có số C lớn nhất thì khi đốt cháy cho thể tích khí CO2 lớn nhất.
- Vậy khi đốt C3H4 trong dãy cho thể tích khí CO2 lớn nhất.
- Chọn đáp án C.
Câu 6:
- Các ankin chứa liên kết ba đầu mạch phản ứng được với dung dịch AgNO3/ NH3 tạo kết tủa vàng.
- Chọn đáp án D.
II. Phần tự luận
Câu 1:
- HS viết đúng mỗi PTHH 0,5 điểm, thiếu điều kiện hoặc không cân bằng trừ ½ số điểm mỗi PT.
1/ Đ/c PE:
2/ Đ/c PVC
Câu 2:
nA = npropin = 0,15(mol).
- Trường hợp 1: Ankin A là C2H2,
+ khi đó: m↓ = 0,15.240+0,15.147=85.05g (không thỏa mãn)
- Trường hợp 2: Ankin A khác C2H2, khi đó đặt ankin là CnH2n-2 vậy kết tủa là CnH2n -3Ag .
+ Có:
(thỏa mãn)
- Vậy A là but – 1 – in.
Câu 3:
- Bảo toàn nguyên tố C ta có:
- Vậy V = 0,4.22,4 = 8,96 lít.
Sở Giáo dục và Đào tạo .....
Đề kiểm tra 15 phút Học kì 2
Môn: Hóa học 11
Thời gian làm bài: 15 phút
(Đề 4)
Cho nguyên tử khối của các nguyên tố: O = 16, H = 1, C = 12, Ag = 108.I. Phần trắc nghiệm
Câu 1: Đốt cháy hỗn hợp gồm một ankan và một anken thu được a mol nước và b mol CO2. Tỉ số có giá trị là T = a/b
A. T = 1. B. T = 2.
C. T > 1. D. T > 2.
Câu 2: Chất nào sau đây không làm mất màu dung dịch brom?
A. Butan. B. Axetilen.
C. Butađien. D. Isopren.
Câu 3:
Cho sơ đồ chuyển hóa sau:
Tên gọi của X và Y lần lượt là:
A. etan và eten.
B. etin và eten.
C. etan và etin.
D. etin và etan.
Câu 4: C2H4 không thuộc dãy đồng đẳng nào dưới đây?
A. Anken.
B. Olefin.
C. Parafin.
D. Hiđrocacbon không no, mạch hở.
Câu 5: Hiđro hóa hoàn toàn axetilen bằng lượng dư hiđro với xúc tác Ni, đun nóng thu được sản phẩm là
A. etilen. B. etan.
C. eten. D. vinylaxetilen.
Câu 6: Hiđrocacbon Y có công thức C5H8, cấu tạo mạch phân nhánh và có phản ứng tạo kết tủa với dung dịch AgNO3/ NH3. Công thức cấu tạo của Y là:
II. Phần tự luận
Câu 1: Bằng phương pháp hoá học hãy trình bày cách phân biệt 3 bình không dán nhãn chứa mỗi khí không màu sau: etan, propilen và but – 1 – in.
Câu 2: Cho 13,8 gam chất hữu cơ X có công thức phân tử C7H8 tác dụng với một lượng dư dung dịch AgNO3 trong NH3 thu được 45,9 gam kết tủa. X có bao nhiêu đồng phân cấu tạo thỏa mãn tính chất trên?
Câu 3: Hỗn hợp X gồm C2H6 và 1 anken có tỉ lệ mol là 2 : 3. Cho 5,6 lít hỗn hợp X qua 100g dung dịch brom 16%, sau khi phản ứng hoàn toàn thấy khí bay ra có tỉ khối hơi so với hiđro là 17. Xác định công thức phân tử của anken.
Đáp án & Thang điểm
I. Phần trắc nghiệm
| Câu | 1 | 2 | 3 | 4 | 5 | 6 |
|---|---|---|---|---|---|---|
| Đ/A | C | A | D | C | B | D |
Câu 1:
- Đốt cháy anken thu được nCO2 = nH2O , đốt cháy ankan thu được nCO2 < nH2O .
- Vậy T > 1. Chọn đáp án C.
Câu 2:
- Butan không làm mất màu dung dịch brom vì trong butan không chứa liên kết pi ( ).
- Chọn đáp án A.
Câu 3:
- Chọn đáp án D.
Câu 4:
- C2H4 là anken (hay olefin; hiđrocacbon không no, mạch hở) nên không thuộc dãy đồng đẳng parafin.
- Chọn đáp án C.
Câu 5:
- Với xúc tác Ni, đun nóng sản phẩm hiđro hóa axetilen là etan.
- Chọn đáp án B.
Câu 6:
- Y là:
vì thỏa mãn điều kiện là ankin có chứa liên kết ba đầu mạch và có cấu tạo mạch C phân nhánh.
- Chọn đáp án D.
II. Phần tự luận
Câu 1:
- Đánh số thứ tự các bình mất nhãn
- Dùng dg AgNO3/NH3 nhận ra But – 1 – in nhờ kết tủa vàng, còn lại là nhóm I gồm: etan, propilen không hiện tượng.
+ Pư: C4H6 + AgNO3 +NH3 → C4H5Ag↓ + NH4NO3.
- Sục lần lượt nhóm I vào nước Br2. Thấy mất màu nước brom là propilen còn lại là etan.
+ Pư: CH2 = CH - CH3 + Br2 → CH2Br – CHBr - CH3.
Câu 2:
π + v = 4
X tác dụng được với dung dịch AgNO3 trong NH3 nên X có ít nhất 1 liên kết ba ở đầu mạch.
- Ta có:
- Vậy X có hai liên kết ba ở đầu mạch. Có 4 đồng phân cấu tạo thỏa mãn là:
Câu 3:
- Số mol C2H6 = 0,1; số mol anken = 0,15 mol.
- Theo bài ra, sau phản ứng có C2H6 0,1 mol và anken dư 0,05 mol.
→ Manken = 42.
- Vậy anken là C3H6.
Xem thêm các đề thi Hóa học 11 chọn lọc, có đáp án hay khác:
- Đề thi Hóa học 11 Học kì 1 có đáp án (9 đề)
- Đề kiểm tra 15 phút Hóa 11 Học kì 2 có đáp án (Bài số 2) (8 đề)
- Đề kiểm tra Hóa học 11 Giữa kì 2 có đáp án (5 đề)
- Đề thi Hóa học 11 Giữa kì 2 có đáp án (5 đề)
- Đề thi Hóa học 11 Học kì 2 có đáp án (5 đề)
Để học tốt lớp 11 các môn học sách mới:
- Giải bài tập Lớp 11 Kết nối tri thức
- Giải bài tập Lớp 11 Chân trời sáng tạo
- Giải bài tập Lớp 11 Cánh diều
Tủ sách VIETJACK shopee lớp 10-11 (cả 3 bộ sách):
Đã có app VietJack trên điện thoại, giải bài tập SGK, SBT Soạn văn, Văn mẫu, Thi online, Bài giảng....miễn phí. Tải ngay ứng dụng trên Android và iOS.
Theo dõi chúng tôi miễn phí trên mạng xã hội facebook và youtube:Nếu thấy hay, hãy động viên và chia sẻ nhé! Các bình luận không phù hợp với nội quy bình luận trang web sẽ bị cấm bình luận vĩnh viễn.
- Giáo án lớp 11 (các môn học)
- Giáo án điện tử lớp 11 (các môn học)
- Giáo án Toán 11
- Giáo án Ngữ văn 11
- Giáo án Tiếng Anh 11
- Giáo án Vật Lí 11
- Giáo án Hóa học 11
- Giáo án Sinh học 11
- Giáo án Lịch Sử 11
- Giáo án Địa Lí 11
- Giáo án KTPL 11
- Giáo án HĐTN 11
- Giáo án Tin học 11
- Giáo án Công nghệ 11
- Giáo án GDQP 11
- Đề thi lớp 11 (các môn học)
- Đề thi Ngữ Văn 11 (có đáp án)
- Chuyên đề Tiếng Việt lớp 11
- Đề cương ôn tập Văn 11
- Đề thi Toán 11 (có đáp án)
- Đề thi Toán 11 cấu trúc mới
- Đề cương ôn tập Toán 11
- Đề thi Tiếng Anh 11 (có đáp án)
- Đề thi Tiếng Anh 11 mới (có đáp án)
- Đề thi Vật Lí 11 (có đáp án)
- Đề thi Hóa học 11 (có đáp án)
- Đề thi Sinh học 11 (có đáp án)
- Đề thi Lịch Sử 11
- Đề thi Địa Lí 11 (có đáp án)
- Đề thi KTPL 11
- Đề thi Tin học 11 (có đáp án)
- Đề thi Công nghệ 11
- Đề thi GDQP 11 (có đáp án)


Giải bài tập SGK & SBT
Tài liệu giáo viên
Sách
Khóa học
Thi online
Hỏi đáp

