Đề kiểm tra 45 phút Đại số 11 Chương 5 có đáp án (Đề 1)
Đề kiểm tra Đại Số 11 - Học kì 2
Thời gian làm bài: 45 phút
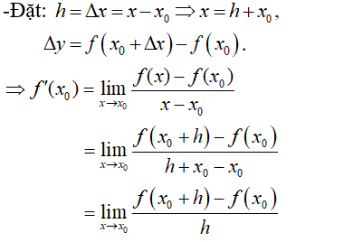
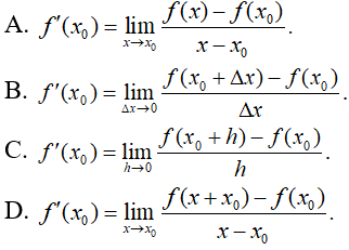
Câu 1: Cho hàm số y = f(x) có đạo hàm tại x0 là f'(x0) . Khẳng định nào sau đây sai?
Câu 2: Số gia của hàm số f(x) = x3 ứng với x0 = 2 và Δx = 1 bằng bao nhiêu?
Câu 3: Cho hàm số
Tính đạo hàm của hàm số đã cho tại điểm x0 = 1?
Câu 4: Cho hàm số
Với giá trị nào sau đây của a,b thì hàm số có đạo hàm tại x = 1?
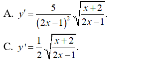
Câu 5: Cho hàm số
đạo hàm của hàm số tại x = 1 là:
Câu 6: Cho hàm số f(x) = (3x2 - 1)2 Giá trị f'(1) là:
Câu 7: Đạo hàm của hàm số
là:
Câu 8: Tính đạo hàm của hàm số sau:
Câu 9: Cho hàm số
Đạo hàm y' của hàm số là biểu thức nào sau đây?
Câu 10: Tính đạo hàm của hàm số
Câu 11: Đạo hàm của hàm số
là:
Câu 12: Đạo hàm của hàm số
bằng biểu thức nào sau đây?
Câu 13: Tìm a, b để các hàm số sau có đạo hàm trên R:
Câu 14: Cho hàm số y = x3 - 3x2 - 9x - 5. Phương trình y' = 0 có nghiệm là:
Câu 15: Cho hàm số y = -4x3 + 4x. Tìm x để y' ≥ 0.
Câu 16: Tìm m để các hàm số
có y' ≥ 0 ∀ ∈ ℜ.
Câu 17: Cho hàm số
bằng:
Câu 18: Đạo hàm của hàm số y = cos(tan x) bằng:
Câu 19: Hàm số
có đạo hàm là:
Câu 20: Tính đạo hàm của hàm số sau: .
Câu 21: Đạo hàm của hàm số
là:
Câu 22: Hàm số
có đạo hàm bằng:
Câu 23: Cho hàm số
Phương trình tiếp tuyến tại A(1; -2) là:
Câu 24: Phương trình tiếp tuyến của đồ thị hàm số
tại điểm có tung độ tiếp điểm bằng 2 là:
Câu 25: Cho hàm số
có đồ thị là (C).Giả sử (d) là tiếp tuyến của (C) tại điểm có hoành độ x = 2, đồng thời (d) cắt đồ thị (C) tại N, tìm tọa độ N.
Câu 26: Cho hàm số
(Cm). Tìm m để tiếp tuyến của (Cm) tại điểm có hoành độ x0 = 2 tạo với hai trục tọa độ một tam giác có diện tích bằng 25/2.
Câu 27: Hệ số góc của tiếp tuyến của đồ thị hàm số
tại giao điểm với trục tung bằng:
Câu 28: Tìm m để tiếp tuyến của đồ thị hàm số
tại điểm có hoành độ x = -1 vuông góc với đường thẳng d : 2x – y - 3 = 0.
Câu 29: Viết phương trình tiếp tuyến kẻ từ điểm A (2; 3) tới đồ thị hàm số
là:
Câu 30: Tìm vi phân của các hàm số
Câu 31: Hàm số y = (2x + 5)5 có đạo hàm cấp 3 bằng:
Câu 32: Hàm số
có đạo hàm cấp 2 bằng:
Câu 33: Cho chuyển động thẳng xác định bởi phương trình s = t3 – 3t2 ( t tính bằng giây; s tính bằng mét). Khẳng định nào sau đây đúng?
A. Gia tốc của chuyển động khi t = 4s là A = 18m/s2.
B. Gia tốc của chuyển động khi t = 4s là A = 9m/s2.
C. Vận tốc của chuyển động khi t = 3s là A = 12m/s2.
D. Vận tốc của chuyển động khi t = 3s là A = 24m/s2.
Đáp án & Hướng dẫn giải
Câu 1:
A. Đúng (theo định nghĩa đạo hàm tại một điểm).
B. Đúng vì:
C. Đúng vì:
Chọn D
Câu 2:
- Ta có:
Chọn C.
Câu 3:
- Ta có:
⇒ hàm số không liên tục tại x = 1 nên hàm số không có đạo hàm tại x0 = 1.
Chọn D.
Câu 4:
- Ta có:
- Hàm số đã cho có đạo hàm tại x = 1 nên hàm số liên tục tại x = 1.
- Hàm số có đạo hàm tại x = 1 nên giới hạn 2 bên của
bằng nhau, ta có:
Chọn A.
Câu 5:
- Ta có:
Chọn B.
Câu 6:
- Ta có:
Chọn D.
Câu 7:
- Áp dụng công thức
- Do đó:
Chọn D.
Câu 8:
- Sử dụng công thức (uα)' với .
Chọn D.
Câu 9:
Cách 1: Ta có:
Cách 2: Ta có:
Chọn C.
Câu 10:
- Ta có:
Chọn D.
Câu 11:
- Ta có:
Chọn D.
Câu 12:
- Ta có:
Chọn B.
Câu 13:
- Với x ≠ 1 thì hàm số luôn có đạo hàm.
- Do đó hàm số có đạo hàm trên R khi và chỉ khi hàm số có đạo hàm tại x=1.
- Ta có:
→ Hàm số liên tục trên ℜ
- Khi đó:
- Nên hàm số có đạo hàm trên ℜ thì:
Chọn D
Câu 14:
- Ta có:
Chọn B.
Câu 15:
Chọn B
Câu 16:
- Ta có:
- Do đó y' ≥ 0 ∀x ∈ ℜ (1).
- Vậy không có giá trị nào của m thỏa mãn.
Chọn D.
Câu 17:
- Ta có:
Chọn D.
Câu 18:
- Ta có:
Chọn B.
Câu 19:
- Ta có:
Chọn C.
Câu 20:
- Bước đầu tiên áp dụng (u - v)'.
- Tương tự:
Chọn D.
Câu 21:
- Ta có:
Chọn C.
Câu 22:
- Ta có:
Chọn B.
Câu 23:
- Ta có:
- Phương trình tiếp tuyến cần tìm:
Chọn B
Câu 24:
- Tập xác định: D = ℜ
- Tung độ tiếp điểm bằng 2 nên hoành độ tiếp điểm là nghiệm phương trình:
+) Tại M(1; 2) thì y’(1) = 8. Phương trình tiếp tuyến là:
+) Tại N(-1; 2) thì y’ (-1) = -8. Phương trình tiếp tuyến là:
- Vậy có 2 tiếp tuyến thỏa mãn đề bài là:
Chọn A
Câu 25:
- Tiếp tuyến (d) tại điểm M của đồ thị (C) có hoành độ x0 = 0 ⇒ y0 = 3.
- Ta có:
- Phương trình tiếp tuyến (d) tại điểm M của đồ thị (C) là:
- Xét phương trình hoành độ giao điểm của đồ thị (C) và đường thẳng d là nghiệm phương trình :
- Với x = -4 thì y = 9.(-4) – 15 = -51.
- Vậy N(- 4 ; -51) là điểm cần tìm.
Chọn C.
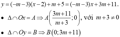
Câu 26:
- Phương trình tiếp tuyến Δ của (Cm) tại điểm có hoành độ x0 = 2 là:
- Suy ra diện tích tam giác OAB là:
- Theo giả thiết bài toán ta suy ra:
Chọn A.
Câu 27:
- Tập xác định: D = ℜ\{-1}.
- Đạo hàm:
- Đồ thị hàm số cắt trục tung tại điểm A(0; -1).
- Hệ số góc của tiếp tuyến tại điểm A là: k = y’(0) = 2.
Chọn B.
Câu 28:
- Ta có : (d) : 2x – y – 3 = 0 ⇔ y = 2x - 3. Đường thẳng d có hệ số góc kd = 2 .
- Hệ số góc của tiếp tuyến của đồ thị hàm số
tại điểm có hoành độ x = -1 là:
- Do tiếp tuyến vuông góc với đường thẳng d nên ta có:
Chọn D.
Câu 29:
- Ta có:
- Phương trình tiếp tuyến của đồ thị
tại điểm M(x0; y0) ∈ (C) với x0 ≠ 2 là:
- Vì tiếp tuyến đi qua điểm A(2; 3) nên ta có:
- Vậy có một tiếp tuyến thỏa đề bài là:
Chọn C.
Câu 30:
- Ta có:
- Do đó, vi phân của hàm số đã cho là:
Chọn D.
Câu 31:
- Ta có:
Chọn B
Câu 32:
- Ta có:
Chọn B
Câu 33:
- Phương trình vận tốc của chuyển động là:
- Phương trình gia tốc của chuyển động là:
Chọn A.
Xem thêm các đề thi Toán 11 Đại số, Hình học có đáp án hay khác:
- Đề kiểm tra 45 phút Đại số 11 Chương 5 có đáp án (Đề 2)
- Đề kiểm tra 45 phút Đại số 11 Chương 5 có đáp án (Đề 3)
- Đề kiểm tra 45 phút Đại số 11 Chương 5 có đáp án (Đề 4)
Để học tốt lớp 11 các môn học sách mới:
- Giải bài tập Lớp 11 Kết nối tri thức
- Giải bài tập Lớp 11 Chân trời sáng tạo
- Giải bài tập Lớp 11 Cánh diều
Tủ sách VIETJACK shopee lớp 10-11 (cả 3 bộ sách):
Đã có app VietJack trên điện thoại, giải bài tập SGK, SBT Soạn văn, Văn mẫu, Thi online, Bài giảng....miễn phí. Tải ngay ứng dụng trên Android và iOS.
Theo dõi chúng tôi miễn phí trên mạng xã hội facebook và youtube:Nếu thấy hay, hãy động viên và chia sẻ nhé! Các bình luận không phù hợp với nội quy bình luận trang web sẽ bị cấm bình luận vĩnh viễn.
- Giáo án lớp 11 (các môn học)
- Giáo án điện tử lớp 11 (các môn học)
- Giáo án Toán 11
- Giáo án Ngữ văn 11
- Giáo án Tiếng Anh 11
- Giáo án Vật Lí 11
- Giáo án Hóa học 11
- Giáo án Sinh học 11
- Giáo án Lịch Sử 11
- Giáo án Địa Lí 11
- Giáo án KTPL 11
- Giáo án HĐTN 11
- Giáo án Tin học 11
- Giáo án Công nghệ 11
- Giáo án GDQP 11
- Đề thi lớp 11 (các môn học)
- Đề thi Ngữ Văn 11 (có đáp án)
- Chuyên đề Tiếng Việt lớp 11
- Đề cương ôn tập Văn 11
- Đề thi Toán 11 (có đáp án)
- Đề thi Toán 11 cấu trúc mới
- Đề cương ôn tập Toán 11
- Đề thi Tiếng Anh 11 (có đáp án)
- Đề thi Tiếng Anh 11 mới (có đáp án)
- Đề thi Vật Lí 11 (có đáp án)
- Đề thi Hóa học 11 (có đáp án)
- Đề thi Sinh học 11 (có đáp án)
- Đề thi Lịch Sử 11
- Đề thi Địa Lí 11 (có đáp án)
- Đề thi KTPL 11
- Đề thi Tin học 11 (có đáp án)
- Đề thi Công nghệ 11
- Đề thi GDQP 11 (có đáp án)


Giải bài tập SGK & SBT
Tài liệu giáo viên
Sách
Khóa học
Thi online
Hỏi đáp

