Top 12 Đề thi Vật Lí 11 Học kì 2 có đáp án, cực hay
Top 12 Đề thi Vật Lí 11 Học kì 2 có đáp án, cực hay
Phần dưới là danh sách Đề kiểm tra Vật Lí 11 Học kì 2 có đáp án gồm các đề kiểm tra 15 phút, đề thi giữa kì, đề thi học kì. Hi vọng bộ đề thi này sẽ giúp bạn ôn luyện & đạt điểm cao trong các bài thi Vật Lí 11.
Bộ Đề thi Vật Lí 11 Học kì 2
- Đề kiểm tra 15 phút Vật Lí 11 Học kì 2 có đáp án (3 đề)
- Đề thi Vật Lí 11 Giữa học kì 2 có đáp án (3 đề)
- Đề thi Vật Lí 11 Học kì 2 có đáp án (3 đề)
Sở Giáo dục và Đào tạo .....
Đề kiểm tra 15 phút Học kì 2
Môn: Vật Lí 11
Thời gian làm bài: 15 phút
Phần I: Trắc nghiệm
Câu 1: Vật sáng AB qua thấu kính hội tụ có tiêu cự f = 15 cm cho ảnh thật A’B’ cao gấp 5 lần vật. Khoảng cách từ vật tới thấu kính là:
A. 12 cm.
B. 36 cm.
C. 4 cm.
D. 18 cm.
Câu 2: Để khắc phục tận cận thị của mắt khi quan sát các vật ở vô cực mà mắt không phải điều tiết thì cần đeo kính:
A. hội tụ có độ tụ nhỏ.
B. hội tụ có độ tụ thích hợp.
C. phân kì có độ tụ thích hợp.
D. phân kì có độ tụ nhỏ.
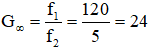
Câu 3: Một kính thiên văn gồm vật kính có tiêu cự f1 = 120 cm và thị kính có tiêu cự f2 = 5 cm. Số bội giác của kính khi người mắt bình thường (không tật) quan sát Mặt trăng trong trạng thái không điều tiết là:
A. 24 lần.
B. 25 lần.
C. 20 lần.
D. 30 lần.
Câu 4: Khi ghép sát một thấu kính hội tụ có tiêu cự 30 cm đồng trục với một thấu kính phân kì có tiêu cự 10 cm ta có được thấu kính tương đương với tiêu cự là
A. –15 cm.
B. 15 cm.
C. 50 cm.
D. 20 cm.
Câu 5: Chọn câu phát biểu đúng?
A. Ảnh của vật nhìn qua kính hiển vi là ảnh ảo ngược chiều với vật.
B. Ảnh của vật nhìn qua kính thiên văn ngược chiều và lớn hơn vật.
C. Khoảng cách giữa vật kính và thị kính của kính hiển vi thay đổi được.
D. Khoảng cách giữa vật kính và thị kính của kính thiên văn không thay đổi được.
Câu 6: Thấu kính có độ tụ D = -5 điôp đó là thấu kính
A. phân kì có tiêu cự f = -5 cm.
B. hội tụ có tiêu cự f = 20 cm.
C. phân kì có tiêu cự f = -20 cm.
D. hội tụ có tiêu cự f = 5 cm.
Câu 7: Nhận xét nào sau đây là đúng?
A. Với thấu kính phân kì, vật thật luôn cho ảnh ảo.
B. Với thấu kính hội tụ, vật thật luôn cho ảnh lớn hơn vật.
C. Với thấu kính phân kì, vật thật luôn cho ảnh lớn hơn vật.
D. Với thấu kính hội tụ, vật thật luôn cho ảnh thật.
Câu 8: Kính lúp là thấu kính
A. phân kì có tiêu cự nhỏ.
B. phân kì có tiêu cự lớn.
C. hội tụ có tiêu cự lớn.
D. hội tụ có tiêu cự nhỏ..
Câu 9: Có thể dùng kính lúp để quan sát nào dưới đây cho hợp lí?
A. chuyển động các hành tinh.
B. một con vi khuẩn rất nhỏ.
C. cả một bức tranh phong cảnh lớn.
D. các bộ phận trên cơ thể con ruồi.
Câu 10: Một lăng kính có góc chiết quang 60°. Chiếu một tia sáng đơn sắc tới lăng kính sao cho tia ló có góc lệch cực tiểu bằng 30°. Chiết suất của thủy tinh làm lăng kính đối với ánh sáng đơn sắc đó là
A. 1,503.
B. 1,731.
C. 1,414.
D. 1,82.
Phần II: Tự luận
Đáp án & Hướng dẫn giải
Câu 1:
Đáp án D
+ Với thấu kính hội tụ, vật cho ảnh thật thì ảnh này ngược chiều với vật, ta có:
Câu 2:
Đáp án C
+ Để khắc phục tật cận thi ta đeo kính phân kì có độ tụ thích hợp.
Câu 3:
Đáp án A
+ Độ bội giác của kính thiên văn
Câu 4:
Đáp án A
+ Ta có
Câu 5:
Đáp án A
+ Ảnh của vật nhìn qua kính hiển vi là ảnh ảo ngược chiều với vật.
Câu 6:
Đáp án C
+ Tiêu cự của thấu kính thấu kính phân kì.
Câu 7:
Đáp án A
+ Với thấu kính phân kì, vật thật luôn cho ảnh ảo.
Câu 8:
Đáp án D
+ Kính lúp là thấu kính hội tụ có tiêu cự nhỏ
Câu 9:
Đáp án D
+ Có thể dùng kính lúp để quan sát các bộ phận trên cơ thể ruồi.
Câu 10:
Đáp án C
+ Góc lệch của tia sáng qua lăng kính:
Chiết suất của lăng kính đối với tia sáng
Sở Giáo dục và Đào tạo .....
Đề thi Giữa học kì 2
Môn: Vật Lí 11
Thời gian làm bài: 45 phút
Phần I: Trắc nghiệm
Câu 1: Công thức nào sau đây tính cảm ứng từ tại tâm của một vòng dây tròn có bán kính R mang dòng điện I trong không khí là
Câu 2: Cuộn dây tròn dẹt có 20 vòng, bán kính là 3,14 cm. Khi có dòng điện đi vào thì tại tâm của vòng dây xuất hiện từ trường là B=2.10-3 T. Tính cường độ dòng điện trong vòng dây.
A. 3A
B. 4A
C. 5A
D. 2,5A
Câu 3: Cho dòng điện cường độ I = 0,2A chạy qua các vòng dây của một ống dây. Ống dây dài 50cm và có 780 vòng dây. Cảm ứng từ bên trong ống lòng ống dây là:
A. 3,918.10-4T
B. 4,521.10-4T
C. 2,872.10-4T
D. 3,326.10-4T
Câu 4: Đáp án nào sau đây đúng khi nói về tương tác giữa hai dòng điện thẳng song song:
A. cùng chiều thì đẩy nhau.
B. cùng chiều thì hút nhau
C. ngược chiều thì hút nhau
D. cùng chiều thì đẩy, ngược chiều thì hút
Câu 5: Một đoạn dây dẫn thẳng dài 89cm được đặt vuông góc với các đường sức từ trong một từ trường đều. Cho biết khi dòng điện chạy qua đoạn dây dẫn có cường độ 23A, thì đoạn dây dẫn này bị tác dụng một lực từ bằng 1,6N. Xác định cảm ứng từ của từ trường đều.
A. 78.10-5 T.
B. 78.10-3 T.
C. 78T.
D. 7,8.10-3 T.
Câu 6: Một thanh nhôm MN, khối lượng 0,2 kg chuyển động trong từ trường đều và luôn tiếp xúc với hai thanh ray đặt song song cách nhau 1,6m, nằm ngang, nằm trong mặt phẳng hình vẽ. Từ trường ngược hướng với trọng lực, có độ lớn B = 0,05T. Hệ số ma sát trượt giữa thanh nhôm MN và hai thanh ray là µ = 0,40. Lấy g= 10 m/s2. Khi cường độ dòng điện qua thanh nhôm không đổi bằng 12 A thì nó chuyển động nhanh dẫn đều với gia tốc?
A. 0,3 m/s2.
B. 0,4 m/s2.
C. 0,8 m/s2.
D. 0,5 m/s2.
Câu 7: Một hạt mang điện 3,2.10-19 Cbay vào trong từ trường đều có B = 0,5 Thợp với hướng của đường sức từ 30°.Lực Lorenxơ tác dụng lên hạt có độ lớn 8.10-14 N. Tốc độ của hạt đó khi bắt đầu vào trong từ trường là
A. 2.106 m/s.
B. 106 m/s.
C. 3.106 m/s.
D. 4.106 m/s.
Câu 8: Một hạt điện tích chuyển động trong từ trường đều quĩ đạo của hạt luôn vuông góc với đường sức từ. Nếu hạt chuyển động với vận tốc v1 = 1,8.106 m/sthì lực Lorenxơ tác dụng lên hạt có độ lớn là f1 = 2.10-6 N, nếu hạt chuyển động với vận tốc là v2 = 4,5.107 m/s thì lực Lorenxơ tác dụng lên hạt có giá trị là
A. 2.10-5 N.
B. 3.10-5 N.
C. 5.10-5 N.
D. 10-5 N.
Câu 9: Cho dòng điện cường độ A chạy qua các vòng dây của một ống dây thì cảm ứng từ bên trong ống dây là T. Tính số vòng của ống dây, biết ống dây dài cm.
A. vòng.
B. vòng.
C. vòng.
D. vòng
Câu 10: Một vòng dây phẳng giới hạn diện tích S = 5 cm2 đặt trong từ trường đều cảm ứng từ B = 0,1T. Mặt phẳng vòng dây làm thành với từ trường một góc α = 30°. Tính từ thông qua S.
A. 3.10-4Wb
B. 3.10-5 Wb
C. 4,5.10-5 Wb
D. 2,5.10-5 Wb
Câu 11: (Đề chính thức của BGD-ĐT - 2018) Một vòng dây dẫn kín, phẳng được đặt trong từ trường đều. Trong khoảng thời gian 0,04 s, từ thông qua vòng dây giảm đều từ giá trị 6.10-3 Wb về 0 thì suất điện động cảm ứng xuất hiện trong vòng dây có độ lớn là
A. 0,12 V.
B. 0,15 V.
C. 0,30 V.
D. 0,24V.
Câu 12: Một vòng dây dẫn hình vuông, cạnh a = 10 cm, đặt cố định trong một từ trường đều có vectơ cảm ứng từ vuông góc với mặt khung. Trong khoảng thời gian 0,05 s, cho độ lớn của cảm ứng từ tăng đều từ 0 đến 0,5 T. Xác định độ lớn của suất điện động cảm ứng xuất hiện trong vòng dây.
A. 1 (V).
B. 0,15 (V).
C. l,5 (V).
D. 0,1 (V)
Câu 13: Cho thanh dẫn điện MN = 15cm đặt nằm ngang trên hai thanh ray dẫn điện x’x, y’y như trên hình vẽ. Hai thanh ray đủ dài được đặt trong từ trường đều đủ rộng có độ lớn B = 0,5 T, hướng vuông góc với mặt phằng chúa hai thanh ray. Thanh MN chuyển động thẳng đểu vể phía x’y’ với vận tốc không đổi 3 m/s. Biết điện trở R = 0,5 Ω, điện trở của thanh MN và hai thanh ray rất nhỏ, ma sát giữa MN và hai thanh ray rất nhỏ. Dòng điện cảm ứng qua R có độ lớn
A. 0,45 A
B. 4,5 A
C. 0,25 A
D. 2,5 A
Câu 14: Tính độ tự cảm của một ống dây hình trụ có chiều dài 0,5 m gồm 1000 vòng dây, mỗi vòng dây có đường kính 20 cm.
A. 0,088 H.
B. 0,079 H.
C. 0,125 H.
D. 0,064 H.
Câu 15: Một cuộn tự cảm có độ tự cảm 0,5 H, trong đó dòng điện tăng đều với tốc độ 200 A/s thì suất điện động tự cảm là
A. −100 V.
B. 20 V.
C. 100 V.
D. 200V
Câu 16: Suất điện động tự cảm 0,75 V xuất hiện trong một cuộn cảm có L = 25 mH; tại đó cường độ dòng điện giảm từ giá trị I xuống 0 trong 0,01 s. Tính I.
A. 0,1 A
B. 0.4 A
C. 0.3 A
D. 0,6 A.
Câu 17: Một ống dây dài ℓ = 30cm gồm N = 1000 vòng dây, đường kính mỗi vòng dây d = 8 cm có dòng điện với cường độ i = 2 A đi qua. Thời gian ngắt dòng điện là t = 0,1s, độ lớn suất điện động tự cảm xuất hiện trong ống dây là
A. 0,15 V.
B. 0,42 V.
C. 0,24 V.
D. 8,6 V
Câu 18: Các đường sức từ của dòng điện thẳng dài có dạng là các đường
A. thẳng vuông góc với dòng điện.
B. tròn đồng tâm vuông góc với dòng điện.
C. tròn đồng tâm vuông góc với dòng điện, tâm trên dòng điện.
D. tròn vuông góc với dòng điện.
Câu 19: Nhìn vào dạng đường sức từ, so sánh ống dây mang dòng điện với nam châm thẳng người ta thấy:
A. giống nhau, đầu ống dòng điện đi cùng chiều kim đồng hồ là cực bắc.
B. giống nhau, đầu ống dòng điện đi cùng chiều kim đồng hồ là cực nam.
C. khác nhau, đầu ống dòng điện đi ngược chiều kim đồng hồ là cực bắc.
D. khác nhau, đầu ống dòng điện đi ngược chiều kim đồng hồ là cực nam.
Câu 20: Hai ống dây dặt trong không khí có các thông số như sau:
Độ lớn cảm ứng từ trong các ống dây lần lượt là B1 và B2. Chọn phưong án đúng.
Phần II: Tự luận
Bài 1: Một hạt electron có động năng ban đầu Wđ = 2,49.10-18 J bay vào trong một từ trường đều có B = 5.10-5 theo hướng vuông góc với các đường sức thì hạt chuyển động tròn đều trên đường tròn bán kính r. Cho biết khối lượng của electron là 9,1.10-31 kg, điện tích của electron là e = - 1,6.10-19 C. Hãy xác đinh:
a. Vận tốc của electron nói trên
b. Lực lorenxo tác dụng lên electron
c. Bán kính quỹ đạo của electron
d. Chu kỳ quay của hạt electron
Bài 2: Một ống dây dẫn hình trụ dài gồm N = 1000 vòng dây, mỗi vòng dây có đường kính d = 10cm, dây dẫn có tiết diện S = 0,4 mm2, điện trở suất ρ = 1,75.10-8 Ωm. Ống dây đó đặt trong từ trường đều, véc tơ cảm ứng từ B song song với trục hình trụ có độ lớn tăng đều với thời gian theo quy luật ΔB/Δt = 0,01(T/s)
a. Nối hai đầu ống dây vào một tụ điện có C = 10-4F, hãy tính năng lượng tụ điện
b. Nối đoản mạch hai đầu ống dây, hãy tính công suất tỏa nhiệt trong ống dây.
Đáp án & Hướng dẫn giải
Phần I: Trắc nghiệm
Câu 1: Đáp án B
Cảm ứng từ tại tâm vòng tròn:
Câu 2: Đáp án C
Cường độ dòng điện trong vòng dây là:
Câu 3: Đáp án A
Cảm ứng từ bên trong ống dây là
Câu 4: Đáp án B
Khi hai dòng điện cùng chiều thì tương tác hút nhau
Câu 5: Đáp án B
Câu 6: Đáp án C
+ Theo quy tắc bàn tay trái, hướng của lực từ có dạng như hình vẽ, có độ lớn
+ Gia tốc
Câu 7: Đáp án B
Vận tốc của hạt đó:
Câu 8: Đáp án C
Ta có:
Câu 9: Đáp án D
Câu 10: Đáp án D
Câu 11: Đáp án B
Câu 12: Đáp án D
Câu 13: Đáp án A
Câu 14: Đáp án B
Câu 15: Đáp án A
Câu 16: Đáp án C
Câu 17: Đáp án B
Câu 18: Đáp án C
+ Nó có dạng là các đường tròn đồng tâm nằm trong mặt phẳng vuông góc với dòng điện, tâm đặt trên dòng điện.
Câu 19: Đáp án C
+ Người ta thấy rằng dạng đường sức từ của ống dây mang dòng điện với nam châm thẳng là giống nhau, đầu ống dòng điện đi cùng chiều kim đồng hồ là cực Nam.
Câu 20: Đáp án C
Phần II: Tự luận
Bài 1:
a. Ta có
b. Độ lớn lực Lorenxo tác dụng lên electron:
c. Vì electron bay vào từ trường và chuyển động vuông góc với cảm ứng từ nên lực Lorenxơ là lực hướng tâm, do đó ta có:
d. Chu kì quay của electron:
Bài 2:
a. Suất điện động trong ống dây:
Vì nối hai đầu ống dây vào tụ nên UC = e
Vậy năng lượng trên tụ điện là:
b. Khi nối đoản mạch hai đầu ống đay thì được mạch kín là ống dây nên dòng điện cảm ứng trong ống dây sẽ là i = e/R
Chiều dài của tất cả các vòng dây là L = Nπd
→ Công suất tỏa nhiệt trên ống dây là:
Sở Giáo dục và Đào tạo .....
Đề thi Học kì 2
Môn: Vật Lí 11
Thời gian làm bài: 60 phút
Phần I: Trắc nghiệm
Câu 1: 1 vêbe bằng
A. 1 T.m2.
B. 1 T/m.
C. 1 T.m.
D. 1 T/m2.
Câu 2: Thấu kính hội tụ là một khối chất trong suốt được giới hạn bởi
A. hai mặt cầu lồi.
B. hai mặt phẳng.
C. hai mặt cầu lõm.
D. hai mặt cầu hoặc một mặt cầu, một mặt phẳng
Câu 3: Chiếu một ánh sáng đơn sắc từ chân không vào một khối chất trong suốt với góc tới 45° thì góc khúc xạ 30°. Chiết suất tuyệt đối của môi trường này là bao nhiêu?
Câu 4: Cho hai dây dây dẫn đặt gần nhau và song song với nhau. Khi có hai dòng điện cùng chiều chạy qua thì 2 dây dẫn
A. hút nhau.
B. đẩy nhau.
C. không tương tác.
D. đều dao động.
Câu 5: Một dòng điện chạy trong một dây tròn 20 vòng bán kính 20 cm với cường độ 10 A thì cảm ứng từ tại tâm các vòng dây là
A. 0,2π mT.
B. 0,02π mT.
C. 20π μT.
D. 0,2 mT.
Câu 6: Để khắc phục tật viễn thị thì người ta đeo
A. Kính lúp
B. Kính phân kỳ
C. Kính hội tụ
D. Kính có phần trên là phân kỳ, phần dưới là hội tụ
Câu 7: Cho chiết suất của nước bằng 4/3, của benzen bằng 1,5, của thủy tinh flin là 1,8. Có thể xảy ra hiện tượng phản xạ toàn phần khi chiếu ánh sáng từ
A. từ benzen vào nước.
B. từ nước vào thủy tinh flin.
C. từ benzen vào thủy tinh flin.
D. từ chân không vào thủy tinh flin
Câu 8: Một điện tích có độ lớn 10 μC bay với vận tốc 105 m/s vuông góc với các đường sức vào một từ trường đều có độ lớn cảm ứng từ bằng 1 T. Độ lớn lực Lo – ren – xơ tác dụng lên điện tích là
A. 1 N.
B. 104 N.
C. 0,1 N.
D. 0 N.
Câu 9: Suất điện động cảm ứng là suất điện động
A. sinh ra dòng điện cảm ứng trong mạch kín.
B. sinh ra dòng điện trong mạch kín.
C. được sinh bởi nguồn điện hóa học.
D. được sinh bởi dòng điện cảm ứng.
Câu 10: Trong các ứng dụng sau đây, ứng dụng của hiện tượng phản xạ toàn phần là
A. gương phẳng.
B. gương cầu.
C. cáp dẫn sáng trong nội soi.
D. thấu kính.
Câu 11: Các đường sức từ là các đường cong vẽ trong không gian có từ trường sao cho
A. pháp tuyến tại mọi điểm trùng với hướng của từ trường tại điểm đó.
B. tiếp tuyến tại mọi điểm trùng với hướng của từ trường tại điểm đó.
C. pháp tuyến tại mỗi điểm tạo với hướng của từ trường một góc không đổi.
D. tiếp tuyến tại mọi điểm tạo với hướng của từ trường một góc không đổi.
Câu 12: Một điểm cách một dây dẫn dài vô hạn mang dòng điện 20 cm thì có độ lớn cảm ứng từ 1,2 μT. Một điểm khác cách dây dẫn đó 60 cm thì có độ lớn cảm ứng từ là
A. 0,4 μT.
B. 0,2 μT.
C. 3,6 μT.
D. 4,8 μT.
Câu 13: Một khung dây dẫn hình vuông cạnh 20 cm nằm trong từ trường đều độ lớn B = 1,2 T sao cho các đường sức vuông góc với mặt khung dây. Từ thông qua khung dây đó là
A. 0,048 Wb.
B. 24 Wb.
C. 0,480 Wb.
D. 0 Wb
Câu 14: Một người cận thị phải đeo kính cận số 0,5. Nếu xem tivi mà không muốn đeo kính, người đó phải ngồi cách màn hình xa nhất là:
A. 0,5 (m).
B. 1,0 (m).
C. 1,5 (m).
D. 2,0 (m).
Câu 15: Độ bội giác của kính hiển vi khi ngắm chừng ở vô cực được tính theo công thức:
Câu 16: Chiết suất tuyệt đối của một môi trường là chiết suất tỉ đối của môi trường đó so với
A. chính nó.
B. không khí.
C. chân không.
D. nước.
Câu 17: Dùng một sợi dây đồng quấn hai ống dây. Chiều dài của hai ống dây như nhau nhưng đường kính của ống dây (1) lớn gấp 2 lần đường kính của ống (2). Nối 2 ống đó vào hai hiệu điện thế bằng nhau.Gọi năng lượng từ trường trong ống (1) là W1, trong ống (2) là W2 thì
A. W1 = 2W2
B. W1 = 1/2W2
C. W1 = 4W2
D. W1 = W2
Câu 18: Chiết suất tuyệt đối của một môi trường truyền ánh sáng
A. luôn lớn hơn 1.
B. luôn nhỏ hơn 1.
C. luôn bằng 1. D.không xác định
Câu 19: Chọn câu đúng? Một ống dây có độ tự cảm L; ống dây thứ hai có số vòng dây tăng gấp đôi và diện tích mỗi vòng dây giảm một nửa so với ống dây thứ nhất. Nếu hai ống dây có chiều dài như nhau thì độ tự cảm của ống dây thứ hai là
A. L
B. 2L
C. L/2
D. 4 L
Câu 20: Chiếu một chùm tia sáng hẹp, song song từ không khí vào chất lỏng có chiết suất Để góc khúc xạ trong chất lỏng bằng nửa góc tới trong không khí thì góc tới này phải bằng:
A. 30°.
B. 60°.
C. 54°15’.
D. 68°34’.
Câu 21: Vật sáng AB qua thấu kính hội tụ có tiêu cự f = 15 (cm) cho ảnh thật A’B’ cao gấp 5 lần vật. Khoảng cách từ vật tới thấu kính là:
A. 4 (cm).
B. 6 (cm).
C. 12 (cm).
D. 18 (cm).
Câu 22: Chiếu một tia sáng đơn sắc đi từ không khí vào môi trường có chiết suất n, sao cho tia phản xạ vuông góc với tia khúc xạ. Khi đó góc tới i được tính theo công thức
A. sini = n
B. sini = 1/n
C. tani = n
D. tani = 1/n
Câu 23: Một thấu kính mỏng, hai mặt lồi giống nhau, làm bằng thuỷ tinh chiết suất n = 1,5 đặt trong không khí, biết độ tụ của kính là D = + 10 (đp). Bán kính mỗi mặt cầu lồi của thấu kính là:
A. R = 0,02 (m).
B. R = 0,05 (m).
C. R = 0,10 (m).
D. R = 0,20 (m).
Câu 24: Qua thấu kính hội tụ, nếu vật thật cho ảnh ảo thì ảnh này
A. nằm trước kính và lớn hơn vật
B. nằm sau kính và lớn hơn vật.
C. nằm trước kính và nhỏ hơn vật.
D. nằm sau kính và nhỏ hơn vật.
Phần II: Tự luận
Bài 1: Một ống dây được quân với mật độ 2000 vòng/m. Chiều dài của ống dây là 2m, thể tich của ống dây là 200cm3
a. Tính sô vòng dây trên ống dây
b. Độ tự cảm của ống dây
c. Nếu dòng điện I = 10A chạy trong ống dây thì từ trường của ống dây là bao nhiêu
d. Nếu dòng điện nói trên tăng đều từ 0 đến 10A trong 2s thì suất điện động tự cảm trong ống dây là bao nhiêu
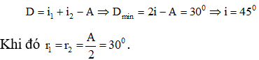
Bài 2: Một lăng kính có tiết diện thẳng là một tam giác đều, chiết suất , đặt trong không khí. Chiếu một tia sáng đơn sắc nằm trog một tiết diện thẳng đến mặt bên của lăng kính và hướng từ phia đáy lên với góc tới i
a. Góc tới i bằng bao nhiêu thì góc lệch qua lăng kính có giá trị cực tiểu Tính góc lệch cực tiểu đó
b. Giữ nguyên vị trí tia tới. Để tia sáng không ló ra được ở mặt bên thứ 2 thì phải quay lăng kính quanh cạnh lăng kính theo chiều nào và với một góc nhỏ nhất bằng bao nhiêu
Đáp án & Hướng dẫn giải
Phần I: Trắc nghiệm
Câu 1: Đáp án A
Câu 2: Đáp án D
Thấu kính hội tụ là một khối chất trong suốt được giới hạn bởi hai mặt cầu hoặc một mặt cầu, một mặt phẳng
Câu 3: Đáp án A
Câu 4: Đáp án A
Hai dẫn dẫn song song có dòng điện cùng chiều chạy qua thì hút nhau
Câu 5: Đáp án A
Câu 6: Đáp án C
Để khắc phục tật viễn thị thì người ta đeo kính hội tụ
Câu 7: Đáp án A
Phản xạ toàn phần có thể xảy ra khi chiếu ánh sáng từ môi trường có chiết suất cao sang môi trường có chiết suất thấp
Câu 8: Đáp án A
Câu 9: Đáp án A
Suất điện động cảm ứng sinh ra dòng điện cảm ứng trong mạch kín
Câu 10: Đáp án C
Phản xa toàn phần được ứng dụng trong cáp dẫn sáng trong nội soi
Câu 11: Đáp án B
Các đường sức từ là các đường cong vẽ trong không gian có từ trường sao cho tiếp tuyến tại mọi điểm trùng với hướng của từ trường tại điểm đó
Câu 12: Đáp án C
Câu 13: Đáp án A
Câu 14: Đáp án D
Người này đeo kính cận 0,5dp
→ điểm cực viễn của người này là
Người này có thể ngồi cách ti vi xa nhất 2m
Câu 15: Đáp án C
Công thức tính độ bội giác kính hiển vi ngắm chừng ở vô cực là:
Câu 16: Đáp án B
Chiết suất tuyệt đối của một môi trường là chiết suất tỉ đối của mội trường đó với không khí
Câu 17: Đáp án C
Câu 18: Đáp án A
Chiết suất tuyệt đối của một môi trường truyền ánh sáng luôn lớn hơn 1
Câu 19: Đáp án B
Câu 20: Đáp án B
Câu 21: Đáp án D
Ảnh thật cao gấp 5 lần vật → k = -5
Câu 22: Đáp án C
Tia phản xạ vuông góc với tia khúc xạ → i + r = 90°
Câu 23: Đáp án C
Câu 24: Đáp án A
Ảnh ảo tạo bởi thấu kính hội tụ sẽ nằm trước kính và lớn hơn vật
Phần II: Tự luận
Bài 1:
a. Số vòng dây trong ống dây: N = nl = 2000.2 = 4000 (vòng)
b. Độ tự cảm bên trong ống dây:
c. Cảm ứng từ do dòng điện sinh ra trong ống dây:
Bài 2:
a. Ta có:
Góc lệch cực tiểu
b. Để ló ra ở mặt thứ 2 thì phải xảy ra hiện tượng phản xa toàn phần ở mặt thứ 2.
Cần phải quay lăng kính sao cho góc tới giảm 1 góc nhỏ nhất 23,53°
Xem thêm các đề thi Vật Lí 11 chọn lọc, có đáp án hay khác:
Để học tốt lớp 11 các môn học sách mới:
- Giải bài tập Lớp 11 Kết nối tri thức
- Giải bài tập Lớp 11 Chân trời sáng tạo
- Giải bài tập Lớp 11 Cánh diều
Tủ sách VIETJACK shopee lớp 10-11 (cả 3 bộ sách):
Đã có app VietJack trên điện thoại, giải bài tập SGK, SBT Soạn văn, Văn mẫu, Thi online, Bài giảng....miễn phí. Tải ngay ứng dụng trên Android và iOS.
Theo dõi chúng tôi miễn phí trên mạng xã hội facebook và youtube:Nếu thấy hay, hãy động viên và chia sẻ nhé! Các bình luận không phù hợp với nội quy bình luận trang web sẽ bị cấm bình luận vĩnh viễn.
- Giáo án lớp 11 (các môn học)
- Giáo án điện tử lớp 11 (các môn học)
- Giáo án Toán 11
- Giáo án Ngữ văn 11
- Giáo án Tiếng Anh 11
- Giáo án Vật Lí 11
- Giáo án Hóa học 11
- Giáo án Sinh học 11
- Giáo án Lịch Sử 11
- Giáo án Địa Lí 11
- Giáo án KTPL 11
- Giáo án HĐTN 11
- Giáo án Tin học 11
- Giáo án Công nghệ 11
- Giáo án GDQP 11
- Đề thi lớp 11 (các môn học)
- Đề thi Ngữ Văn 11 (có đáp án)
- Chuyên đề Tiếng Việt lớp 11
- Đề cương ôn tập Văn 11
- Đề thi Toán 11 (có đáp án)
- Đề thi Toán 11 cấu trúc mới
- Đề cương ôn tập Toán 11
- Đề thi Tiếng Anh 11 (có đáp án)
- Đề thi Tiếng Anh 11 mới (có đáp án)
- Đề thi Vật Lí 11 (có đáp án)
- Đề thi Hóa học 11 (có đáp án)
- Đề thi Sinh học 11 (có đáp án)
- Đề thi Lịch Sử 11
- Đề thi Địa Lí 11 (có đáp án)
- Đề thi KTPL 11
- Đề thi Tin học 11 (có đáp án)
- Đề thi Công nghệ 11
- Đề thi GDQP 11 (có đáp án)


Giải bài tập SGK & SBT
Tài liệu giáo viên
Sách
Khóa học
Thi online
Hỏi đáp

