Đề thi Giữa kì 1 Vật Lí 11 có đáp án (3 đề)
Đề thi Giữa kì 1 Vật Lí 11 có đáp án (3 đề)
Tuyển chọn Đề thi Giữa kì 1 Vật Lí 11 có đáp án (3 đề) chọn lọc được các Giáo viên nhiều năm kinh nghiệm biên soạn và sưu tầm từ đề thi Vật Lí 11 của các trường THPT. Hi vọng bộ đề thi này sẽ giúp học sinh ôn tập và đạt kết quả cao trong các bài thi Giữa Học kì 1 môn Vật Lí 11.
Sở Giáo dục và Đào tạo .....
Đề thi Giữa Học kì 1
năm 2025
Bài thi môn: Vật Lí 11
Thời gian làm bài: 45 phút
(không kể thời gian phát đề)
(Đề số 1)
Phần I: Trắc nghiệm (5 điểm)
Câu 1: Chọn phương án sai. Nguyên nhân gây ra sự nhiễm điện của các vật.
A. Cọ xát
B. Tiếp xúc
C. Hưởng ứng
D. Phản ứng
Câu 2: Khi cọ xát thước nhựa vào miếng vải len hoặc dạ, sau đó ta đưa thước nhựa lại gần các mẩu giấy vụn. Có hiện tượng gì xảy ra?
A. Các mẩu giấy vụn tản ra
B. Các mẩu giấy vụn nằm yên
C. Không có hiện tượng gì xảy ra
D. Các mẩu giấy vụn bị thước nhựa hút lên
Câu 3: Biểu thức của định luật Cu-lông khi đặt hai điện tích trong không khí là?

Câu 4: Hai quả cầu kim loại nhỏ A và B giống hệt nhau, được treo vào một điểm O bằng hai sợi chỉ dài bằng nhau. Khi cân bằng, ta thấy hai sợi chỉ làm với đường thẳng đứng những góc α bằng nhau. Trạng thái nhiễm điện của hai quả cầu sẽ là trạng thái nào dưới đây?

A. Hai quả cầu nhiễm điện cùng dấu
B. Hai quả cầu nhiễm điện trái dấu
C. Hai quả cầu không nhiễm điện
D. Một quả cầu nhiễm điện, một quả cầu không nhiễm điện
Câu 5: Hiện tượng nào sau đây liên quan đến sự nhiễm điện?
A. Thanh nam châm hút một vật bằng sắt
B. Quả táo khi rụng thì rơi xuống đất
C. Rễ cây hút nước
D. Bút hút các mẩu giấy sau khi được cọ trên tóc
Câu 6: Véctơ cường độ điện trường tại một điểm trong điện trường luôn:
A. Cùng hướng với lực tác dụng lên điện tích q đặt tại điểm đó
B. Ngược hướng với lực tác dụng lên điện tích q đặt tại điểm đó
C. Cùng phương với lực tác dụng lên điện tích q đặt tại điểm đó
D. Vuông góc với lực tác dụng lên điện tích q đặt tại điểm đó
Câu 7: Các hình vẽ biểu diễn véc tơ cường độ điện trường tại điểm M trong điện trường của điện tích. Chỉ ra các hình vẽ sai:

A. I và II
B. III và IV
C. II và IV
D. I và IV
Câu 8: Một điện tích điểm Q = -2.10-7C , đặt tại điểm A trong môi trường có hằng số điện môi ε = 2. Véc tơ cường độ điện trường
do điện tích Q gây ra tại điểm B với AB = 6cm có:
A. Phương AB, chiều từ A đến B, độ lớn 2,5.105 V / m .
B. Phương AB, chiều từ B đến A, độ lớn 1,5.104 V / m .
C. Phương AB, chiều từ B đến A, độ lớn 2,5.105 V / m .
D. Phương AB, chiều từ A đến B, độ lớn 2,5.104 V / m
Câu 9: Chọn phát biểu sai trong các phương án sau:
A. Công của lực điện tác dụng lên điện tích không phụ thuộc vào dạng quỹ đạo
B. Công của lực điện không phụ thuộc vào quỹ đạo chuyển động mà chỉ phụ thuộc vào vị trí điểm điểm đầu điểm cuối của quỹ đạo
C. Công của lực điện được đo bằng
D. Lực điện trường là lực thế
Câu 10: Cho điện tích dịch chuyển giữa hai điểm cố định trong một điện trường đều với cường độ 3000V / m thì công của lực điện trường là 90mJ. Nếu cường độ điện trường là 4000V / m thì công của lực điện trường dịch chuyển điện tích giữa hai điểm đó.
A. 120mJ
B. 67,5mJ
C. 40mJ
D. 90mJ
Câu 11: Cho mạch điện gồm 2 tụ điện có điện dung C1 , C2 mắc nối tiếp với nhau. Điện dung tổng hợp của mạch điện là:

Câu 12: Nếu đặt vào hai đầu tụ một hiệu điện thế 4V thì tụ tích được điện lượng là 2μC . Nếu đặt vào hai đầu tụ một hiệu điện thế 10V thì tụ tích được điện lượng là:
A. 50μC
B. 1μC
C. 5μC
D. 0,8μC
Câu 13: Trong thời gian 30 giây có một điện lượng 60C chuyển qua tiết diện của dây. Số electron chuyển qua tiết điện trong thời gian 2 giây là:
A. 4.1019 electron
B. 2,5.1019 electron
C. 1,6.1019 electron
D. 1,25.1019 electron
Câu 14: Suất điện động của nguồn điện là đại lượng đặc trưng cho khả năng:
A. Thực hiện công của các lực lạ bên trong nguồn điện
B. Sinh công trong mạch điện
C. Tạo ra điện tích dương trong mỗi giây
D. Dự trữ điện tích của nguồn điện
Câu 15: Một bàn là điện khi được sử dụng với hiệu điện thế 220V thì dòng điện chạy qua bàn là có cường độ dòng điện là 5A. Biết giá tiền điện là 700đ / kWh. Tính tiền điện phải trả cho việc sử dụng bàn là này trong 30 ngày, mỗi ngày sử dụng 20 phút.
A. 10500 đ
B. 5600 đ
C. 7700 đ
D. 277200 đ
Câu 16: Khi dòng điện chạy qua đoạn mạch ngoài nối giữa hai cực của nguồn điện thì các hạt mang điện chuyển động có hướng dưới tác dụng của lực:
A. Cu-lông
B. Hấp dẫn
C. Lực lạ
D. Điện trường
Câu 17: Một tụ điện có điện dung C, được nạp điện đến hiệu điện thế U, điện tích của tụ là Q. Công thức nào sau đây không phải là công thức xác định năng lượng của tụ điện?

Câu 18: Gọi F là lực điện mà điện trường có cường độ điện trường E tác dụng lên một điện tích thử q. Nếu tăng q lên gấp đôi thì E và F thay đổi như thế nào?
A. Cả E và F đều tăng gấp đôi
B. Cả E và F đều không đổi
C. E tăng gấp đôi, F không đổi
D. E không đổi, F tăng gấp đôi
Câu 19: Một điện tích điểm dương Q trong chân không gây ra một điện trường có cường độ E = 3.104 V / m tại điểm M cách điện tích một khoảng 30cm. Tính độ lớn điện tích Q ?
A. 3mC
B. 0,3μC
C. 0,3nC
D. 3μC
Câu 20: Hãy chọn phương án đúng: Dấu của các điện tích q1, q2 trên hình là:

A. q1 > 0, q2 < 0
B. q1 < 0, q2 > 0
C. q1 < 0, q2 < 0
D. Chưa biết chắc chắn vì chưa biết độ lớn của q1, q2
Phần II: Tự luận (5 điểm)
Câu 1: Hai điện tích q1 = - 10-6C, q2 = 10-6C đặt tại hai điểm A, B cách nhau 40cm trong chân không. Xác định véctơ cường độ điện trường tại N có AN = 20cm, BN = 60cm.
Câu 2: Cho bộ tụ điện mắc như hình vẽ.

C1 = 4μF, C2 = 6,5μF, C3 = 3,6μF, C4 = 6μF . Mắc 2 cực AB vào hiệu điện thế U = 100V. Điện dung của bộ tụ bằng bao nhiêu:
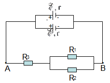
Câu 3: Cho mạch điện như hình vẽ:

E1 = 12V, r1 = 1Ω, E2 = 6V, r2 = 2Ω, E3 = 9V, r3 = 3Ω, R1 = 4Ω, R2 = 2Ω,R3 = 3Ω. Hiệu điện thế UAB có giá trị là bao nhiêu.
ĐÁP ÁN ĐỀ 1
Câu |
Đáp án và hướng dẫn chấm |
Biểu điểm |
||||||||||||||||||||||||||||||||||||||||||||
PHẦN I: TRẮC NGHIỆM (5.0 điểm) | ||||||||||||||||||||||||||||||||||||||||||||||
|
|
Câu 1 => Câu 20: Mỗi câu trả lời đúng 0.25đ
Câu 1: Chọn D. Sự nhiễm điện của các vật do 3 nguyên nhân là:
Câu 2: Chọn D. Khi cọ xát một thước nhựa vào vải len, ta thấy thước nhựa có thể hút được các vật nhẹ như giấy. Câu 3: Chọn A. Biểu thức của định luật Cu-lông khi hai điện tích được đặt trong không khí: Câu 4: Chọn A. Từ hình, ta thấy hai quả cầu đẩy nhau ⇒ chúng tích diện cùng dấu Câu 5: Chọn D. A – Do từ tính B – Lực hấp dẫn C – Do hiện tượng mao dẫn Câu 6: Chọn C. Véctơ cường độ điện trường tại một điểm cùng phương với lực tác dụng lên điện tích q đặt tại điểm đó Câu 7: Chọn A. Ta có, véc-tơ cường độ điện trường có:
Từ đó ta suy ra biểu diễn véc tơ cường độ điện trường tại điểm M trong điện trường của điện tích Q trong hình I và hình II là sai. Câu 8: Chọn C. Ta có:
⇒ E có chiều từ B đến A Độ lớn: Câu 9: Chọn C. C – sai vì: Công của lực điện được xác định bởi biểu thức: A = qEd Câu 10: Chọn A. Khi cường độ điện trường E1 = 3000 V / m thì A1 = 90mJ Khi cường độ điện trường E2 = 4000 V / m thì A1 = ? Lại có: Suy ra: Câu 11: Chọn A. Điện dung tổng hợp khi nối tiếp tụ: Câu 12: Chọn C. Suy ra điện dung + Khi U2 = 10V thì tụ tích được điện lượng Q2 = CU2 = 5.10-7.10 = 5.10-6C = 5μC Câu 13: Chọn B. - Cường độ dòng điện: - Điện lượng chuyển qua tiết diện trong thời gian 2 giây: Δq = I.t = 2.2 = 4C - Số electron chuyển qua dây dẫn là: Câu 14: Chọn A. Suất điện động nguồn điện: Là đại lượng đặc trưng cho khả năng thực hiện công của nguồn điện. Công thức: Câu 15: Chọn C. Q = UIt = 220.5.20.60.30 = 39600000 ( J ) = 11 ( kWh ) => Tiền điện phải trả: Q.700 đ / kWh = 7700 đ Câu 16: Chọn D. Khi có dòng điện chạy qua đoạn mạch ngoài nối giữa hai cực của nguồn điện thì các hạt mang điện chuyển động có hướng dưới tác dụng của lực điện trường. Cụ thể: Các hạt mang điện tích dương chuyển động theo chiều điện trường, các hạt mang điện tích âm chuyển động ngược chiều điện trường. Câu 17: Chọn B. Ta có: Câu 18: Chọn D. Ta có:
⇒ Khi q tăng lên gấp đôi thì, E không đổi và F tăng gấp đôi Câu 19: Chọn B. Ta có, cường độ điện trường:
Câu 20: Chọn C. Ta có: 2 lực F21 và F12 cùng phương, ngược chiều nhau ⇒ q1, q2 cùng dấu hay tích q1.q2 > 0 |
5.0 điểm |
||||||||||||||||||||||||||||||||||||||||||||
PHẦN II: TỰ LUẬN (5.0 điểm) | ||||||||||||||||||||||||||||||||||||||||||||||
|
Bài 1 (2 điểm) |
Ta có: AN + AB = 60cm = BN nên N,A,B thẳng hàng
Ta có: Véctơ cường độ điện trường tổng hợp tại N: Ta có, Vậy cường độ điện trường do q1, q2 gây ra tại N có độ lớn 2.105 V / m. |
0,5 điểm 0,5 điểm 0,5 điểm 0,5 điểm |
||||||||||||||||||||||||||||||||||||||||||||
|
Bài 2 (1,5 điểm) |
Cấu tạo của mạch điện: [(C1ntC2) //C3]ntC4 Lại có: + Điện dung của tụ khi ghép nối tiếp: + Điện dung của tụ khi ghép song song: C// = C1 + C2 + ... + Cn Ta suy ra điện dung của bộ tụ:
Đáp án cần chọn là: C |
0,5 điểm 0,5 điểm 0,5 điểm |
||||||||||||||||||||||||||||||||||||||||||||
|
Bài 3 (1,5 điểm) |
Giả sử chiều các dòng điện trong mạch như hình:
Áp dụng định luật Ôm cho mạch kín ta có:
Nhận thấy I > 0 => chiều dòng điện giả sử là đúng Hiệu điện thế giữa hai điểm A,B là: UAB = E1 + I(R1 + R3 + r1) = 12 + 0,2 (4 + 3 + 1) = 13,6V |
0,5 điểm 0,5 điểm 0,5 điểm |
||||||||||||||||||||||||||||||||||||||||||||

Sở Giáo dục và Đào tạo .....
Đề thi Giữa Học kì 1
năm 2025
Bài thi môn: Vật Lí 11
Thời gian làm bài: 45 phút
(không kể thời gian phát đề)
(Đề số 2)

Phần I: Trắc nghiệm (5 điểm)
Câu 1: Hai điện tích điểm q1 =-4.10-5C và q1 =5.10-5C đặt cách nhau 5cm trong chân không. Lực tương tác giữa hai điện tích đó bằng
A. 3,6 N B. 72.102 N
C. 0,72 N D. 7,2 N
Câu 2: Cho một vật A nhiễm điện dương tiếp xúc với một vật B chưa nhiễm điện thì
A. vật B nhiễm điện hưởng ứng.
B. vật B nhiễm điện dương.
C. vật B không nhiễm điện.
D. vật B nhiễm điện âm.
Câu 3: Chọn câu sai:
A. Đường sức của điện trường tại mỗi điểm trùng với véctơ cường độ điện trường
B. Qua bất kỳ một điểm nào trong điện trường cũng có thể vẽ được một đường sức
C. Các đường sức không cắt nhau và chiều của đường sức là chiều của cường độ điện trường.
D. Đường sức của điện trường tĩnh không khép kín. Xuất phát từ dương và đi vào ở âm
Câu 4: Công của lực điện trường tác dụng lên một điện tích chuyển động từ M đến N sẽ:
A. càng lớn nếu đoạn đường đi càng dài.
B. phụ thuộc vào dạng quỹ đạo.
C. phụ thuộc vào vị trí các điểm M và N.
D. chỉ phụ thuộc vào vị tí M.
Câu 5: Biết hiệu điện thế UNM=3V. Hỏi đẳng thức nào dưới đây chắc chắn đúng:
A. VM = 3V B. VN - VM = 3V
C. VN = 3V D. VM - VN = 3V
Câu 6: Gọi Q, C và U là điện tích, điện dung và hiệu điện thế giữa hai bản của tụ điện.
phát biểu nào dưới đây là đúng?
A. C tỉ lệ thuận với Q.
B. C tỉ lệ nghịch với U.
C. C phụ thuộc vào Q và U.
D. C không phụ thuộc vào Q và U.
Câu 7: Suất điện động của nguồn điện đặc trưng cho
A. khả năng tích điện cho hai cực của nó.
B. khả năng dự trữ điện tích của nguồn điện.
C. khả năng thực hiện công của nguồn điện.
D. khả năng tác dụng lực của nguồn điện.
Câu 8: Phát biểu nào sau đây là không đúng?
A. Dòng điện là dòng các điện tích dịch chuyển có hướng.
B. Cường độ dòng điện là đại lượng đặc trưng cho tác dụng mạnh, yếu của dòng điện và được đo bằng điện lượng chuyển qua tiết diện thẳng của vật dẫn trong một đơn vị thời gian.
C. Chiều của dòng điện được quy ước là chiều chuyển dịch của các điện tích dương.
D. Chiều của dòng điện được quy ước là chiều chuyển dịch của các điện tích âm.
Câu 9: Đặt vào 2 đầu của một tụ điện một hiệu điện thế U = 120V thì điện tích của tụ 24.10-4C. Điện dung của tụ điện:
A.0,02μF0,02μF B. 2μF2μF
C.0,2μF0,2μF D. 20μF20μF
Câu 10: Chọn câu đúng: Điện năng tiêu thụ được đo bằng.
A. vôn kế B. công tơ điện
C. ampe kế D. tĩnh điện kế.
Câu 11: Biểu thức nào dưới đây biểu diễn một đại lượng có đơn vị là vôn?
A. ED. B. qE.
C. qED. D. qV.
Câu 12: Chọn câu đúng: Ghép song song n nguồn điện giống nhau để tạo thành một bộ nguồn. Gọi E và r là suất điện động và điện trở trong của mỗi nguồn điện, thì bộ nguồn có: r
A. suất điện động E và điện trở trong rnrn
B. suất điện động E và điện trở trong nr
C. suất điện động nE và điện trở trong r.
D. Tất cả A, B, C là đúng.
Câu 13: Bốn tụ điện như nhau, mỗi tụ có điện dung C được ghép song song với nhau. Điện dung của bộ tụ điện đó bằng:
A. 4C
B. 2C
C. 0,5C
D. 0,25C
Câu 14: Tụ điện phẳng, không khí có điện dung 5nF. Cường độ điện trường lớn nhất mà tụ có thể chịu được là 3.105 V / m , khoảng cách giữa hai bản tụ là 2mm. Điện tích lớn nhất có thể tích được cho tụ là:
A. 2.10-6C
B. 2,5.10-6C
C. 3.10-6C
D. 4.10-6C
Câu 15: Một tụ điện phẳng có điện dung 200pF được tích điện dưới hiệu điện thế 40V. Khoảng cách giữa hai bản là 0,2mm. Điện tích của tụ điện và cường độ điện trường bên trong tụ điện là:
A. q = 5.10-11C và E = 106 V / m
B. q = 8.10-9C và E = 2.105 V / m
C. q = 5.10-11C và E = 2.105 V / m
D. q = 8.10-11C và E = 106 V / m
Câu 16: Một tụ điện có điện dung C, được nạp điện đến hiệu điện thế U, điện tích của tụ là Q. Công thức nào sau đây không phải là công thức xác định năng lượng của tụ điện?

Câu 17: Phát biểu nào sau đây là không đúng?
A. Dòng điện là dòng các điện tích dịch chuyển có hướng.
B. Cường độ dòng điện là đại lượng đặc trưng cho tác dụng mạnh, yếu của dòng điện và được đo bằng điện lượng chuyển qua tiết diện thẳng của vật dẫn trong một đơn vị thời gian.
C. Chiều của dòng điện được quy ước là chiều chuyển dịch của các điện tích dương.
D. Chiều của dòng điện được quy ước là chiều chuyển dịch của các điện tích âm.
Câu 18: Phát biểu nào sau đây là không đúng?
A. Dòng điện có tác dụng từ. Ví dụ: nam châm điện.
B. Dòng điện có tác dụng nhiệt. Ví dụ: bàn là điện.
C. Dòng điện có tác dụng hoá học. Ví dụ: acquy nóng lên khi nạp điện.
D. Dòng điện có tác dụng sinh lý. Ví dụ: hiện tượng điện giật.
Câu 19: Đồ thị mô tả định luật Ôm là:

A. Đồ thị A
B. Đồ thị B
C. Đồ thị C
D. Đồ thị D
Câu 20: Suất điện động của nguồn điện đặc trưng cho:
A. Khả năng tích điện cho hai cực của nó
B. Khả năng dự trữ điện tích của nguồn điện
C. Khả năng thực hiện công của nguồn điện
D. Khả năng tác dụng lực của nguồn điện
Phần II: Tự luận (5 điểm)
Câu 1: Hai điện tích điểm q1 = 4.10-8C và q2 = -4.10-8C nằm cố định tại hai điểm A và B cách nhau 20 cm trong không khí. Xác định vectơ cường độ điện trường E tại:
a) Điểm M là trung điểm của AB.
b) Điểm N cách A 30cm, cách B 10 cm.
Câu 2: Cho mạch điện như hình vẽ. E =12 V ; r= 4Ω ; R1 =12Ω; R2 =24Ω ; R3= 8Ω. Tính:

a) Cường độ dòng điện trong toàn mạch.
b) Cường độ dòng điện qua R1 và R3 .
c) Nhiệt lượng tỏa ra trên R2 trong thời gian 15 phút.
ĐÁP ÁN ĐỀ 2
Câu |
Đáp án và hướng dẫn chấm |
Biểu điểm |
||||||||||||||||||||||||||||||||||||||||||||
PHẦN I: TRẮC NGHIỆM (5.0 điểm) | ||||||||||||||||||||||||||||||||||||||||||||||
|
|
Câu 1 => Câu 20: Mỗi câu trả lời đúng 0.25đ
Câu 1: Chọn B.
Câu 2: Chọn B. Vật A nhiễm điện dương, tức đang thiếu electron. Vật A tiếp xúc với vật B chưa nhiễm điện. Suy ra, electron từ vật B di chuyển sang vật A => vật B thiếu electron => vật B nhiễm điện dương. Câu 3: Chọn D. Đường sức của điện trường tĩnh là đường không khép kín. Nó đi ra điện tích dương và kết thúc ở điện tích âm. Câu 4: Chọn C. Công của lực điện trường tác dụng lên một điện tích chuyển động từ M đến N sẽ không phụ thuộc vào hình dạng quỹ đạo, chỉ phụ thuộc vào vị trí điểm M và N. Câu 5: Chọn B. UMN = VN - VM = 3V Câu 6: Chọn D. Ta có: Câu 7: Chọn C. Suất điện động của nguồn điện đặc trưng cho khả năng thực hiện công của nguồn điện. Câu 8: Chọn D. Chiều của dòng điện được quy ước là chiều dịch chuyển của các điện tích dương. Câu 9: Chọn D.
Câu 10: Chọn B. Điện năng tiêu thụ được đo bằng công tơ điện. Câu 11: Chọn A. Ta có: U = E.d Câu 12: Chọn A. Ghép song song n nguồn điện giống nhau suy ra: Eb = E
Câu 13: Chọn A. Điện dung của bộ bốn tụ ghép song song với nhau là: Cb = C + C + C + C = 4C Câu 14: Chọn C. Ta có: U = E.d = 3.105.2.10-3 = 600V ⇒ Điền tích của tụ là: Q = CU = 600.5.10-9 = 3.10-6C Câu 15: Chọn B. Ta có: Q = CU = 200.10-12 .40 = 8.10-9C Lại có: E = Câu 16: Chọn D. Ta có: Câu 17: Chọn D. D – sai vì: Chiều qui ước của dòng điện là chiều dịch chuyển có hướng của các điện tích dương (ngược chiều dịch chuyển của electron). Câu 18: Chọn C. C – sai vì: Dòng điện có tác dụng hóa học là đúng nhưng ví dụ về tác dụng hóa học là acquy nóng lên khi nạp điện là sai Ví dụ về tác dụng hóa học của dòng điện : mạ đồng, mạ vàng, … Câu 19: Chọn A. Biểu thức định luật Ôm: Câu 20: Chọn C. Suất điện động là đại lượng đặc trưng cho khả năng thực hiện công của nguồn điện.
|
5.0 điểm |
||||||||||||||||||||||||||||||||||||||||||||
PHẦN II: TỰ LUẬN (5.0 điểm) | ||||||||||||||||||||||||||||||||||||||||||||||
|
Bài 1 (2,5 điểm) |
a) Điểm M là trung điểm của AB. Ta biểu diễn vecto cường độ điện trường
Vecto cường độ điện trường tổng hợp: Lại có: => E = E1M + E2M = 2.36000 = 72000 V / m a) N cách A 30cm, cách B 10cm Ta biểu diễn vecto cường độ điện trường
Có: Vecto cường độ điện trường tổng hợp: |
0,25 điểm 0,25 điểm 0,25 điểm 0,5 điểm 0,25 điểm 0,25 điểm 0,25 điểm 0,5 điểm |
||||||||||||||||||||||||||||||||||||||||||||
|
Bài 2 (2,5 điểm) |
a) Ta có: R3 nt ( R1 // R2 ) Cường độ dòng điện trong toàn mạch là: b) Ta có: I = I3 + I12 = 0,6A U12 = I12.R12 = 0,6.8 = 4,8V R1 // R2 => U12 = U1 = U2 = 4,8V c) Nhiệt lượng tỏa ra trên R2 trong thời gian t = 15phút = 900s là: Q = I2Rt = 0,22.24.900 = 864J |
0,5 điểm 0,5 điểm 0,25 điểm 0,5 điểm 0,25 điểm 0,5 điểm |
||||||||||||||||||||||||||||||||||||||||||||

Sở Giáo dục và Đào tạo .....
Đề thi Giữa Học kì 1
năm 2025
Bài thi môn: Vật Lí 11
Thời gian làm bài: 45 phút
(không kể thời gian phát đề)
(Đề số 3)
Bài 1 (5 điếm):
Một điện tích điểm q1 = -6,4.10-10 (C) đặt ở A trong chân không:
a. Vẽ vectơ cường độ điện trường do q1 gây ra tại điểm M cách A 8 (cm) và tính cường độ điện trường đó.
b. Đặt thêm một điện tích điểm q2 = 3,6.10-10 (C) tại B cách A 10 (cm) và cách M 6 (cm). Tim cường độ điện trường tổng hợp tại M.
Bài 2 (2 điểm):
Hai điện tích điểm đặt trong không khí cách nhau một đoạn 1m, đẩy nhau một lực F=1,8 N. Điện tích tổng cộng cúa hai vật là 3. 10-5C. Tìm điện tích của mỗi vật.
Bài 3 (3 điểm):
Giữa hai điểm B và C cách nhau một đoạn 0,2 m có một điện trường đều với đường sức hướng từ B → C. Hiệu điện thế Ubc = 12V. Tìm:
a. Cường độ điện trường giữa B và C.
b. Công của lực điện dịch chuyển điện tích điểm q = 2.10-6C đi từ B → C.
c. Khối lượng của điện tích điểm q = 2.10-6C. Biết nó dịch chuyển không vận tốc đầu từ B đến C dưới tác dụng cúa điện trường và tại C điện tích điểm đạt tốc độ: 1.107 m/s.
ĐÁP ÁN ĐỀ 3
Câu |
Đáp án và hướng dẫn chấm |
Biểu điểm |
|
Bài 1 (5 điểm) |
a) + Vẽ đúng phương, chiều vectơ + Viết đúng công thức: + Thay số và tính đúng E1 = 900 V / m b) + Vẽ được đúng các vectơ + Viết công thức và tính đúng: + Nêu được nguyên lí chồng chất điện trường: + Tính được cường độ điện trường: |
1 điểm 1 điểm 1 điểm 0,5 điểm 0,5 điểm 0,5 điểm 0,5 điểm |
|
Bài 2 (2 điểm) |
Viết đúng công thức Hai điện tích đẩy nhau nên chúng cùng dấu nhau
q1 + q2 = 3.10-5 > 0 => q1 > 0, q2 > 0 => q1 = 2.10-5C hoặc ngược lại q2 = 1.10-5 C |
0,5 điểm
0,5 điểm 0,5 điểm 0,5 điểm |
|
Bài 3 (3 điểm) |
a) Viết đúng công thức: Thay số ta được: E = 60 V/m b) A = qU = 24.10-6 J c) Thay số ta được: m = 4,8.10-19 kg |
0,5 điểm 0,5 điểm 1 điểm 0,5 điểm 0,5 điểm |
Sở Giáo dục và Đào tạo .....
Đề thi Giữa Học kì 1
năm 2025
Bài thi môn: Vật Lí 11
Thời gian làm bài: 45 phút
(không kể thời gian phát đề)
(Đề số 4)
Câu 1: (1,0 điểm)
Phát biểu định luật bảo toàn điện tích.
Câu 2: (1,5 điểm)
Hai quả cầu nhỏ mang điện tích 2.10-8c và -10-8c, đặt cách nhau 20cm trong không khí. Hãy biểu diễn và xác định độ lớn lực tương tác giữa hai điện tích trên.
Câu 3: (3,0 điểm)
Tại hai điểm A và B cách nhau 6cm trong chân không có hai điện tích q1 = 2.10-8c và q2 = 8.10-8c
a) Tính cường độ điện trường tổng hợp và vẽ vectơ cường độ điện trường tại điểm C cách A 2cm, cách B 8cm.
b) Hãy tìm các điểm mà tại đó cường độ điện trường bằng không.
Câu 4: (2,0 điểm)
Một electron di chuyển từ điểm M đến điểm N, dọc theo một đường sức điện, dưới tác dụng của lực điện trong một điện trường đều có cường độ 1000V/m. Biết MN = 2cm. Tính công của lực điện và UMN.
Câu 5: (2,5 điểm)
Hạt bụi khối lượng m = 0,02g mang điện tích q = 5.10-5c đặt sát bản dương của một tụ điện phẳng không khí. Hai bản tụ có khoảng cách d = 5cm và hiệu điện thế U = 500V. Sau bao lâu hạt bụi chuyển động đến bản tụ âm và vận tốc của nó khi đó. Bỏ qua tác dụng của trọng lực.
ĐÁP ÁN ĐỀ 4
Câu |
Đáp án và hướng dẫn chấm |
Biểu điểm |
|
Bài 1 (1 điểm) |
Nội dung định luật bảo toàn điện tích: "Trong một hệ vật cô lập về điện, tổng đại số các điện tích là không đổi" |
1 điểm |
|
Bài 2 (1,5 điểm) |
- Vẽ hình đúng:
Độ lớn: |
0,5 điểm 1 điểm |
|
Bài 3 (3 điểm) |
a) - Vẽ hình đúng - Tính - Tính E = E1 + E2 = 56,25 V/m b) Điểm M cần tìm thẳng hàng với A, B và nằm trong đoạn AB => 2AC = BC Ta có: AC + BC = 6 cm => Tính được M cách A 2 cm cách B 4 cm. |
0,5 điểm 0,5 điểm 0,5 điểm 0,5 điểm 0,5 điểm 0,5 điểm |
|
Bài 4 (2 điểm) |
a) A = q.E.d => A = 3,2.10-18 J b) E = U/d, U = E.d UMN = -20V |
0,5 điểm 0,5 điểm 0,5 điểm 0,5 điểm |
|
Bài 4 (2,5 điểm) |
Chọn gốc tọa độ O tại vị trí hạt bụi bắt đầu chuyển động, gốc thời gian là lúc hạt bụi bắt đầu chuyển động. Xác đinh lực tác dụng lên hạt bụi là lực điện: Chiếu lên chiều dương trục Ox, ta được:
Tính a = 25000m/s2 S = a.t2/2 -> t = 0,002s v2 = 2aS -> v = 50 m/s |
0,25 điểm 0,25 điểm 0,5 điểm 0,5 điểm 0,5 điểm 0,5 điểm |
..........................
..........................
..........................
Xem thêm bộ đề thi Vật Lí 11 mới năm 2025 chọn lọc khác:
- Đề thi Vật Lí 11 Học kì 1 có đáp án (5 đề)
- Đề thi Vật Lí 11 Giữa học kì 2 có đáp án (3 đề)
- Đề thi Vật Lí 11 Học kì 2 có đáp án (3 đề)
Để học tốt lớp 11 các môn học sách mới:
- Giải bài tập Lớp 11 Kết nối tri thức
- Giải bài tập Lớp 11 Chân trời sáng tạo
- Giải bài tập Lớp 11 Cánh diều
Tủ sách VIETJACK shopee lớp 10-11 (cả 3 bộ sách):
Đã có app VietJack trên điện thoại, giải bài tập SGK, SBT Soạn văn, Văn mẫu, Thi online, Bài giảng....miễn phí. Tải ngay ứng dụng trên Android và iOS.
Theo dõi chúng tôi miễn phí trên mạng xã hội facebook và youtube:Nếu thấy hay, hãy động viên và chia sẻ nhé! Các bình luận không phù hợp với nội quy bình luận trang web sẽ bị cấm bình luận vĩnh viễn.
- Giáo án lớp 11 (các môn học)
- Giáo án điện tử lớp 11 (các môn học)
- Giáo án Toán 11
- Giáo án Ngữ văn 11
- Giáo án Tiếng Anh 11
- Giáo án Vật Lí 11
- Giáo án Hóa học 11
- Giáo án Sinh học 11
- Giáo án Lịch Sử 11
- Giáo án Địa Lí 11
- Giáo án KTPL 11
- Giáo án HĐTN 11
- Giáo án Tin học 11
- Giáo án Công nghệ 11
- Giáo án GDQP 11
- Đề thi lớp 11 (các môn học)
- Đề thi Ngữ Văn 11 (có đáp án)
- Chuyên đề Tiếng Việt lớp 11
- Đề cương ôn tập Văn 11
- Đề thi Toán 11 (có đáp án)
- Đề thi Toán 11 cấu trúc mới
- Đề cương ôn tập Toán 11
- Đề thi Tiếng Anh 11 (có đáp án)
- Đề thi Tiếng Anh 11 mới (có đáp án)
- Đề thi Vật Lí 11 (có đáp án)
- Đề thi Hóa học 11 (có đáp án)
- Đề thi Sinh học 11 (có đáp án)
- Đề thi Lịch Sử 11
- Đề thi Địa Lí 11 (có đáp án)
- Đề thi KTPL 11
- Đề thi Tin học 11 (có đáp án)
- Đề thi Công nghệ 11
- Đề thi GDQP 11 (có đáp án)
hướng về phía Q


electron
lần lượt là cường độ điện trường do điện tích q1, q2 gây ra tại N
được biểu diễn như hình




= 2.10-5 V/ m
đường đặc trưng Vôn – Ampe là một đường thẳng đi qua gốc toạ độ.
như hình vẽ.

như hình vẽ.





tại M
(
vuông góc với
)






Giải bài tập SGK & SBT
Tài liệu giáo viên
Sách
Khóa học
Thi online
Hỏi đáp

