Đề kiểm tra 15 phút Vật Lí 12 Học kì 2 năm 2026 có đáp án (3 đề)
Đề kiểm tra 15 phút Vật Lí 12 Học kì 2 năm 2026 có đáp án (3 đề)
Để học tốt Vật Lí 12, phần dưới đây là Đề kiểm tra 15 phút Vật Lí 12 Học kì 2 năm 2026 có đáp án (3 đề). Hi vọng bộ đề thi này sẽ giúp bạn ôn luyện & đạt điểm cao trong các bài thi Vật Lí 12.
Sở Giáo dục và Đào tạo .....
Đề kiểm tra 15 phút học kì 2
Môn: Vật lí 12
Thời gian làm bài: 15 phút
(Đề 1)
Câu 1. Một chùm sáng trắng song song đi từ không khí vào thủy tinh, với góc tới lớn hơn không, sẽ
A. chỉ có phản xạ.
B. có khúc xạ, tán sắc và phản xạ
C. chỉ có khúc xạ
D. chỉ có tán sắc.
Câu 2. Khi nghiêng các đĩa CD dưới ánh sáng mặt trời, ta thấy xuất hiện các màu sặc sỡ như màu cầu vồng. Đó là kết quả của hiện tượng:
A. Giao thoa ánh sáng
B. Khúc xạ ánh sáng
C. Phản xạ ánh sáng
D. Tán sắc ánh sáng
Câu 3. Nguyên nhân sâu xa của hiện tượng tán sắc ánh sáng là sự phụ thuộc của chiết suất môi trường vào:
A. Màu sắc của môi trường
B. Màu của ánh sáng
C. Lăng kính mà ánh sáng đi qua
D. Bước sóng của ánh sáng
Câu 4. Trong thí nghiệm về giao thoa ánh sáng của Y-âng, khoảng cách giữa hai khe a = 1mm, khoảng cách từ mặt phẳng chứa hai khe đến màn quan sát D = 2 m. Hai khe được chiếu bằng bức xạ có bước sóng λ = 0,5μm. Trên màn thu được hình ảnh giao thoa có khoảng vân i bằng
A. 0,1 mm B. 2,5 mm
C. 2,5.10-2 mm D. 1,0 mm
Câu 5. Thân thể con người ở nhiệt độ 37oC phát ra bức xạ nào trong các bức xạ sau đây?
A. Bức xạ nhìn thấy B. Tia Rơnghen
C. Tia hồng ngoại D. Tia tử ngoại
Câu 6. Trong thí nghiệm giao thoa Y-âng trong không khí, khoảng cách hai khe a = 0,5mm. Khoảng cách hai khe tới màn là D, được chiếu bức xạ đơn sắc có bưóc sóng λ. Nhúng toàn bộ thí nghiệm vào trong nước có chiết suất n = 4/3. Để khoảng vân vẫn như trong không khí thì khoảng cách hai khe là:
A. 0,35 mm B. 0,45 mm
C. 0,667 mm D. 0,375 mm
Câu 7. Trong thí nghiệm Iâng (Y-âng) về giao thoa của ánh sáng đơn sắc, hai khe hẹp cách nhau 1 mm, mặt phẳng chứa hai khe cách màn quan sát 1,5 m. Khoảng cách giữa 5 vân sáng liên tiếp là 3,6 mm. Bước sóng của ánh sáng dùng trong thí nghiệm này bằng
A. 0,40μm B. 0,76μm
C. 0,48μm D. 0,60μm
Câu 8. Trong thí nghiệm Young (Iâng) ánh sáng dùng trong thí nghiệm là đơn sắc có bước sóng λ = 0,4μm, khoảng cách giữa 2 khe a = 0,4mm. Để trên màn tại vị trí cách vân trung tâm 2,5mm ta có vân sáng bậc 5 thì khoảng cách từ hai khe đến màn là:
A. 0,5m B. 1m
C. 1,5m D. 2m
Câu 9. Một nguồn sáng đơn sắc λ = 0,6μm chiếu vào một mặt phẳng chứa hai khe hở S1, S2 hẹp, song song, cách nhau 1 mm và cách đều nguồn sáng. Đặt một màn ảnh song song và cách mặt phẳng chứa hai khe lm. Đặt trước khe S1 một bản thuỷ tinh 2 mặt phẳng song song có chiết suất n = 1,5, độ dày e = 12μm. Hỏi vị trí hệ thống vân sẽ dịch chuyển trên màn thế nào?
A. Về phía S1 2 mm
B. về phía S1 2 mm
C. Về phía S1 3 mm
D. Về phía S1 6 mm
Câu 10. Trong thí nghiệm của Young, khoảng cách giữa hai khe S1S2 đến màn là 2m. Nguồn S phát ra ánh sáng đơn sắc đặt cách đều hai khe một khoảng 0,5m. Nếu dời S theo phương song song với S1S2 một đoạn 1mm thì vân sáng trung tâm sẽ dịch chuyển một đoạn là bao nhiêu trên màn ?
A. 4mm B. 5mm
C. 2mm D. 3mm
Đáp án & Thang điểm
Câu 1. Đáp án B
Một chùm sáng trắng song song đi từ không khí vào thủy tinh, với góc tới lớn hơn không sẽ có khúc xạ, tán sắc và phản xạ.
Câu 2. Đáp án A
Đó là kết quả của hiện tượng giao thoa ánh sáng.
Câu 3. Đáp án D
Nguyên nhân sâu xa của hiện tượng tán sắc ánh sáng là sự phụ thuộc của chiết suất môi trường vào bước sóng của ánh sáng.
Câu 4. Đáp án D
Ta có:
Câu 5. Đáp án C
Thân thể con người ở nhiệt độ 37oC phát ra bức xạ hồng ngoại.
Câu 6. Đáp án D
Khoảng vân khi đặt trong không khí:
Khoảng vân khi đặt trong nước:
Theo bài ra:
Câu 7. Đáp án D
Khoảng cách giữa 5 vân sáng liên tiếp là 3,6 mm, ta có:
4i = 3,6 → i = 0,9(mm)
Câu 8. Đáp án A
Vị trí của vân sáng bậc 5 (k = 5) đối với vân trung tâm là:
Câu 9. Đáp án D
Vì bản thủy tinh đặt trước S1 nên hệ thống vân trung tâm dịch chuyển về phía S1 một khoảng:
Câu 10. Đáp án A
Vân trung tâm dịch chuyển 1 đoạn:
Sở Giáo dục và Đào tạo .....
Đề kiểm tra 15 phút học kì 2
Môn: Vật lí 12
Thời gian làm bài: 15 phút
(Đề 2)
Câu 1. Trong thí nghiệm về giao thoa ánh sáng của Y-âng, hai khe cách nhau một khoảng a, khoảng cách từ mặt phẳng chứa hai khe đến màn quan sát là D, hình ảnh giao thoa thu được trên màn có khoảng vân i. Bức xạ chiếu vào hai khe có bước sóng A được xác định bởi công thức
Câu 2. Khi sử dụng phép phân tích bằng quang phổ sẽ xác định được
A. Màu sắc của vật
B. Hình dạng của vật
C. Kích thước của vật
D. Thành phần cấu tạo và nhiệt độ của các
Câu 3. Phát biểu nào dưói đây là SAI khi nói về ánh sáng trắng và ánh sáng đơn sắc?
A. Chiết suất của lăng kính đối với ánh sáng đơn sắc khác nhau có trị số như nhau.
B. Ánh sáng trắng là tập hợp của vô số ánh sáng đơn sắc khác nhau có màu biến thiên liên tục từ đỏ đến tím.
C. Ánh sáng đơn sắc là ánh sáng mà không bị lăng kính làm tán sắc
D. Chiết suất môi trường trong suốt có giá trị lớn nhất đối với ánh sáng màu tím, nhỏ nhất đối với ánh sáng màu đỏ
Câu 4. Khi chiếu hai tia sáng đơn sắc song song màu đỏ và màu lục từ không khí vào lăng kính thủy tinh và có tia ló thì:
A. Các tia ló song song
B. Các tia ló luôn luôn cắt nhau sau lăng kính
C. Tia đỏ có góc lệch lớn hơn
D. Tia lục có góc lệch lớn hơn
Câu 5. Khoảng cách giữa hai khe và khoảng cách từ màn ảnh đến hai khe trong thí nghiệm giao thoa Iâng là: a = 2mm và D = 2m. Chiếu bằng ánh sáng đơn sắc có bước sóng là 0,64μm thì vân tối thứ 3 cách vân sáng trung tâm một khoảng là:
A. 0,64 mm B. 6,4 mm
C. 1,6 mm D. 1,2 mm
Câu 6. Trong thí nghiệm giao thoa Iâng, khoảng cách hai khe a = 2mm, khoảng cách hai khe tới màn D = l,2m. Khe S phát đồng thời hai bức xạ màu đỏ có bước sóng 0,7μm và màu lục có bước sóng 0,48μm. Khoảng cách từ vân sáng màu đỏ bậc 2 đến vân sáng màu lục bậc 5 (cùng phía so với sáng vân trung tâm) là:
A. 3,24 mm B. 1 mm
C. 0,6 mm D. 1,2 mm
Câu 7. Thí nghiệm Young về giao thoa ánh sáng, bề rộng giao thoa là 7,2mm người ta đếm được 9 vân sáng (ở 2 rìa là 2 vân sáng). Tại điểm M cách vân trung tâm 14,4mm là vân gì?
A. M là vân sáng thứ 16.
B. M là vân tối thứ 18.
C. M là vân tối thứ 16.
D. M là vân sáng thứ 18.
Câu 8. Một nguồn sáng đơn sắc S cách 2 khe Young 0,2mm phát ra một bước xạ đơn sắc có λ=0,64μm. Hai khe cách nhau a = 3mm, màn cách 2 khe 3m. Miền vân giao thoa trên màn có bề rộng 12mm. Số vân tối quan sát được trên màn là:
A. 16 B. 17
C. 18 D. 19
Câu 9. Chiếu ánh sáng trắng có bước sóng biến đổi từ 0,38μm đến 0,76μm vào khe S trong thí nghiệm giao thoa Iâng, khoảng cách từ hai nguồn đến màn là 2m, khoảng cách giữa hai nguồn là 2mm. Số bức xạ cho vân sáng tại M trên màn cách vân trung tâm 4mm là:
A. 6 B. 7
C. 5 D. 4
Câu 10. Trong thí nghiệm giao thoa dùng khe Iâng có khoảng cách từ màn ảnh đến hai khe D = 2,5m, khoảng cách giữa hai khe là a = 2,5mm . Chiếu đồng thời hai ánh sáng đơn sắc có bước sóng λ1 = 0,48μm và λ2 = 0,64μm thì vân sáng cùng màu với vân trung tâm và gần nhất cách vân trung tâm:
A. 1,72mm B. 0,64mm
C. 1,92mm D. 1,64mm
Đáp án & Thang điểm
Câu 1. Đáp án C
Bức xạ chiếu vào hai khe có bước sóng A được xác định bởi công thức:
Câu 2. Đáp án D
Khi sử dụng phép phân tích bằng quang phổ sẽ xác định được thành phần cấu tạo và nhiệt độ của các chất.
Câu 3. Đáp án A
Chiết suất của lăng kính đối vói ánh sáng đơn sắc khác nhau có trị số khác nhau.
Câu 4. Đáp án D
Khi chiếu hai tia sáng đơn sắc song song màu đỏ và màu lục từ không khí vào lăng kính thủy tinh và có tia ló thì tia lục có góc lệch lớn hơn.
Câu 5. Đáp án C
Vị trí của vân tối thứ 3 (k = 2) cách vân trung tâm một khoảng là:
Câu 6. Đáp án C
Vị trí của vân sáng màu đỏ bậc 2 (k = 2) là:
Vị trí của vân sáng màu lục bậc 5 (k = 5) là:
Khoảng cách từ vân sáng màu đỏ bậc 2 đến vân sáng màu lục bậc 5 (cùng phía so vói sáng vân trung tâm) là: Δx = xl5 - xd2 = 1,44 - 0,84 = 0,6(mm)
Câu 7. Đáp án A
Ta có: 8i = 7,2(mm) → i = 0,9(mm)
Lập tỉ số:
Vậy M là vân sáng thứ 16.
Câu 8. Đáp án C
Khoảng vân:
Lập tỉ số:
Số vân tối quan sát được trên màn là: Nt = 2.9 = 18 (vân tối).
Câu 9. Đáp án C
Tại M là vân sáng:
Vì λ1 ≤ λ ≤ λ2
Có 5 giá trị của k. Vậy số bức xạ cho vân sáng tại M trên màn cách vân trung tâm 4mm là 5 vân sáng
Câu 10. Đáp án C
Vị trí vân sáng trùng màu với vân trung tâm là sự chồng chập của 2 vân sáng, ta có:
Vậy vân sáng cùng màu với vân trung tâm và gần nhất cách vân trung tâm:
Sở Giáo dục và Đào tạo .....
Đề kiểm tra 15 phút học kì 2
Môn: Vật lí 12
Thời gian làm bài: 15 phút
(Đề 3)
Câu 1. Hiện tượng nào dưới đây là hiện tượng quang điện?
A. Electron bị bật ra khỏi mặt kim loại khi bị chiếu sáng với bước sóng ánh sáng thích hợp.
B. Electron bật ra khỏi kim loại khi có ion đập vào kim loại đó.
C. Electron bị bật ra khỏi một nguyên tử khi nguyên tử này va chạm với nguyên tử khác.
D. Electron bứt ra khỏi kim loại khi kim loại bị nung nóng.
Câu 2. Chiếu tới bề mặt của một kim loại bức xạ có bước sóng λ , giới hạn quang điện của kim loại đó là λ0. Biết hằng số Plăng là h, vận tốc ánh sáng trong chân không là c. Để có hiện tượng quang điện xảy ra thì
Câu 3. Nếu quan niệm ánh sáng chỉ có tính chất sóng thì không thể giải thích được hiện tượng nào dưới đây?
A. Khúc xạ ánh sáng.
B. Giao thoa ánh sáng.
C. Phản xạ ánh sáng.
D. Quang điện.
Câu 4. Photon sẽ có năng lượng lớn hơn nếu nó có:
A. Bước sóng lớn hơn
B. Tần số lớn hơn
C. Biên độ lớn hơn
D. Vận tốc lớn hơn
Câu 5. Công thoát electron của một kim loại là 7,64.10-19 J. Chiếu lần lượt vào bề mặt tấm kim loại này các bức xạ có bước sóng là λ1 = 0,18μm, λ2 = 0,21μm và λ3 = 0,35μm. Lấy h = 6,625.10-34J.s, c = 3.108 m/s. Bức xạ nào gây được hiện tượng quang điện đối với kim loại đó?
A. Hai bức xạ (λ1 và λ2).
B. Không có bức xạ nào trong ba bức xạ trên.
C. Cả ba bức xạ (λ1, λ2 và λ3).
D. Chỉ có bức xạ λ1.
Câu 6. Chọn câu trả lời đúng. Chọn h = 6,625.10-34 J.s; c = 3.108 m/s. Cho công thoát electron của kim loại là A = 2eV. Bước sóng giới hạn quang điện của kim loại là:
A. 0,621μm B. 0,525μm
C. 0,675μm D. 0,58μm
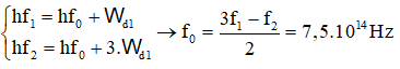
Câu 7. Chọn câu trả lời đúng. Chọn h = 6,625.10-34 J.s; c = 3.108 m/s. Bước sóng giới hạn quang điện của kim loại là λ0 = 0,6μm. Công thoát của kim loại đó là:
A. 4,31.10-20 J B. 3,31.10-19 J
C. 5,31.10-8 J D. 3,31.10-17 J
Câu 8. Chiếu một bức xạ có bước sóng 0,18μm vào catốt của một tế bào quang điện có giới hạn quang điện là 0,3μm. Để cho không có electron nào đến được anốt thì hiệu điện thế UAK phải thoả mãn điều kiện nào? Cho điện tích của electrone = -1,6.10-16 C, hằng số Flăng h = 6,625.10-34 J.s; c = 3.108 m/s.
A. UAK ≤ -2,26V B. UAK ≤ -2,76V
C. UAK ≤ -1,76V D. UAK ≤ -0,76V
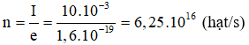
Câu 9. Chọn câu trả lời đúng. Cho e = 1,6.10-19 C. Cường độ dòng điện qua ống là 10mA. Số electron đến đập vào đối âm cực trong 10 giây là:
A. 6,25.108 B. 6,35.1017
C. 6,25.1017 D. 6,25.1019
Câu 10. Chọn câu trả lời đúng. Khi chiếu 2 ánh sáng có tần số f1 = 1015 Hzvà f2 = 1,5.1015 Hz vào một kim loại làm catốt của một tế bào quang điện, người ta thấy tỉ số các động năng ban đầu cực đại của các electron quang điện là bằng 3. Tần số giới hạn của kim loại đó là:
A. 1015 Hz B. 1,5.1015 Hz
C. 7,5.1014 Hz D. Một giá trị khác
Đáp án & Thang điểm
Câu 1. Đáp án A
Electron bị bật ra khỏi mặt kim loại khi bị chiếu sáng với bước sóng ánh sáng thích hợp.
Câu 2. Đáp án D
Để có hiện tượng quang điện xảy ra thì λ ≤ λ0.
Câu 3. Đáp án D
Nếu quan niệm ánh sáng chỉ có tính chất sóng thì không thể giải thích được hiện tượng quang điện.
Câu 4. Đáp án B
Photon sẽ có năng lượng lớn hơn nếu nó có tần số lớn hơn.
Câu 5. Đáp án A
Giới hạn quang điện của tấm kim loại là:
Do λ1, λ2 < λ0 và λ3 > λ0 nên chỉ có hai bức xạ có bước sóng λ1 và λ2 mới gây ra được hiện tượng quang điện đối với kim loại đó.
Câu 6. Đáp án A
Giới hạn quang điện của tấm kim loại:
Câu 7. Đáp án B
Công thoát của kim loại đó là:
Câu 8. Đáp án B
Ta có:
Để cho không có electron nào đến được anốt thì hiệu điện thế UAK phải thoả mãn điều kiện:
UAK ≤ -Uh = -2,76V
Câu 9. Đáp án C
Số electron đến đập vào đối âm cực trong 1 giây là:
Số electron đến đập vào đối âm cực trong 10 giây là:
N = n.t = 6,25.1016.10 = 6,25.1017 (hạt)
Câu 10. Đáp án C
Vì f1 < f2 → v1 < v2 → Wd2 = 3
Áp dụng công thức Anhxtanh lần lượt cho hai bức xạ, ta có:
Sở Giáo dục và Đào tạo .....
Đề kiểm tra 15 phút học kì 2
Môn: Vật lí 12
Thời gian làm bài: 15 phút
(Đề 4)
Câu 1. Nơtron là hạt sơ cấp
A. không mang điện.
B. mang điện tích âm.
C. có tên gọi khác là hạt nơtrinô.
D. mang điện tích dương.
Câu 2. Các hạt nhân đồng vị là những hạt nhân có
A. cùng số nơtron nhưng khác số prôtôn.
B. cùng số prôtôn nhưng khác số nơtron.
C. cùng số nuclôn nhưng khác số prôtôn.
D. cùng số nuclôn nhưng khác số nơtron.
Câu 3. Chùm tia β+
A. là chùm các hạt nhân có cùng khối lượng với electron, mang điện là +e
B. tia β+ có tầm bay trong không khí ngắn hơn so với tia α
C. ít bị lệch đường đi hơn hạt α khi đi qua điện trường
D. tia β+ có khả năng đâm xuyên rất mạnh, giống như tia Rơnghen
Câu 4. Xác định số hạt proton và notron của hạt nhân
A. 11 proton và 13 notron
B. 12 proton và 14 notron
C. 24 proton và 11 notron
D. 11 proton và 24 notron
Câu 5. Trong phóng xạ β- thì hạt nhân con:
A. Lùi 2 ô trong bảng phân loại tuần hoàn
B. Tiến 2 ô trong bảng phân loại tuần hoàn
C. Lùi 1 ô trong bảng phân loại tuần hoàn
D. Tiến 1 ô trong bảng phân loại tuần hoàn
Câu 6. Phát biểu nào sau đây là sai khi nói về độ phóng xạ (hoạt độ phóng xạ)?
A. Đơn vị đo độ phóng xạ là becơren.
B. Độ phóng xạ là đại lượng đặc trưng cho tính phóng xạ mạnh hay yếu của một lượng chất phóng xạ.
C. Với mỗi lượng chất phóng xạ xác định thì độ phóng xạ tỉ lệ với số nguyên tử của lượng chất đó.
D. Độ phóng xạ của một lượng chất phóng xạ phụ thuộc nhiệt độ của lượng chất đó.
Câu 7. Một khối chất Astat
có số nguyên tử ban đầu N0 = 2,86.1016 nguyên tử và phóng xạ ra tia α. Trong giờ đầu tiên phát ra 2,29.1015 hạt α. Chu kỳ bán rã của Astat là:
A. 8 giờ 18 phút B. 8 giờ
C. 7 giờ 18 phút D. 8 giờ 10 phút
Câu 8. Trong khoảng thời gian 4 giờ, 75% số hạt nhân ban đầu của một đồng vị phóng xạ đã bị phân rã. Chu kì bán rã của đồng vị đó bằng bao nhiêu?
A. 1 giờ B. 2 giờ
C. 3 giờ D. 4 giờ
Câu 9. Ban đầu có √√2 g Pôlôni nguyên chất, đó là chất phóng xạ có chu kỳ bán rã 138 ngày và có phương trình phân rã:
. Sau bao lâu thì khối lượng chì được tạo ra là 0,4g?
A. 69 ngày B. 138 ngày
C. 34,5 ngày D. 276 ngày
Câu 10. Biết Cs137 là chất phóng xạ β-. Sau 15 năm độ phóng xạ của nó giảm bớt 29,3% và khối lượng chất phóng xạ còn lại là 2,8√2.10-8 g. Tính độ phóng xạ ban đầu của Cs137.
A. 1,8.105 Bq B. 0,8.105 Bq
C. 0,9√2.105 Bq D. 1,8√2.105 Bq
Đáp án & Thang điểm
Câu 1. Đáp án A
Nơtron là hạt sơ cấp không mang điện.
Câu 2. Đáp án B
Các hạt nhân đồng vị là những hạt nhân có cùng số proton nhưng khác số nơtron.
Câu 3. Đáp án A
Chùm tia β+ là chùm các hạt có cùng khối lượng với electron, mang điện là +e.
Câu 4. Đáp án A
• Số khối: A = 24
• Số Proton: Z = 11
Số notron: N = A – Z = 13
Câu 5. Đáp án D
Trong phóng xạ β- thì hạt nhân con tiến 1 ô trong bảng phân loại tuần hoàn
Câu 6. Đáp án D
Phát biểu này sai vì độ phóng xạ của một lượng chất phóng xạ không phụ thuộc nhiệt độ của lượng chất đó.
Câu 7. Đáp án A
Số nguyên tử α tạo ra chính bằng số nguyên tử At đã phóng xạ, do đó:
Câu 8. Đáp án B
Ta có:
Từ đó:
Câu 9. Đáp án A
Số nguyên tử ban đầu của 210Po là:
→ Số nguyên tử 206Pb được tạo ra:
→ Vì số nguyên tử Pb tạo ra bằng số nguyên tử Po đã bị phân rã, do đó:
Từ đó:
Câu 10. Đáp án A
Ta có:
• Khối lượng ban đầu của chất phóng xạ:
• Độ phóng xạ ban đầu:
Xem thêm các đề thi Vật Lí 12 chọn lọc, có đáp án hay khác:
- Đề thi Vật Lí 12 Học kì 1 năm 2026 có đáp án (3 đề)
- Đề thi Giữa học kì 2 Vật Lí 12 năm 2026 có đáp án (3 đề)
- Đề thi Vật Lí 12 Học kì 2 năm 2026 có đáp án (3 đề)
Để học tốt lớp 12 các môn học sách mới:
- Giải bài tập Lớp 12 Kết nối tri thức
- Giải bài tập Lớp 12 Chân trời sáng tạo
- Giải bài tập Lớp 12 Cánh diều
Đã có app VietJack trên điện thoại, giải bài tập SGK, SBT Soạn văn, Văn mẫu, Thi online, Bài giảng....miễn phí. Tải ngay ứng dụng trên Android và iOS.
Theo dõi chúng tôi miễn phí trên mạng xã hội facebook và youtube:Nếu thấy hay, hãy động viên và chia sẻ nhé! Các bình luận không phù hợp với nội quy bình luận trang web sẽ bị cấm bình luận vĩnh viễn.
- Giáo án lớp 12 (các môn học)
- Giáo án điện tử lớp 12 (các môn học)
- Giáo án Toán 12
- Giáo án Ngữ văn 12
- Giáo án Vật Lí 12
- Giáo án Hóa học 12
- Giáo án Sinh học 12
- Giáo án Địa Lí 12
- Giáo án Lịch Sử 12
- Giáo án Lịch Sử 12 mới
- Giáo án GDCD 12
- Giáo án Kinh tế Pháp luật 12
- Giáo án Tin học 12
- Giáo án Công nghệ 12
- Giáo án GDQP 12
- Đề thi lớp 12 (các môn học)
- Đề thi Ngữ văn 12
- Đề thi Toán 12
- Đề thi Tiếng Anh 12 mới
- Đề thi Tiếng Anh 12
- Đề thi Vật Lí 12
- Đề thi Hóa học 12
- Đề thi Sinh học 12
- Đề thi Địa Lí 12
- Đề thi Lịch Sử 12
- Đề thi Giáo dục Kinh tế Pháp luật 12
- Đề thi Giáo dục quốc phòng 12
- Đề thi Tin học 12
- Đề thi Công nghệ 12


Giải bài tập SGK & SBT
Tài liệu giáo viên
Sách
Khóa học
Thi online
Hỏi đáp

