[năm 2025] Đề thi khảo sát chất lượng đầu năm Hóa học 12 (3 đề)
[năm 2025] Đề thi khảo sát chất lượng đầu năm Hóa học 12 (3 đề)
Tuyển chọn 3 đề thi khảo sát chất lượng đầu năm Hóa học 12 năm 2025 chọn lọc được các Giáo viên nhiều năm kinh nghiệm biên soạn và sưu tầm từ đề thi Hóa học 12 của các trường THPT. Hi vọng bộ đề thi này sẽ giúp học sinh ôn tập và đạt kết quả cao trong các bài thi khảo sát chất lượng đầu năm môn Hóa học 12.
Sở Giáo dục và Đào tạo .....
Đề thi khảo sát chất lượng đầu năm
Năm 2025
Bài thi môn: Hóa học 12
Thời gian làm bài: 45 phút
(Đề thi số 1)
Câu 1: Este nào sau đây thủy phân cho hỗn hợp 2 chất hữu cơ đều tham gia phản ứng tráng bạc?
A. CH3COOC2H5.
B. CH3COOCH=CH2.
C. HCOOCH2CH=CH2.
D. HCOOCH=CH– CH3.
Câu 2: Lần lượt cho các chất: phenol, axit acrylic, axit fomic, metyl axetat phản ứng với Na, dung dịch NaOH đun nóng. Số trường hợp có phản ứng xảy ra là
A. 5. B. 6.
C. 7. D. 8.
Câu 3: Có 3 chất saccarozơ, mantozơ, anđehit axetic. Dùng thuốc thử nào để phân biệt?
A. AgNO3/NH3
B. Cu(OH)2/NaOH.
C. Dung dịch Br2
D. Na.
Câu 4: Benzyl axetat là một este có mùi thơm của hoa nhài. Công thức của benzyl axetat là:
A. C6H5 – COO – CH3.
B. CH3– COO– CH2–C6H5.
C. CH3– COO– C6H5.
D. C6H5– CH2– COO– CH3.
Câu 5: Tổng số hợp chất hữu cơ no, đơn chức, mạch hở, có cùng công thức phân tử C5H10O2, phản ứng được với dung dịch NaOH nhưng không có phản ứng tráng bạc là
A. 4 B. 5.
C. 8. D. 9.
Câu 6: Phát biểu không đúng là
A. Dung dịch fructozơ hoà tan được Cu(OH)2.
B. Thủy phân (xúc tác H+, to) saccarozơ cũng như mantozơ đều cho cùng một monosaccarit
C. Sản phẩm thủy phân xenlulozơ (xúc tác H+, to) có thể tham gia phản ứng tráng gương
D. Dung dịch mantozơ tác dụng với Cu(OH)2 khi đun nóng cho kết tủa Cu2O.
Câu 7: Khối lượng phân tử trung bình của xenlulozơ trong sợi bông là 4860000 đvC. Vậy số gốc glucozơ có trong xenlulozơ nêu trên là
A. 28000. B. 30000.
C. 35000. D. 25000.
Câu 8: Cho công thức chất X là C3H5Br3. Khi X tác dụng với dung dịch NaOH dư tạo ra một hợp chất tạp chức của ancol bậc I và anđehit. Công thức cấu tạo của X là
A. CH3– CHBr– CHBr2.
B. CH2Br– CH2– CHBr2.
C. CH2Br– CHBr– CH2Br.
D. CH3– CBr2– CH2Br.
Câu 9: Phát biểu nào sau đây là sai?
A. Mantozơ là đồng phân của saccarozơ.
B. Hợp chất saccarozơ thuộc loại đisaccarit, phân tử này được cấu tạo bởi 2 gốc glucozơ.
C. Phân tử saccarozơ có nhiều nhóm hyđroxyl nhưng không có nhóm chức anđehit.
D. Xenlulozơ là hợp chất cao phân tử thiên nhiên, mạch không phân nhánh và do các mắt xích glucozơ tạo nên.
Câu 10: Cho 0,1 mol phenyl axetat tác dụng với 250ml dung dịch NaOH 1M thu được dung dịch X. Cô cạn X được m gam chất rắn. Giá trị của m là
A. 21,8. B. 8,2.
C. 19,8. D. 14,2.
Câu 11: Để phân biệt dung dịch mất nhãn gồm glucozơ, saccarozơ, CH3CHO, ancol etylic, hồ tinh bột ta dùng thuốc thử
A. I2, Cu(OH)2 to
B. I2, HNO3
C. I2, AgNO3/NH3
D. AgNO3/NH3, HNO3 to
Câu 12: Trong chế tạo ruột phích người ta thường dùng phương pháp nào sau đây:
A. Cho axetilen tác dụng với dung dịch AgNO3/NH3
B. Cho anđehit fomic tác dụng với dung dịch AgNO3/NH3
C. Cho axit fomic tác dụng với dung dịch AgNO3/NH3
D. Cho glucozơ tác dụng với dung dịch AgNO3/NH3.
Câu 13: Phản ứng nào sau đây không tạo ra glucozơ?
A. Lục hợp HCHO xúc tác Ca(OH)2.
B. Tam hợp CH3CHO.
C. Thủy phân mantozơ.
D. Thủy phân saccarozơ.
Câu 14: Chất hữu cơ X có CTPT là C4H6O2Cl2. Khi cho X phản ứng với dung dịch NaOH thu được HO– CH2– COONa, etylenglicol và NaCl. CTCT của X là
A. CH2Cl– COO– CHCl– CH3.
B. CH3– COO– CHCl– CH2Cl.
C. CHCl2– COO– CH2CH3.
D. CH2Cl– COO– CH2– CH2Cl.
Câu 15: Cho 3 chất: Glucozơ, axit axetic, glixerol. Để phân biệt 3 chất trên chỉ cần dùng 2 hoá chất là
A. Dung dịch Na2CO3 và Na
B. Quỳ tím và Ag2O/dd NH3.
C. Dung dịch NaHCO3 và dung dịch AgNO3
D. Quỳ tím và Na
Câu 16: Cho sơ đồ phản ứng sau:
Este X + NaOH → CH3COONa + Chất hữu cơ Y
Y + O2 -xt→ Y1
Y1 + NaOH → CH3COONa + H2O
Có tất cả bao nhiêu chất X thỏa mãn sơ đồ trên?
A. 1. B. 4.
C. 2. D. 3.
Câu 17: Để sản xuất 1 tấn thuốc nổ proxilin (xem như là trinitrat xenlulozơ nguyên chất) thì cần dùng một lượng xenlulozơ là
A. 1000kg B. 611,3kg
C. 545,4kg D. 450,5kg
Câu 18: Cho 10 gam chất X (chỉ chứa nhóm chức este có phân tử khối là 100 đvC) tác dụng với 150 ml dung dịch NaOH 1M. Sau phản ứng, cô cạn dung dịch thu được 11,6 gam chất rắn khan và một chất hữu cơ Y. Công thức của Y là
A. CH3OH. B. C2H5OH.
C. CH3CHO. D. CH3COCH3.
Câu 19: Cho dãy biến hoá: X là
X
Y
Z → K → cao su buna
A. Tinh bột.
B. Etylen.
C. Etyl clorua.
D. Butan.
Câu 20: Cho 360 gam glucozơ lên men tạo thành ancol etylic, khí sinh ra được dẫn vào dung dịch nước vôi trong dư thu được m gam kết tủa. Biết hiệu suất của quá trình lên men đạt 80 %. Vậy giá trị của m là
A. 200 gam. B. 320 gam.
C. 400 gam. D. 160 gam.
Câu 21: Hợp chất X có CTPT C4H6O2. Khi thủy phân X thu được 1 axit Y và 1 anđehit Z. Oxi hóa Z thu được Y. Trùng hợp X cho ra 1 polime. CTCT của X là
A. HCOOC3H5.
B. C2H3COOCH3.
C. CH3COOC2H3.
D. C3H5COOH.
Câu 22: Tại một nhà máy rượu, cứ 10 tấn tinh bột sẽ sản xuất được 1,5 tấn rượu etylic. Hiệu suất cả quá trình điều chế là
A. 26,4% B. 15%
C. 85% D. 32,7%
Câu 23: Este X có CTPT C4H8O2. Tên gọi của X là
Biết: X
Y1 + Y2 ; Y1
Y2
A. isopropyl fomat.
B. etyl axetat.
C. metyl propionat.
D. n– propyl fomat.
Câu 24: Cho 360 gam glucozơ lên men thành ancol etylic (giả sử chỉ có phản ứng tạo thành ancol etylic). Cho tất cả khí CO2 hấp thụ vào dung dịch NaOH thì thu được 212 gam Na2CO3 và 84 gam NaHCO3. Hiệu suất của phản ứng lên men rượu là
A. 50% B. 62,5%
C. 75% D. 80%
Câu 25: Cho các phản ứng:

Công thức phân tử của X là
A. C12H20O6.
B. C12H14O4
C. C11H10O4.
D. C11H12O4.
Câu 26: Từ 180 gam glucozơ, bằng phương pháp lên men rượu, thu được a gam ancol etylic (hiệu suất 80%). Oxi hoá 0,1a gam ancol etylic bằng phương pháp lên men giấm, thu được hỗn hợp X. Để trung hoà hỗn hợp X cần 720 ml dung dịch NaOH 0,2M. Hiệu suất quá trình lên men giấm là
A. 10% B. 90%
C. 80% D. 20%
Câu 27: Hiđro hoá hoàn toàn m gam hỗn hợp gồm glucozơ và fructozơ cần phải dùng 4,48lít khí H2 ở đktc. Mặt khác, cũng m gam hỗn hợp này tác dụng vừa hết với 8 gam Br2 trong dung dịch. Số mol của glucozơ và fructozơ trong m gam hỗn hợp này lần lượt là
A. 0,05 mol và 0,15 mol
B. 0,05 mol và 0,35 mol
C. 0,1 mol và 0,15 mol
D. 0,2 mol và 0,2 mol
Câu 28: Hỗn hợp M gồm hai chất hữu cơ X và Y. Cho M tác dụng vừa đủ với 150 ml dung dịch NaOH 1M đun nóng, thu được 14,1 gam một muối và 2,3 gam một ancol no, mạch hở. Nếu đốt cháy hoàn toàn lượng M trên thì thu được 0,55 mol CO2. Công thức của X và Y lần lượt là
A. CH2=CHCOOH và CH2=CH–COO– CH3.
B. CH≡C–COOH và CH≡C–COO–CH3.
C. CH≡C–COOH và CH≡C–COO–C2H5.
D. CH2=CHCOOH và CH2=CH–COO–C2H5.
Câu 29: Cho a gam chất hữu cơ X chứa C, H, O tác dụng với dung dịch NaOH vừa đủ, sau đó chưng khô thì phần bay hơi chỉ có 1,8 gam nước, phần chất rắn khan còn lại chứa hai muối của natri có khối lượng 11,8 gam. Nung hai muối này trong oxi dư, sau khi phản ứng hoàn toàn, ta thu được 7,95 gam Na2CO3; 7,28 lít khí CO2 (đktc) và 3,15 gam nước. Công thức đơn giản nhất của X là
A. C8H8O3. B. C8H8O2.
C. C6H6O2. D. C7H8O3.
Câu 30: Hỗn hợp X gồm hai chất hữu cơ. X phản ứng với dung dịch KOH vừa đủ, cần dùng 100ml dung dịch KOH 5M. Sản phẩm phản ứng gồm 2 muối của một axit cacboxylic đơn chức và một ancol đơn chức. Cho toàn bộ lượng ancol tác dụng hết với Na thu được 3,36 lít H2 (đktc). X gồm
A. 1 axit và 1 ancol
B. 1 este và 1 axit
C. 2 este
D. 1 este và 1 ancol
ĐÁP ÁN ĐỀ 1
Câu 1: Đáp án D
CH3COOC2H5 + NaOH → CH3COONa + C2H5OH
CH3COOCH=CH2 + NaOH → CH3COONa + CH3CHO
HCOOCH2CH=CH2 + NaOH → HCOONa + CH2=CHCH2OH
HCOOCH=CH– CH3 + NaOH → HCOONa + CH3– CH2CHO
→ Este thủy phân cho hỗn hợp hai chất hữu cơ đều tham gia phản ứng tráng bạc là HCOOCH=CH– CH3
Câu 2: Đáp án C
Có 3 chất phản ứng với Na là phenol, axit acrylic, axit fomic.
Có 4 chất phản ứng với dung dịch NaOH đun nóng là phenol, axit acrylic, axit fomic, metyl axetat.
⇒ Có 7 trường hợp có phản ứng xảy ra.
Câu 3: Đáp án B
Dùng Cu(OH)2/NaOH phân biệt saccarozơ, mantozơ, anđehit axetic.
Ở nhiệt độ thường saccarozơ, mantozơ hòa tan Cu(OH)2 tạo dung dịch phức đồng màu xanh lam, anđehit axetic không hiện tượng → nhận ra anđehit axetic.
Sau đó đun nóng hai ống nghiệm có phức xanh → xuất hiện chất kết tủa màu đỏ gạch Cu2O → mantozơ.
Câu 4: Đáp án B
Benzyl axetat có mùi thơm của hoa nhài.
CTCT: CH3– COO– CH2– C6H5.
* Thêm một số mùi este thông dụng khác:
isoamyl axetat: mùi chuối chín
etyl butirat và etyl propionat: mùi dứa.
geranyl axetat: mùi hoa hồng.
Câu 5: Đáp án D
C5H10O2 có k = 1 , phản ứng với dung dịch NaOH ⇒ este hoặc axit no, đơn chức, mạch hở.
Không có phản ứng tráng bạc ⇒ không phải là este của axir fomic
⇒ Có 9 hợp chất hữu cơ thỏa mãn là
1. CH3- CH2– CH2– CH2– COOH.
2. 
3. 
4. 
5. CH3COOCH2CH2CH3
6. 
7. CH3CH2COOCH2CH3
8. CH3CH2CH2COOCH3
9. (CH3)2CHCOOCH3
Câu 6: Đáp án B
Thủy phân (xúc tác H+, toC) saccarozơ cho 1 phân tử glucozơ và 1 phân tử fructozơ; mantozơ thủy phân tạo 2 phân tử glucozơ.
Câu 7: Đáp án B
Số gốc glucozơ trong xenlulozơ = 4860000 / 162 = 30000.
Câu 8: Đáp án B
Muốn tạo ra anđehit cần có 2 nhóm Br đính vào C bậc I ⇒ loại C, D
Vì X khi X tạo ancol bậc I nên 1 nhóm Br còn lại đính với C bậc I ⇒ loại A
CH2Br– CH2– CHBr2 + 3NaOH → CH2(OH)– CH2– CHO + H2O + 3NaBr.
Câu 9: Đáp án B
Hợp chất saccarozơ thuộc loại đisaccarit, phân tử này được cấu tạo bởi 1 gốc α– glucozo, 1 gốc β– fructozo
Câu 10: Đáp án A
nCH3COOC6H5 = 0,1 mol; nNaOH = 0,25 mol
CH3COOC6H5 + 2NaOH → CH3COONa + C6H5ONa + H2O
nNaOH dư = 0,25 – 0,1 x 2 = 0,05 mol
Sau phản ứng thu được chất rắn gồm 0,1 mol CH3COONa; 0,1 mol C6H5ONa và 0,05 mol NaOH dư.
Vậy m = 0,1. 82 + 0,1.116 + 0,05.40 = 21,8 gam
Câu 11: Đáp án A
Khi nhỏ I2 vào các dung dịch glucozơ, saccarozơ, CH3CHO, ancol etylic, hồ tinh bột. Dịch xuất hiện xanh tím là hồ tinh bột.
Khi cho các dung dịch saccarozơ, CH3CHO, ancol etylic vào Cu(OH)2. Ở nhiệt độ thường dung dịch saccarozơ hòa tan kết tủa tạo dung dịch màu xanh lam, hai ống nghiệm còn lại không hiện tượng.
Đun nóng hai ống nghiệm còn lại, có kết tủa đỏ gạch → CH3CHO.
Không hiện tượng → C2H5OH.
Câu 12: Đáp án D
Trong công nghiệp người ta dùng glucozơ để chế tạo ruột phích.
Câu 13: Đáp án B
Tam hợp CH3CHO được chất có CTPT: C6H12O3, không phải là glucozơ.
Câu 14: Đáp án D
CH2Cl– COO– CHCl– CH3 + 3NaOH → HO– CH2– COONa + CH3CHO + 2NaCl + H2O
CH3– COO– CHCl– CHCl + 3NaOH → CH3COONa + CH2OH– CHO + 2NaCl + H2O
CHCl2– COO– CH2– CH3 + 3NaOH → CHO– COONa + 2NaCl + CH3CH2OH
CH2Cl– COO– CH2– CH2Cl + 3NaOH → HO– CH2– COONa + CH2OH– CH2OH + 2NaCl
⇒ X là CH2Cl– COO– CH2– CH2Cl.
Câu 15: Đáp án B
Dùng quỳ tím phân biệt được axit axetic làm quỳ hóa đỏ
Dùng Ag2O/NH3: có kết tủa bạc là glucozơ
C sai vì AgNO3 thiếu môi trường NH3.
Câu 16: Đáp án C
Y1 là CH3COOH; X có dạng là CH3COOR
Y + O2 → Y1 nên Y có thể là CH3CHO.
Có 2 chất X thỏa mãn là CH3COOCH=CH2 và CH3COOCH(OH)CH3
Câu 17: Đáp án C
[C6H7O2(OH)3]n + 3nHNO3 → [C6H7O2(ONO2)3]n + 3nH2O
Ta có:
nxenlulozo = ntrinitrat xenlulozo = 
mxenlulozo =
. 162n = 54545g = 545,45kg
Câu 18: Đáp án C
Ta có MX = 100 ⇒ X có công thức phân tử C5H8O2
Ta có nX = 10 : 100 = 0,1 mol < nNaOH = 0,15 mol ⇒ chất rắn khan chứa muối RCOONa : 0,1 mol và NaOH dư: 0,05 mol
⇒ 0,1. (R + 67) + 0,05. 40 = 11,6 ⇒ R = 29 (C2H5)
Vậy X có công thức C2H5COOCH=CH2. Khi thủy phân X thu được C2H5COONa và CH3CHO
Câu 19: Đáp án A
X là tinh bột. Sơ đồ chuyển hóa như sau:
C6H10O5
C6H12O6
C2H5OH
C4H6
Cao su buna
Câu 20: Đáp án B
C6H12O6
2C2H5OH + 2CO2 ↑
CO2 + Ca(OH)2 dư → CaCO3 ↓ + H2O
Ta có: H = 80%

⇒ nCO2 = 1,6.2 = 3,2 mol = n↓
mCaCO3 = 3,2.100 = 320g.
Câu 21: Đáp án C
HCOOC3H5 + H2O
HCOOH + C3H5OH
Oxi hóa C3H5OH không thu được HCOOH → không thỏa mãn.
• C2H3COOCH3 + H2O
C2H3COOH + CH3OH
Oxi hóa CH3OH không thu được C2H3COOH → không thỏa mãn.
• CH3COOC2H3 + H2O
CH3COOH + CH3CHO
2CH3CHO + O2
2CH3COOH
nCH3COOCH=CH2
– (– CH(OCOCH3)– CH2– )n–
→ thỏa mãn.
• C3H5COOH không bị thủy phân → không thỏa mãn.
Câu 22: Đáp án A
Ta có: (C6H10O5)n
2nC2H5OH

Hiệu suất của phản ứng là:

Câu 23: Đáp án B
X là etyl axetat.
CH3COOC2H5 + H2O ⇆ CH3COOH + C2H5OH
CH3CH2OH + O2
CH3COOH + H2O
Câu 24: Đáp án C
Bảo toàn C có: nCO2(tt) = nNa2CO3 + nNaHCO3 = 2 + 1 = 3 mol.
C6H12O6
2C2H5OH + 2CO2 ↑
nGlucozo = 2 ⇒ nCO2 (lt) = 2.2 = 4 mol
H% = (3/4).100% = 75%
Câu 25: Đáp án C
Y + 2NaOH
T + Na2CO3
⇒ Y là muối natri của axit hai chức.
CH3CHO + 2Cu(OH)2 + NaOH
Z + ...
Z là CH3COONa
Z + NaOH
CH4 + Na2CO3
Vậy Y là NaOCO– CH2– COONa.
X + 3NaOH
C6H5ONa + NaOCO– CH2– COONa + CH3CHO + H2O
X có CTCT là C6H5OCO– CH2– COOCH=CH2⇒ X có CTPT là C11H10O4
Câu 26: Đáp án B
C6H12O6
2C2H5OH + 2CO2 ↑
CH3CH2OH + O2
CH3COOH + H2O
nglucozơ = 1 ⇒ nC2H5OH = 1.2.0,8 = 1,6 mol
nCH3COOH (lt) = 0,1.0,16 = 0,16 mol
nCH3COOH (tt) = 0,72.0,2 = 0,144 mol

Câu 27: Đáp án A
Nhận thấy cho hỗn hợp glucozơ và fructozơ vào Br2 chỉ có glucozơ tham gia phản ứng
nglucozơ = nBr2 = 0,05 mol
Cho hỗn hợp glucozơ và fructozơ phản ứng H2 thì nglucozơ + nfructozơ = 0,2 mol
⇒ nfructozơ = 0,15 mol.
Câu 28: Đáp án D
Từ 4 đáp án, ta xác định được ngay X là axit và Y là este.
Este Y được tạo thành từ axit X và 1 ancol no đơn chức (CnH2n+1OH)

Gọi x và n lần lượt là số mol và số nguyên tử C của ancol.
Ta có:

Vậy công thức của X là CH2=CHCOOH, công thức của Y: CH2=CHCOOC2H5
Câu 29: Đáp án A
nH2O bay hơi = 0,1 mol
Nung muối trong oxi dư thu được:
nNa2CO3 = 0,075 mol; nCO2 = 0,325 mol; nH2O = 0,175 mol.
nNaOH = 2.nNa2CO3 = 2.0,075 = 0,15 mol.
nC trong X = nNa2CO3 + nCO2 = 0,075 + 0,325 = 0,4 mol.
Bảo toàn H trong X: nH trong X = 0,1.2 + 0,175.2 – 0,15 = 0,4.
Theo BTKL: a = 11,8 + 1,8 – 0,15.40 = 7,6 gam

Giả sử X là CxHyOz
Vậy x : y : z = 0,4 : 0,4 : 0,15 = 8 : 8 : 3
Vậy CTĐGN của X là C8H8O3
Câu 30: Đáp án B
Hỗn hợp X gồm hai chất hữu cơ đơn chức.
X + 0,5 mol KOH → muối của hai axit cacboxylic đơn chức và 1 ancol đơn chức
ancol + Na dư → 0,15 mol H2.
• nKOH = 0,5 mol
nancol = 2nH2 = 2.0,15 = 0,3 mol < nKOH
Chỉ có 1 chất phản ứng sinh ra rượu.
Mà thu được 2 muối ⇒ Có một chất là este và 1 chất là axit
Sở Giáo dục và Đào tạo .....
Đề thi khảo sát chất lượng đầu năm
Năm 2025
Bài thi môn: Hóa học 12
Thời gian làm bài: 45 phút
(Đề thi số 2)
Câu 1: Este nào sau đây khi thủy phân trong môi trường kiềm tạo ra 2 muối hữu cơ?
A. C6H5COOCH2CH=CH2.
B. CH2=CHCH2COOC6H5.
C. CH3COOCH=CHC6H5.
D. C6H5CH2COOCH=CH2.
Câu 2: Mệnh đề nào sau đây không đúng?
A. Metyl fomat có CTPT là C2H4O2.
B. Metyl fomat là este của axit etanoic.
C. Metyl fomat có thể tham gia phản ứng tráng bạc.
D. Thuỷ phân metyl fomat tạo thành ancol metylic và axit fomic.
Câu 3: Cho dãy các chất: glucozơ; xenlulozơ; saccarozơ; tinh bột; mantozơ. Số chất trong tham gia phản ứng tráng gương là
A. 3 B. 5
C. 4 D. 2
Câu 4: Nhiệt độ sôi của các chất được sắp xếp theo thứ tự tăng dần đúng là
A. C2H5Cl < CH3COOH < C2H5OH.
B. C2H5Cl < CH3COOCH3 < C2H5OH < CH3COOH.
C. CH3OH < CH3CH2OH < NH3 < HCl.
D. HCOOH < CH3OH < CH3COOH < C2H5F.
Câu 5: Este mạch hở X có CTPT là C4H6O2. Số đồng phân tối đa có thể có của X là
A. 3. B. 4.
C. 5. D. 6.
Câu 6: Xenlulozơ không phản ứng được với chất nào sau đây:
A. HNO3 đặc trong H2SO4 đặc, đun nóng
B. H2 có Ni xúc tác, đun nóng
C. Cu(OH)2 trong dung dịch NH3
D. CS2 trong dung dịch NaOH
Câu 7: Để phân biệt các dung dịch glucozơ, saccarozơ và anđehit axetic có thể dùng dãy chất nào sau đây làm thuốc thử?
A. Nước brom và NaOH
B. AgNO3/NH3 và NaOH
C. Cu(OH)2 và AgNO3/NH3
D. HNO3 và AgNO3/NH3
Câu 8: Để chứng minh trong phân tử của glucozơ có nhiều nhóm hiđroxyl, người ta cho dung dịch glucozơ phản ứng với
A. kim loại Na
B. Cu(OH)2 ở nhiệt độ thường.
C. AgNO3 (hoặc Ag2O) trong dung dịch NH3, đun nóng
D. Cu(OH)2 trong NaOH, đun nóng.
Câu 9: Cho các chất: etyl axetat, ancol etylic, axit acrylic, phenol, phenyl amoni clorua, ancol benzylic, p-crezol. Trong các chất này, số chất tác dụng được với dung dịch NaOH là
A. 4. B. 6.
C. 5. D. 3.
Câu 10: Dãy nào sau đây sắp xếp các chất theo trật tự tăng dần nhiệt độ sôi?
A. HCOOCH3 < CH3COOCH3 < C3H7OH < CH3COOH < C2H5COOH
B. CH3COOCH3 < HCOOCH3 < C3H7OH < CH3COOH < C2H5COOH
C. HCOOCH3 < CH3COOCH3 < C3H5OH < C2H5COOH < CH3COOH
D. C2H5COOH < CH3COOH < C3H7OH < CH3COOCH3 < HCOOCH3
Câu 11: Thủy phân hoàn toàn 1kg saccarozơ sẽ thu được
A. 0,5kg glucozơ và 0,5kg fructozơ.
B. 1kg glucozơ và 1kg fructozơ.
C. 0,5263kg glucozơ và 0,5263kg fructozơ
D. 2kg glucozơ.
Câu 12: Cho sơ đồ phản ứng: Thuốc súng không khói ← X → Y → Sobitol. X , Y lần lượt là:
A. xenlulozơ, fructozơ.
B. xenlulozơ, glucozơ.
C. tinh bột, glucozơ.
D. saccarozơ, glucozơ.
Câu 13: Cho 10,2 gam một este đơn chức X tác dụng vừa đủ với 40 gam dung dịch NaOH 15%. Số đồng phân cấu tạo thỏa mãn điều kiện trên của X là
A. 3. B. 4.
C. 5. D. 6.
Câu 14: Một dung dịch có tính chất sau :
- Tác dụng được với dung dịch AgNO3/NH3 và Cu(OH)2 khi đun nóng.
- Hòa tan được Cu(OH)2 tạo ra dung dịch màu xanh lam.
- Bị thủy phân nhờ axit hoặc enzim.
Dung dịch đó là:
A. Glucozơ
B. Mantozơ
C. Saccarozơ
D. Xenlulozơ
Câu 15: Cho các chất: X: glucozơ; Y: Saccarozơ; Z: Tinh bột; T: Glixerin; H: Xenlulozơ. Những chất bị thuỷ phân là
A. X , Z , H
B. Y , Z , H
C. X , Y , Z
D. Y , T , H
Câu 16: Đun nóng dung dịch chứa 27 gam glucozơ với dung dịch AgNO3/NH3(dư) thì khối lượng Ag tối đa thu được là
A. 21,6 gam B. 32,4 gam
C. 16,2 gam D. 10,8 gam
Câu 17: Khí CO2 chiếm 0,03 % thể tích không khí. Thể tích không khí (ở đktc) để cung cấp CO2 cho phản ứng quang hợp để tạo ra 27 gam glucozơ là
A. 44800 lít B. 672 lít
C. 67200 lít D. 448 lít
Câu 18: Chất hữu cơ X mạch hở có CTPT C4H6O2, biết rằng:

CTCT của X là
A. CH2=CH-CH2-COOH.
B. CH2=CHCOOCH3.
C. HCOOCH2–CH=CH2.
D. CH3COOCH=CH2.
Câu 19: Thủy phân 171g mantozơ với hiệu suất 50% thu được dd X. Sau khi trung hòa axit dư trong X thu được dd Y. Cho Y tác dụng với AgNO3/NH3 dư thu được a gam Ag. Giá trị a là
A. 108 B. 216
C. 162 D. 270
Câu 20: Cho sơ đồ chuyển hóa:


Tên gọi của Y là:
A. propan-1,3-điol.
B. propan-1,2-điol.
C. propan-2-ol.
D. glixerol.
Câu 21: Ba hợp chất hữu cơ mạch hở X, Y, Z có cùng công thức phân tử C3H6O2 và có các tính chất sau: X, Y đều tham gia phản ứng tráng bạc; X, Z đều tác dụng được với dung dịch NaOH. Các chất X, Y, Z lần lượt là
A. CH2(OH)-CH2-CHO, C2H5-COOH, CH3-COO-CH3.
B. HCOO-C2H5, CH3-CH(OH)-CHO, OHC-CH2-CHO.
C. CH3-COO-CH3, CH3-CH(OH)-CHO, HCOO-C2H5.
D. HCOO-C2H5, CH3-CH(OH)-CHO, C2H5-COOH.
Câu 22: Thủy phân 1kg khoai (chứa 20% tinh bột) trong môi trường axit. Nếu hiệu suất phản ứng là 75% thì lượng glucozơ thu được là
A. 200g B. 166,6g
C. 150g D. 120g
Câu 23: Thủy phân 4,3 gam este X đơn chức mạch hở (có xúc tác axit) đến khi phản ứng hoàn toàn thu được hỗn hợp hai chất hữu cơ Y và Z. Cho Y, Z phản ứng với dung dịch dư AgNO3/NH3 thu được 21,6 gam bạc. Công thức cấu tạo của X là:
A. CH3COOCH=CH2.
B. HCOOCH=CH-CH3.
C. HCOOCH2CH=CH2.
D. HCOOC(CH3)=CH2.
Câu 24: Xenlulozơ trinitrat được điều chế từ Xenlulozơ và axít HNO3 đặc (có xúc tác H2SO4 đặc nóng). Để có 29,7 kg Xenlulozơ trinitrat cần dùng dung dịch chứa m kg HNO3 (H = 90%). Tính m
A. 21kg B. 17,01kg
C. 18,9kg D. 22,5kg
Câu 25: Chất X có công thức phân tử C4H6O2. Cho m gam X phản ứng vừa đủ với dung dịch chứa 2 gam NaOH, tạo ra 4,1 gam muối. Kết luận nào sau đây là đúng cho chất X ?
A. X có phản ứng tráng bạc và có làm mất màu nước brom
B. X có khả năng làm đổi màu quỳ tím thành đỏ
C. X không tham gia phản ứng tráng bạc nhưng có làm mất màu nước brom
D. X có phản ứng tráng bạc nhưng không làm mất màu nước brom
Câu 26: Có thể dùng Cu(OH)2 để phân biệt được các chất trong nhóm nào sau đây?
A. C3H5(OH)3, C2H4(OH)2
B. C3H7OH, CH3CHO
C. CH3COOH, C2H3COOH
D. C3H5(OH)3, C12H22O11 (saccarozơ)
Câu 27: X là một este đơn chức không tham gia phản ứng tráng bạc, khi thủy phân hoàn toàn 4,3 gam X bằng dung dịch NaOH vừa đủ rồi chưng cất sản phẩm được muối Y và phần bay hơi Z. Cho Z phản ứng với Cu(OH)2 dư trong điều kiện thích hợp thu được 7,2 gam kết tủa đỏ gạch. Khối lượng của muối thu được là
A. 3,4 gam B. 6,8 gam
C. 3,7 gam D. 4,1 gam
Câu 28: Khi thuỷ phân 0,1 mol este X được tạo bởi một ancol đa chức với một axit cacboxylic đơn chức cần dùng vừa đủ 12 gam NaOH. Mặt khác để thuỷ phân 6,35 gam X cần dùng 3 gam NaOH và thu được 7,05 gam muối. Công thức của X là:
A. (CH3COO)3C3H5
B. (HCOO)3C3H5
C. (C2H3COO)3C3H5
D. (CH3COO)2C2H4
Câu 29: Hai este X, Y là dẫn xuất của benzen, đều có CTPT là C9H8O2; X và Y đều cộng hợp với Brom theo tỉ lệ mol 1:1. X tác dụng với dung dịch NaOH cho một muối và một anđehit. Y tác dụng với dung dịch NaOH dư cho 2 muối và nước, các muối đều có phân tử khối lớn hơn phân tử khối của CH3COONa. CTCT của X và Y lần lượt là
A. HOOC-C6H4-CH=CH2 và CH2=CH-COOC6H5.
B. C6H5COOCH=CH2 và C6H5-CH=CH-COOH.
C. HCOO-C6H4-CH=CH2 và HCOOCH=CH-C6H5.
D. C6H5COO-CH=CH2 và CH2=CH-COOC6H5.
Câu 30: Hỗn hợp A gồm glucozơ và tinh bột được chia thành hai phần bằng nhau. Phần thứ nhất được khuấy trong nước, lọc và cho nước lọc phản ứng với dung dịch AgNO3(dư)/ NH3 thấy tách ra 2,16 gam Ag. Phần thứ hai được đun nóng với dung dịch H2SO4 loãng, trung hoà hỗn hợp thu được bằng dung dịch NaOH rồi cho sản phẩm tác dụng với dung dịch AgNO3(dư)/ NH3 thấy tách ra 6,48 gam Ag. Giả sử các phản ứng xảy ra hoàn toàn. Phần trăm khối lượng mỗi chất trong hỗn hợp ban đầu là
A. 64,29% glucozơ và 35,71% tinh bột.
B. 64,71% glucozơ và 35,29% tinh bột.
C. 35,29% glucozơ và 64,71% tinh bột.
D. 35,71% glucozơ và 64,29% tinh bột.
ĐÁP ÁN ĐỀ 2
Câu 1: Đáp án B
C6H5COOCH2CH=CH2 + NaOH → C6H5COONa + CH2=CH-CH2OH
CH2=CHCH2COOC6H5 + 2NaOH → CH2=CHCOONa + C6H5ONa + H2O
CH3COOCH=CHC6H5 + NaOH → CH3COONa + C6H5CH2CHO
C6H5CH2COOCH=CH2 + NaOH → C6H5CH2COONa + CH3CHO
Câu 2: Đáp án B
Đáp án B sai vì metyl fomat là este của axit fomic.
Câu 3: Đáp án D
Các chất tham gia phản ứng tráng gương là: glucozơ và mantozơ.
Câu 4: Đáp án B
Đáp án A sai vì C2H5Cl < C2H5OH < CH3COOH.
Đáp án B thỏa mãn.
Đáp án C sai vì NH3 < CH3OH < CH3CH2OH < HCl
Đáp án D sai vì C2H5F < CH3OH < HCOOH < CH3COOH
Câu 5: Đáp án D
Este mạch hở X có CTPT là C4H6O2 (k = π + v = 2)
Các đồng phân thỏa mãn gồm HCOOCH=CH-CH3(1), HCOOCH2-CH=CH2 (2), HCOOC(CH3)=CH2(3), CH3COOCH=CH2 (4), CH2=CH-COOCH3 (5)
Chú ý (1) có đồng phân hình học. Vậy có 6 đồng phân thỏa mãn.
Câu 6: Đáp án B
Xenlulozơ không tác dụng với H2/Ni, toC.
Câu 7: Đáp án C
Dùng Cu(OH)2 để phân biệt anđehit axetic (anđehit axetic không hòa tan được Cu(OH)2 ở điều kiện thường còn saccarozơ và glucozơ hòa tan được Cu(OH)2 ở ngay điều kiện thường tạo dung dịch màu xanh lam).
Dùng AgNO3/NH3 để phân biệt glucozơ do có phản ứng tráng gương, còn saccarozơ thì không.
Câu 8: Đáp án B
Glucozơ phản ứng với Cu(OH)2 ở nhiệt độ thường tạo phức đồng xanh ⇒ chứng tỏ glucozo có nhiều nhóm hiđroxyl.
Chú ý: Glucozơ phản ứng với Na chỉ chứng minh trong phân tử có H linh động
Glucozơ phản ứng AgNO3/NH3, Cu(OH)2 trong NaOH đun nóng chứng tỏ glucozơ có nhóm -CHO.
Câu 9: Đáp án C
Có 5 chất thỏa mãn là etyl axetat, axit acrylic, phenol, phenyl amoni clorua, p-crezol.
Câu 10: Đáp án A
Nhận thấy C3H7OH, CH3COOH, C2H5COOH là hợp chất có liên kết hiđro (nhóm I), HCOOCH3 và CH3COOCH3 là hợp chất không có liên kết hiđro (nhóm II)
→ ts của nhóm I > ts của nhóm II.
So sánh các chất trong nhóm I:
+ Trong - COOH có nhóm C=O làm liên kết hiđro của các hợp chất có nhóm COOH bền hơn → ts(CH3COOH, C2H5COOH) > ts (C3H7OH)
+ C2H5COOH có phân tử khối lớn hơn CH3COOH → ts (C2H5COOH) > ts (CH3COOH)
So sánh các chất trong nhóm II.
CH3COOCH3 có phân tử khối lớn hơn HCOOCH3
→ ts CH3COOCH3 > t HCOOCH3
Vậy nhiệt độ sôi sắp xếp theo thứ tự HCOOCH3 < CH3COOCH3 < C3H7OH < CH3COOH < C2H5COOH.
Câu 11: Đáp án C
C12H22O11 + H2O → C6H12O6(glucozơ) + C6H12O6 (fructozơ)
Ta có:

Câu 12: Đáp án B
Thuốc súng không khói có thành phần xenlulozo nitrat ⇒ X là xenlulozơ
Thuốc súng không khói ← Xenlulozơ
glucozơ
Sobitol
Câu 13: Đáp án B
nX = nNaOH = 0,15 mol → MX = 13,2 : 0,15 = 88 → X là C4H8O2.
Có 4 CTCT thỏa mãn là HCOOCH2CH2CH3, HCOOCH(CH3)2, CH3COOCH2CH3, CH3CH2COOCH3.
Câu 14: Đáp án B
Glucozơ là monosaccarit, là nhóm cacbohiđrat đơn giản nhất, không thể thủy phân được ⇒ loại A
Saccarozơ không có nhóm –OH hemiaxetal nên không có khả năng mở vòng tạo nhóm –CHO ⇒ Saccarozơ không phản ứng với dd AgNO3/NH3 và Cu(OH)2 đun nóng ⇒ Loại C
Xenlulozơ là poliancol, tuy còn nhiều nhóm –OH kề nhau nhưng trong cấu trúc polime, nhóm –OH mất linh động nên không tác dụng với Cu(OH)2 tạo dung dịch màu xanh lam ⇒ Loại D
Câu 15: Đáp án B
Những chất tham gia phản ứng thủy phân gồm đisaccarit và polisaccarit
Vậy Y: Saccarozơ; Z: Tinh bột; H: Xenlulozơ bị thủy phân.
Câu 16: Đáp án B
Trong phản ứng tráng gương cứ 1 mol glucozơ → 2 mol Ag
nglucozơ = 0,15 mol ⇒ nAg = 0,3 mol
⇒ mAg = 0,3.108 = 32,4g.
Câu 17: Đáp án C
nglucozơ = 27:180 = 0,15 mol
6CO2 + 6H2O -as→ C6H12O6 + 6O2
⇒ nCO2 cần = 0,15.6 = 0,9 mol

Câu 18: Đáp án B
Muối Y + NaOH
CH2=CH2
Mà X có CTPT là C4H6O2⇒ Y là CH2=CHCOONa.
⇒ X là CH2=CHCOOCH3⇒ Chọn B.
CH2=CHCOOCH3 + NaOH → CH2=CHCOONa (Y) + CH3OH
CH2=CHCOONa + NaOH
CH2=CH2 + Na2CO3.
Câu 19: Đáp án C
nmantozo = 171 : 342 = 0,5 mol
Mantozơ
2 Glucozơ
H = 50% ⇒ nglucozơ = 0,5.2.50%= 0,5 mol
nmantozơ dư = 0,5.0,5 = 0,25 mol
nAg = 2nglucozơ + 2nmantozơ = 2.0,5 + 2.0,25 = 1,5
⇒ mAg = 1,5.108 = 162g.
Câu 20: Đáp án A
Vì E là este đa chức nên T là axit đa chức → C3H6 phải là xiclopropan (nếu là anken thì không thể tạo hợp chất đa chức)
C3H6 (xiclopropan)
CH2Br-CH2-CH2Br
CH2OH-CH2-CH2OH
HOC-CH2-CHO
HOOC-CH2-COOH
CH3OOC-CH2-COOCH3
Câu 21: Đáp án D
Đáp án A loại vì C2H5-COOH (Y) không tham gia phản ứng tráng bạc.
Đáp án B loại vì OHC-CH2-CHO (Z) không tác dụng được với dung dịch NaOH.
Đáp án C loại vì CH3COOCH3 (X) không tham gia phản ứng tráng bạc.
Đáp án D thỏa mãn.
Câu 22: Đáp án B
Khối lượng tinh bột có trong 1kg khoai là 0,2kg
(C6H10O5)n + nH2O
nC6H12O6 (H = 75%)

mC6H12O6 = 0,926.180 = 166,6g
Câu 23: Đáp án B
nAg = 0,2
Nếu chỉ có 1 chất (Y hoặc Z) tác dụng với AgNO3:

Nếu cả Y và Z đều tác dụng

Do cả 2 chất đều tác dụng nên CTCT của X là:
Câu 24:
[C6H7O2(OH)3]n + 3n HNO3
[C6H7O2(ONO2)3]n + 3n H2O (H = 90%)
Với H = 90%

Câu 25: Đáp án C
nNaOH = 0,05 mol.
Giả sử muối là RCOONa
nRCOONa = 0,05 mol ⇒ MRCOONa = 4,1 : 0,05 = 82 ⇒ MR = 15 ⇒ Muối là CH3COONa
Vậy X là CH3COOCH=CH2.
Đáp án A sai vì X không có phản ứng tráng bạc.
Đáp án B sai vì X không làm quỳ tím đổi màu.
Đáp án C thỏa mãn.
Đáp án D sai vì X không có phản ứng tráng bạc nhưng làm mất màu nước brom
Câu 26: Đáp án D
Dùng Cu(OH)2 để phân biệt C3H7OH, CH3CHO khi đun nóng CH3CHO tạo chất kết tủa màu đỏ gạch; C3H7OH không hiện tượng.
Câu 27: Đáp án D
Z + Cu(OH)2 → 0,05 mol ↓Cu2O
Vậy Z là anđehit (Z có số C ≥ 2 vì Z là sản phẩm của phản ứng thủy phân X)
⇒ nZ = 0,05 mol.
nX = nZ = 0,05 mol ⇒ MX = 4,3 : 0,05 = 86 ⇒ X là C4H6O2.
Mà X không tham gia phản ứng tráng bạc ⇒ X là CH3COOCH=CH2
⇒ mCH3COONa = 0,05 x 82 = 4,1 gam.
Câu 28: Đáp án C
0,1 mol este X + 0,3 mol NaOH ⇒ X là este 3 chức.
6,35 gam X + 0,075 mol NaOH ⇒ 7,05 gam muối
nX = 0,075 : 3 = 0,025 mol, nancol = 0,025 mol
Theo BTKL: mancol = 6,35 + 3 - 7,05 = 2,3 gam
⇒ Mancol = 2,3 : 0,025 = 92 ⇒ glyxerol
⇒ X có dạng (RCOO)3C3H5
MX = 6,35 : 0,025 = 254 ⇒ MR = 27 ⇒ R là C2H3-
Vậy X là (C2H3COO)3C3H5
Câu 29: Đáp án D
Đáp án A loại vì HOOC-C6H4-CH=CH2 (X) tác dụng với NaOH cho hai muối và một nước.
• Đáp án B loại vì C6H5-CH=CH-COOH (Y) tác dụng với NaOH dư cho 1 muối và nước.
• Đáp án C loại vì HCOO-C6H4-CH=CH2 (X) tác dụng với NaOH cho hai muối và một nước;
HCOOCH=CH-C6H4 (Y) tác dụng với NaOH dư cho một muối và 1 anđehit.
• Đáp án D thỏa mãn.
C6H5COOCH=CH2 (X) + NaOH → C6H5COONa + CH3CHO
CH2=CH-COOC6H5 + 2NaOH → CH2=CH-COONa + C6H5ONa + H2O.
Câu 30: Đáp án D
Phần 1: chỉ có glucozơ tham gia phản ứng tráng gương

⇒ nglucozo = 1/2 nAg = 0,01 mol
Phần 2:

Sở Giáo dục và Đào tạo .....
Đề thi khảo sát chất lượng đầu năm
Năm 2025
Bài thi môn: Hóa học 12
Thời gian làm bài: phút
(Đề thi số 3)
Câu 1: Dãy gồm các chất đều tác dụng với Cu(OH)2 là
A. Glucozơ, glixerin, mantozơ, axit axetic
B. Glucozơ, glixerin, mantozơ, natri axetat
C. Glucozơ, glixerin, anđehitfomic, natri axetat.
D. Glucozơ, glixerin, mantozơ, ancol etylic.
Câu 2: Hợp chất CH3(CH2)7CH=CH(CH2)7COOCH3 có tên gọi là
A. Metyl oleat
B. Metyl panmitat
C. Metyl stearat
D. Metyl acrylat
Câu 3: Ở trạng thái sinh lí bình thường, glucozơ trong máu người chiếm một tỉ lệ không đổi là:
A. 1,0 % B. 0,01 %
C. 0,1 % D. 10 %
Câu 4: Mệnh đề không đúng là
A. CH3CH2COOCH=CH2 cùng dãy đồng đẳng với CH2=CHCOOCH3.
B. CH3CH2COOCH=CH2 tác dụng với dung dịch NaOH thu được anđehit và muối.
C. CH3CH2COOCH=CH2 tác dụng được với dung dịch Br2.
D. CH3CH2COOCH=CH2 có thể trùng hợp tạo polime.
Câu 5: Glucozơ có ứng dụng nào sau đây: (1) tiêm truyền ; (2) sản xuất kính xe ; (3) tráng gương ; (4) tráng ruột phích ; (5) nguyên liệu sản xuất ancol etylic?
A. (1) ; (3) ; (4) ; (5)
B. (3) ; (4) ; (5)
C. (1) ; (3) ; (4)
D. (1) ; (2) ; (3) ; (4)
Câu 6: Phát biểu đúng là
A. Phản ứng thủy phân este trong môi trường axit là phản ứng thuận nghịch.
B. Phản ứng giữa axit và ancol khi có H2SO4 đặc là phản ứng một chiều.
C. Tất cả các este phản ứng với dung dịch kiềm luôn thu được sản phẩm cuối cùng là muối và ancol.
D. Khi thủy phân chất béo luôn thu được C2H4(OH)2.
Câu 7: Nhóm chất đều tác dụng với dung dịch AgNO3/NH3 là
A. C3H5(OH)3, glucozơ, CH3CHO, C2H2
B. C2H2, C2H4, C2H6, HCHO
C. Glucozơ, C2H2, CH3CHO, HCOOH
D. C2H2, C2H5OH, glucozơ, HCOOH
Câu 8: Dãy gồm các chất tham gia phản ứng thuỷ phân (trong điều kiện thích hợp) là
A. protit, glucozơ, sáp ong, mantozơ.
B. poli stiren, tinh bột, steroit, saccarozơ.
C. xenlulozơ, mantozơ, fructozơ.
D. xenlulozơ, tinh bột, chất béo
Câu 9: Cho sơ đồ sau: glucozơ → X → Y → anđehit axetic. Tên của Y là:
A. anđehit fomic B. etilen
C. axit propionic D. etanol
Câu 10: Khẳng định nào sau đây đúng?
A. Saccarozơ và mantozơ là đồng phân của nhau
B. Tinh bột và xenlulozơ là đồng phân của nhau
C. Fructozơ khong tham gia phản ứng tráng bạc trong dung dịch AgNO3 trong NH3
D. Saccarozơ và mantozơ không cho phản ứng thủy phân
Câu 11: Cho 10,2 gam một este đơn chức X tác dụng vừa đủ với 40 gam dung dịch NaOH 15%. Số đồng phân cấu tạo thỏa mãn điều kiện trên của X là
A. 3 B. 4
C. 5 D. 6
Câu 12: Glucozơ có thể tạo ra este chứa 5 gốc axit trong phân tử. Este chứa 5 gốc axit axetic của glucozơ có công thức phân tử nào dưới đây:
A. C16H22O11 B. C16H24O12
C. C16H24O10 D. C11H10O8
Câu 13: Thuỷ phân chất hữu cơ X trong dung dịch NaOH (dư), đun nóng, thu được sản phẩm gồm 2 muối và ancol etylic. Chất X là
A. CH3COOCH2CH3.
B. CH3COOCH2CH2Cl.
C. CH3COOCH(Cl)CH3.
D. ClCH2COOC2H5.
Câu 14: Cho glixerin trioleat (hay triolein) lần lượt vào mỗi ống nghiệm chứa riêng biệt: Na, Cu(OH)2, CH3OH, dung dịch Br2, dung dịch NaOH. Trong điều kiện thích hợp, số phản ứng xảy ra là
A. 4 B. 2
C. 3 D. 5
Câu 15: Hợp chất hữu cơ mạch hở X có công thức phân tử C6H10O4. Thuỷ phân X tạo ra hai ancol đơn chức có số nguyên tử cacbon trong phân tử gấp đôi nhau. Công thức của X là
A. CH3OCO-CH2-COOC2H5.
B. C2H5OCO-COOCH3.
C. CH3OCO-COOC3H7.
D. CH3OCO-CH2-CH2-COOC2H5.
Câu 16: Số đồng phân este ứng với công thức phân tử C4H8O2 là
A. 6. B. 5.
C. 2. D. 4.
Câu 17: Khi thêm vôi vào nước mía sẽ làm kết tủa các axit hữu cơ, các protit. Khi ấy saccarozơ biến thành canxi saccarat tan trong nước. Trước khi tẩy màu dung dịch bằng SO2 người ta sục khí CO2 vào dung dịch nhằm
A. Tạo môi trường axit.
B. Trung hoà lượng vôi dư.
C. Chuyển hóa saccarat thành saccarozơ.
D. Cả B và C.
Câu 18: Cho các phát biểu sau:
(1) Nguyên nhân làm dầu mỡ bị ôi thiu là do các liên kết pi trong gốc hiđrocacbon của axit béo không no.
(2) Các triglixerit chứa chủ yếu các gốc axit béo no thường là chất lỏng ở nhiệt độ thường
(3) Thủy phân este trong môi trường axit luôn là phản ứng thuận nghịch.
(4) Các este đều có nhiệt độ sôi cao hơn axit có cùng số nguyên tử cacbon.
(5) Các chất béo đều không tan trong nước nhưng tan nhiều trong các dung môi hữu cơ.
(6) Cho metyl axetat hoặc tristearin vào dung dịch NaOH đun nóng đều xảy ra phản ứng xà phòng hóa.
Số phát biểu đúng là
A. 5 B. 4
C. 3 D. 2
Câu 19: Glucozơ lên men thành ancol etylic, toàn bộ khí sinh ra được dẫn vào dung dịch Ca(OH)2 dư tách ra 40 gam kết tủa, biết hiệu suất lên men đạt 75%. Khối lượng glucozơ cần dùng là
A. 24 gam B. 40 gam
C. 50 gam D. 48 gam
Câu 20: Cho glixerol tác dụng với hỗn hợp ba axit C17H35COOH, C17H33COOH và C15H31COOH. Số loại trieste có thể được tạo thành chứa hai gốc axit trong số ba axit béo trên là
A. 9 B. 6
C. 12 D. 10
Câu 21: Lượng glucozơ dùng để tạo ra 1,82 gam sobitol với hiệu suất 80% là
A. 2,250 gam B. 1,440 gam
C. 1,125 gam D. 2,880 gam
Câu 22: Cho 10 gam chất X (chỉ chứa nhóm chức este có phân tử khối là 100 đvC) tác dụng với 150 ml dung dịch NaOH 1M. Sau phản ứng, cô cạn dung dịch thu được 11,6 gam chất rắn khan và một chất hữu cơ Y. Công thức của Y là
A. CH3OH. B. C2H5OH.
C. CH3CHO. D. CH3COCH3.
Câu 23: Đem glucozơ lên men điều chế ancol etylic (khối lượng riêng của ancol etylic nguyên chất là 0,8 g/ml), hiệu suất phản ứng lên men ancol etylic là 75%. Để thu được 80 lít rượu vang 120 thì khối lượng glucozơ cần dùng là
A. 24,3 (kg) B. 20(kg)
C. 21,5(kg) D. 25,2(kg).
Câu 24: Cho các phát biểu sau:
(a) Chất béo được gọi chung là triglixerit hay triaxylglixerol.
(b) Chất béo nhẹ hơn nước, không tan trong nước nhưng tan nhiều trong dung môi hữu cơ.
(c) Phản ứng thủy phân chất béo trong môi trường axit là phản ứng thuận nghịch.
(d) Tristearin, triolein có công thức lần lượt là: (C17H35COO)3C3H5, (C17H33COO)3C3H5.
Số phát biểu đúng là
A. 4 B. 1
C. 3 D. 2
Câu 25: Lên men 162 gam tinh bột với hiệu suất các quá trình lên men lần lượt là 80% và 90%. Biết khối lượng riêng của C2H5OH nguyên chất là 0,8 g/ml. Thể tích dung dịch rượu 40o thu được là
A. 115 ml. B. 230 ml.
C. 207 ml. D. 82,8 ml.
Câu 26: Este X có các đặc điểm sau:
- Đốt cháy hoàn toàn X tạo thành CO2 và H2O có số mol bằng nhau;
- Thuỷ phân X trong môi trường axit được chất Y (tham gia phản ứng tráng gương) và chất Z (có số nguyên tử cacbon bằng một nửa số nguyên tử cacbon trong X).
Phát biểu không đúng là
A. Chất X thuộc loại este no, đơn chức.
B. Đốt cháy hoàn toàn 1 mol X sinh ra sản phẩm gồm 2 mol CO2 và 2 mol H2O.
C. Chất Y tan vô hạn trong nước.
D. Đun Z với dung dịch H2SO4 đặc ở 170oC thu được anken.
Câu 27: Chia 200 gam dung dịch hỗn hợp glucozơ và fructozơ thành hai phần bằng nhau:
• Phần 1: Tác dụng với dung dịch AgNO3 trong NH3 dư thu được 86,4 gam Ag kết tủa
• Phần 2: Phản ứng vừa hết với 28,8 gam Br2 trong dung dịch.
Nồng độ phần trăm của fructozơ trong dung dịch ban đầu là
A. 39,6 % B. 16,2 %
C. 25,5 % D. 33,3 %
Câu 28: Cho chất X tác dụng với một lượng vừa đủ dung dịch NaOH, sau đó cô cạn dung dịch thu được chất rắn Y và chất hữu cơ Z. Cho Z tác dụng với AgNO3 trong dung dịch NH3 thu được chất hữu cơ T. Cho chất T tác dụng với dung dịch NaOH lại thu được chất Y. Chất X có thể là
A. HCOOCH3.
B. HCOOCH=CH2.
C. CH3COOCH=CH-CH3.
D. CH3COOCH=CH2.
Câu 29: Từ 180 gam glucozơ, bằng phương pháp lên men rượu, thu được a gam ancol etylic (hiệu suất 80%). Oxi hoá 0,1a gam ancol etylic bằng phương pháp lên men giấm, thu được hỗn hợp X. Để trung hoà hỗn hợp X cần 720 ml dung dịch NaOH 0,2M. Hiệu suất quá trình lên men giấm là
A. 80% B. 10%
C. 90% D. 20%
Câu 30: Chất X có công thức phân tử CxHyOz. Cho X tác dụng với NaOH thu được Y và Z. Biết Z không tác dụng được với Na và có sơ đồ chuyển hóa sau:

Thành phần phần trăm theo khối lượng của cacbon trong X là
A. 55,81%. B. 48,65%.
C. 40,00%. D. 54,55%.
ĐÁP ÁN ĐỀ 3
Câu 1: Đáp án A
Nhận thấy muối natri axetat và ancol etylic không phản ứng với Cu(OH)2
Câu 2: Đáp án A
Giả sử este là RCOOR'.
Tên este gồm: tên gốc hiđrocacbon R' + tên anion gốc axit (đuôi "at")
Metyl oleat là CH3(CH2)7CH=CH(CH2)7COOCH3
Metyl panmitat là CH3(CH2)14COOCH3
Metyl stearat là CH3(CH2)16COOCH3
Metyl acrylat là CH2=CHCOOCH3.
Câu 3: Đáp án C
SGK Nâng cao trang 27 có đề cập là trong máu người trạng thái sinh lí bình thường có một lượng nhỏ glucozơ, hầu như không đổi, nồng độ khoảng 0,1%.
Câu 4: Đáp án A
Đáp án A sai. CH3CH2COOCH=CH2 có nối đôi gắn vào gốc hiđrocacbon còn CH2=CHCOOCH3 có nối đôi gắn vào anion gốc axit nên không cùng dãy đồng đẳng.
Đáp án B đúng. CH3CH2COOCH=CH2 + NaOH → CH3CH2COONa + CH3CHO
Đáp án C đúng. CH3CH2COOCH=CH2 + Br2 → CH3CH2COOCHBr-CH2Br
Đáp án D đúng. nCH3CH2COOCH=CH2
-(-CH(OCOCH2CH3)-CH2-)n-.
Câu 5: Đáp án C
Glucozơ được dùng làm tiêm truyền (có trong dung dịch truyền cho bệnh nhân)
tráng gương và tráng ruột phích dựa trên phản ứng tráng gương, là sản phẩm trung gian để sản xuất ancol etylic từ tinh bột và xenluluzơ, chứ thực tế không lấy trực tiếp glucozơ để sản xuất ancol etylic.
Câu 6: Đáp án A
Đáp án A đúng.
Đáp án B sai vì phản ứng giữa axit và ancol khi có H2SO4 đặc là phản ứng thuận nghịch.
Đáp án C sai vì ví dụ: este CH3COOCH=CH2 phản ứng với dung dịch kiềm thu được sản phẩm cuối cùng là muối và anđehit.
Đáp án D sai vì khi thủy phân chất béo luôn thu được C3H5(OH)3.
Câu 7: Đáp án C
Nhận thấy C3H3(OH)3, C2H4, C2H5OH không tham gia phản ứng với dung dịch AgNO3/NH3.
Chú ý: Glucozơ, CH3CHO, HCOOH tham gia phản ứng tráng bạc, C2H2 tham gia phản ứng thế với dung dịch AgNO3/NH3.
Câu 8: Đáp án D
Nhận thấy glucozơ, fructozơ, poli stiren không tham gia phản ứng thủy phân.
Câu 9: Đáp án B
Sơ đồ phản ứng :
C6H12O6
C2H5OH
C2H4
CH3CHO
Câu 10: Đáp án A
Nhận thấy tinh bột và xenlulozơ có công thức tổng quát giống nhau (C6H10O5)n nhưng công thức phân tử khác nhau (do hệ số n khác nhau) ⇒ Loại B
Trong môi trường AgNO3 trong NH3 fructozơ chuyển hóa thành glucozơ nên fructozơ tham gia phản ứng tráng bạc ⇒ Loại C.
Saccarozơ và mantozơ là đisaccarit tham gia phản ứng thủy phân tạo monosacarit ⇒ Loại D
Câu 11: Đáp án B
Ta có nNaOH = 0,15 mol
Nếu X là este đơn chức của phenol ⇒ nX = 0,5nNaOH = 0,075 mol ⇒ MX = 136 (C8H8O2)
Các đồng phân thỏa mãn là HCOOC6H5-CH3 (o,p,m) và CH3COOC6H5
Nếu X là este đơn chức không chứa gốc phenol ⇒ nX = nNaOH = 0,15 mol ⇒ MX = 68. Không tìm được este đơn chức thỏa mãn.
Câu 12: Đáp án A
Phương trình phản ứng:
C6H7O(OH)5 + 5(CH3CO)2O → C6H7O(OOCCH3)5 (hay C16H22O11) + 5CH3COOH.
Ghi chú: (CH3CO)2O: anhiđrit axetic.
Câu 13: Đáp án D
CH3COOCH2CH3 + NaOH → CH3COONa + CH3CH2OH
CH3COOCH2CH2Cl + 2NaOH -to→ CH3COONa + NaCl + C2H4(OH)2
CH3COOCH(Cl)CH3 + 2NaOH → CH3COONa + NaCl + CH3CHO + H2O
ClCH2COOC2H5 + 2NaOH → HOCH2COOH + NaCl + CH3CH2OH
⇒ X thỏa mãn là ClCH2COOC2H5.
Câu 14: Đáp án B
Trong điều kiện thích hợp, triolein phản ứng được với Br2 và NaOH:
(C17H33COO)3C3H5 + 3Br2 → (C17H33Br2COO)3C3H5
(C17H33COO)3C3H5 + 3NaOH → 3C17H33COONa + C3H5(OH)3
Câu 15: Đáp án A
C6H10O4 có độ bất bão hòa 
Thủy phân X thu được 2 ancol đơn chức→ X là este hai chức.
Hai ancol có số C gấp đôi nhau → C1 và C2 (dựa vào đáp án)
→ X là CH3OCO-COOC2H5
Câu 16: Đáp án D
HCOO-CH2-CH2-CH3
HCOO-CH(CH3)-CH3
CH3COO-CH2-CH3
C2H5COO-CH3
⇒ Có 4 đồng phân.
Câu 17: Đáp án D
C12H22O11 + Ca(OH)2 → C12H22O11.CaO.H2O
C12H22O11.CaO.H2O + CO2 → C12H22O11 + CaCO3↓ + 2H2O
CO2 + Ca(OH)2 → CaCO3↓ + H2O
Câu 18: Đáp án B
Nguyên nhân làm dầu mỡ bị ôi thiu là do liên kết πC=C bị oxi hóa chậm bởi oxi không khí tạo thành peoxit, chất này bị phân hủy thành các sản phẩm có mùi khó chịu → (1) đúng
Các triglixerit chứa chủ yếu các gốc axit béo no thường là chất rắn ở nhiệt độ thường → (2) sai
Phản ứng thủy phân este trong axit là thuận nghịch, phản ứng thủy phân trong môi trường kiềm là phản ứng 1 chiều → (3) đúng
Các axit tồn tại liên kết hiđro, este không chứa liên kết hiđro nên các este đều có nhiệt độ sôi thấp hơn axit có cùng số nguyên tử cacbon → (4) sai
Chất béo là trieste của glixerol và axit béo → chất béo là hợp chất không phân cực, không tan trong nước nhưng tan nhiều trong các dung môi hữu cơ → (5) đúng
Phản ứng thủy phân este trong môi trường kiềm là phản ứng xà phòng hóa → (6) đúng
Câu 19: Đáp án D
C6H12O6
2C2H5OH + 2CO2↑
CO2 + Ca(OH)2 → CaCO3↓ + H2O.
Ta có nCO2 = nCaCO3 = 0,4 mol
H = 75%

Câu 20: Đáp án C
Chọn 2 trong 3 axit có = 3 cách chọn
Có 4 cách sắp xếp trieste tạo bởi axit A,B và glixerol.
( A – A - B, A – B - A, B – B - A, B – A - B)
Số loại trieste có thể được tạo thành chứa hai gốc axit trong số ba axit béo trên là: 3. 4 = 12.
Câu 21: Đáp án A
CH2OH[CHOH]4CHO + H2
CH2OH[CHOH]4CH2OH (H = 80%)
Với H = 80% thì nglucozơ = nsobitol/80% = 0,0125 mol
⇒ mglucozơ = 0,0125.180 = 2,25 gam.
Câu 22: Đáp án C
Ta có MX = 100 ⇒ X có công thức phân tử C5H8O2
Ta có nX = 10 : 100 = 0,1 mol < nNaOH = 0,15 mol
⇒ chất rắn khan chứa muối RCOONa : 0,1 mol và NaOH dư: 0,05 mol
⇒ 0,1. (R + 67) + 0,05. 40 = 11,6 ⇒ R = 29 (C2H5)
Vậy X có công thức C2H5COOCH=CH2. Khi thủy phân X thu được C2H5COONa và CH3CHO
Câu 23:
Phương trình phản ứng:
C6H12O6
2C2H5OH + 2CO2 (H = 75%).
Ta có: mC2H5OH = V.d = (80.103.12%).0,8 = 7680 g

Với H = 75% thì

mglucozơ = 111,3.180 = 20034 g = 20,034 kg.
Câu 24: Đáp án A
Câu 25: Đáp án C
(C6H10O5)n → nC6H12O6 → 2nC2H5OH .
Hiệu suất toàn bộ quá trình là H = 80%.90%.100% = 72%

Thể tích rượu C2H5OH 40o là:

Câu 26: Đáp án D
Đốt cháy X tạo thành CO2 và H2O có số mol bằng nhau ⇒ X là este no, đơn chức.
Thủy phân X trong môi trường axit được chất Y tham gia phản ứng tráng gương ⇒ Y là HCOOH.
Z có số nguyên tử C bằng một nửa số nguyên tử cacbon trong X ⇒ X là HCOOCH3.
⇒ Đốt cháy 1 mol HCOOCH3 sinh ra sản phẩm gồm 2 mol CO2 và 2 mol H2O.
Y là HCOOH nên tan vô hạn trong nước.
Z là CH3OH nên khi đun với H2SO4 đặc ở 170oC không thu được anken.
Câu 27: Đáp án A
Phần 1:
Nhận thấy cho hỗn hợp glucozơ và fructozơ phản ứng với Br2 thì chỉ có glucozơ tham gia phản ứng → nBr2 = nglucozơ = 0,18 mol.
Phần 2:
Khi tác dụng với AgNO3 trong NH3 dư thì cả glucozơ và fructozơ tham gia phản ứng
⇒ nfructozơ + nglucozơ = 1/2 nAg⇒ nfructozơ = 1/2 .0,8 - 0,18 = 0,22 mol.
Nồng độ phần trăm của fructozơ trong dung dịch ban đầu là

Câu 28: Đáp án D
RCOOR1 + NaOH → RCOONa + R1OH
Z + AgNO3 → T
T + NaOH → Y
Do đó, Z và Y cùng số nguyên tử cacbon trong phân tử.
CH3COOCH=CH2 + NaOH → CH3COONa + CH3CHO
CH3CHO + 2AgNO3 + 4NH3 + H2O → CH3COONH4 + 2Ag↓ + 2NH4NO3.
CH3COONH4 + NaOH → CH3COONa + NH3 + H2O
Câu 29: Đáp án C
Phương trình phản ứng :
C6H12O6
2C2H5OH + 2CO2 (H = 80%)
C2H5OH + O2
CH3COOH + H2O (H1)
CH3COOH + NaOH → CH3COONa + H2O.
H = 80% ⇒ nC2H5OH = 2.nglucozơ.80% = 1,6 mol.
Lên men 0,16 mol ancol etylic thì nC2H5OH pư = nCH3COOH = nNaOH = 0,72.0,2 = 0,144 mol.

Câu 30: Đáp án A
Ankan đơn giản nhất là CH4
Y + NaOH
CH4
Vậy Y là CH3COONa
T + NaOH → CH3COONa (Y). Vậy T là CH3COOH.
Z + O2
CH3COOH (T).
Mà Z không tác dụng với Na → Z là CH3CHO.
X + NaOH → CH3COONa (Y) + CH3CHO (Z)
Vậy X là CH3COOCH=CH2.

Sở Giáo dục và Đào tạo .....
Đề thi khảo sát chất lượng đầu năm
Năm 2025
Bài thi môn: Hóa học 12
Thời gian làm bài: 45 phút
(Đề thi số 4)
Câu 1: Ở động vật, tinh bột được dự trữ dưới dạng glicogen ở trong:
A. Dạ dày B. Máu
C. Gan D. Ruột
Câu 2: Phát biểu nào sau đây sai ?
A. Nhiệt độ sôi của este thấp hơn hẳn so với ancol có cùng phân tử khối.
B. Trong công nghiệp có thể chuyển hoá chất béo lỏng thành chất béo rắn.
C. Số nguyên tử hiđro trong phân tử este đơn và đa chức luôn là một số chẵn.
D. Sản phẩm của phản ứng xà phòng hoá chất béo là axit béo và glixerol.
Câu 3: Trong quá trình sản xuất đường mía, để tẩy màu nước đường người ta dùng khí nào sau đây?
A. CO2 B. HCl
C. SO2 D. Cl2
Câu 4: Số hợp chất là đồng phân cấu tạo, có cùng công thức phân tử C4H8O2, tác dụng được với dung dịch NaOH nhưng không tác dụng được với Na là
A. 3 B. 2
C. 4 D. 1
Câu 5: Tinh bột, xenlulozơ, saccarozơ, mantozơ đều có khả năng tham gia phản ứng
A. hoà tan Cu(OH)2.
B. trùng ngưng.
C. tráng gương.
D. Thủy phân.
Câu 6: Khi đốt cháy hoàn toàn một este no, đơn chức thì số mol CO2 sinh ra bằng số mol O2 đã phản ứng. Tên gọi của este là
A. metyl fomat.
B. etyl axetat.
C. metyl axetat.
D. n-propyl axetat.
Câu 7: Trong quá trình chuyển hoá tinh bột trong cơ thể, chất nào sau đây không phải là sản phẩm của quá trình đó?
A. Đextrin B. Saccarozơ
C. Glicogen. D. Mantozơ.
Câu 8: Cho các dung dịch chứa các chất tan : glucozơ, fructozơ, saccarozơ, mantozơ, axit fomic, glixerol, vinyl axetat, anđehit fomic. Những dung dịch vừa hoà tan Cu(OH)2 ở nhiệt độ thường, vừa làm mất màu nước brom là?
A. glucozơ, mantozơ, axit fomic, vinyl axetat
B. glucozơ, mantozơ, axit fomic
C. glucozơ, mantozơ, fructozơ, saccarozơ, axit fomic
D. fructozơ, vinyl axetat, anđehit fomic, glixerol, glucozơ, saccarozơ
Câu 9: Xenlulozơ được cấu tạo bởi các gốc:
A. α-glucozơ B. α-fructozơ
C. β-glucozơ D. β-fructozơ
Câu 10: Chỉ dùng duy nhất một thuốc thử nào dưới đây có thể phân biệt được 4 lọ mất nhãn chứa các chất sau: dung dịch glucozơ ; ancol etylic ; glixerol và anđehit axetic.
A. Cu(OH)2 B. Na
C. NaOH D. Ag2O/NH3
Câu 11: Nhận xét nào sau đây đúng về độ ngọt của glucozơ và fructozơ so với đường mía?
A. Cả hai đều ngọt hơn.
B. Cả hai đều kém ngọt hơn.
C. Glucozơ kém hơn, còn fructozơ ngọt hơn.
D. Glucozơ ngọt hơn, còn fructozơ kém ngọt hơn.
Câu 12: Đốt cháy hoàn toàn m gam chất béo X (chứa triglixerit của axit stearic, axit panmitic và các axit béo tự do đó). Sau phản ứng thu được 6,72 lít CO2 (đktc) và 5,22 gam nước. Xà phòng hoá m gam X (H = 90%) thì thu được khối lượng glixerol là
A. 0,414 gam B. 1,242 gam
C. 0,828 gam D. 0,46 gam
Câu 13: Những chất nào có phản ứng với Cu(OH)2 tạo dung dịch màu xanh lam?
A. Glucozơ và Fructozơ
B. Glucozơ và OH-CH2-CH2-CH2-OH
C. Fructozơ và ancol etylic
D. Glixerin và OH-CH2 -CH=CH2
Câu 14: Cho các chất sau: axit propionic (X), axit axetic (Y), ancol etylic (Z) và etyl propionat (T). Dãy gồm các chất được sắp xếp theo chiều tăng của nhiệt độ sôi là ?
A. Y, T, X, Z.
B. T, X, Y, Z.
C. T, Z, Y, X.
D. Z, T, Y, X.
Câu 15: Rót H2SO4 đặc vào cốc đựng chất A màu trắng thấy A dần dần chuyển sang màu vàng, sau đó chuyển sang màu nâu và cuối cùng thành một khối đen xốp, bị bọt khí đẩy lên miệng cốc. A là chất nào trong các chất sau:
A. NaCl B. CO2 rắn
C. Saccarozơ D. CuSO4 khan
Câu 16: Cho dãy các chất: phenyl axetat, metyl benzoat, metyl metacrylat, anlyl axetat, metyl axetat, etyl fomat, triolein, vinyl axetat, tristearin. Số chất trong dãy khi thủy phân trong dung dịch NaOH loãng (dư), đun nóng sinh ra ancol là
A. 6. B. 7.
C. 5. D. 8.
Câu 17: Từ ancol etylic và các chất vô cơ cần thiết, ta có thể điều chế trực tiếp ra các chất nào sau đây ?
(1). Axit axetic; (2). Axetanđehit; (3). Buta-1,3-đien; (4). Etyl axetat.
A. (1), (2) và (3)
B. (1), (2) và (4)
C. (1), (3) và (4)
D. (1), (2), (3) và (4)
Câu 18: Hợp chất hữu cơ X có trong tự nhiên, khi tác dụng với hỗn hợp HNO3 và H2SO4 đặc, đun nóng tạo ra hợp chất hữu cơ Y rất dễ cháy, nổ mạnh có ứng dụng làm thuốc súng không khói. Vậy X là
A. Toluen B. Tinh bột
C. Phenol D. Xenlulozơ
Câu 19: Có các nhận định sau:
(1) Axit salixylic còn có tên gọi khác là axit o-hiđroxibenzoic
(2) Axit oleic và axit linoleic là đồng phân của nhau
(3) Axit axetyl salixylic tác dụng được với dung dịch NaOH theo tỉ lệ 1:2 về số mol
(4) Khi thủy phân chất béo luôn thu được glixerol.
Số nhận định sai là
A. 1 B. 4
C. 2 D. 3
Câu 20: Cho 2,5 kg glucozơ chứa 20% tạp chất lên men thành ancol etylic. Lượng ancol etylic thu được là bao nhiêu nếu ancol bị hao hụt mất 10% trong quá trình sản xuất?
A. 2 kg B. 0,92 kg
C. 1,8 kg D. 0,46 kg
Câu 21: Thuỷ phân este Z trong môi trường axit thu được hai chất hữu cơ X và Y (MX < MY). Bằng một phản ứng có thể chuyển hoá X thành Y. Chất Z không thể là
A. metyl propionat.
B. metyl axetat.
C. etyl axetat.
D. vinyl axetat.
Câu 22: Các khí sinh ra trong thí nghiệm phản ứng của saccarozơ với dung dịch H2SO4 đặc bao gồm:
A. H2S và CO2. B. H2S và SO2.
C. SO3 và CO2. D. SO2 và CO2
Câu 23: Xenlulozơ trinitrat là chất dễ cháy và nổ mạnh, được điều chế từ xenlulozơ và axit nitric. Thể tích axit nitric 99,67% có d = 1,52g/ml cần để sản xuất 59,4 kg xenlulozơ trinitrat nếu hiệu suất đạt 90% là
A. 27,72 lít B. 32,52 lít
C. 26,52 lít D. 11,2 lít
Câu 24: Cho sơ đồ chuyển hoá:

Tên của Z là
A. axit oleic.
B. axit linoleic.
C. axit stearic.
D. axit panmitic.
Câu 25: Xà phòng hoá một hợp chất có công thức phân tử C10H14O6 trong dung dịch NaOH (dư), thu được glixerol và hỗn hợp gồm ba muối (không có đồng phân hình học). Công thức của ba muối đó là
A. CH2=CH-COONa, CH3-CH2-COONa và HCOONa.
B. HCOONa, CH≡C-COONa và CH3-CH2-COONa.
C. CH2=CH-COONa, HCOONa và CH≡C-COONa.
D. CH3-COONa, HCOONa và CH3-CH=CH-COONa.
Câu 26: Thực hiện phản ứng thủy phân a mol mantozơ trong môi trường axit( Hiệu suất thủy phân là h), sau đó trung hòa axit bằng kiềm rồi cho hỗn hợp sau phản ứng tác dụng với Ag2O dư trong NH3 thu được b mol Ag. Mối liên hệ giữa hiệu suất h với a và b là

Câu 27: Cho 2,07 gam chất hữu cơ X (có công thức phân tử C7H6O3) tác dụng với dung dịch NaOH vừa đủ, sau đó làm khô, phần bay hơi chỉ có nước, phần rắn khan còn lại chứa hỗn hợp hai muối. Nung hai muối này trong oxi dư, thu được 2,385 gam Na2CO3 và m gam hỗn hợp khí và hơi. Số đồng phân cấu tạo của X là
A. 3 B. 2
C. 5 D. 4
Câu 28: Chất hữu cơ X có công thức phân tử C4H6O4 tác dụng với dung dịch NaOH (đun nóng) theo phương trình phản ứng: C4H6O4 + 2NaOH → 2Z + Y.
Để oxi hoá hết a mol Y thì cần vừa đủ 2a mol CuO (đun nóng), sau phản ứng tạo thành a mol chất T (biết Y, Z, T là các hợp chất hữu cơ). Khối lượng phân tử của T là
A. 44 đvC. B. 58 đvC.
C. 82 đvC. D. 118 đvC.
Câu 29: Một hỗn hợp X gồm hai chất hữu cơ đơn chức. Cho X phản ứng vừa đủ với 500 ml dung dịch KOH 1M. Sau phản ứng, thu được hỗn hợp Y gồm hai muối của hai axit cacboxylic và một ancol. Cho toàn bộ lượng ancol thu được ở trên tác dụng với Na (dư), sinh ra 3,36 lít H2 (ở đktc). Hỗn hợp X gồm
A. một axit và một este.
B. một este và một ancol.
C. hai este.
D. một axit và một ancol.
Câu 30: Cho m gam một este E vào một lượng vừa đủ KOH đun nóng thu được dung dịch X. Cô cạn X thu được 16,5 gam muối khan của một axit đơn chức và 6,9 gam một ancol đơn chức Y. Cho toàn bộ Y tác dụng với Na dư thu được 1,68 lít khí (ở đktc). Tên của E là
A. etyl propionat
B. etyl acrylat
C. metyl metacrylat
D. etyl axetat
ĐÁP ÁN ĐỀ 4
Câu 1: Đáp án C
Ở động vật, tinh bột được dự trữ dưới dạng glicogen ở trong gan. Lượng glucozơ trong máu luôn giữ không đổi 0,1% .Lượng glucozơ dư được chuyển về gan nhờ enzim chuyển hóa thành glicogen. Khi nồng độ glucozơ trong máu giảm dưới 0,1% thì glicogen bị thủy phân thành luôn glucozơ.
Câu 2: Đáp án D
Đáp án A đúng vì ancol có liên kết hiđro nên có nhiệt độ sôi cao hơn este có cùng phân tử khối.
Đáp án B đúng. Trong công nghiệp có thể chuyển hóa chất béo lỏng thành chất béo rắn bằng phản ứng hiđro hóa.
Đáp án C đúng. CTC của este là CnH2n+2-2k-2xO2x nên este đơn chức và đa chức luôn là một số chẵn.
Đáp án D sai. Sản phẩm của phản ứng xà phòng hóa chất béo là xà phòng (muối natri hoặc kali của các axit béo) và glixerol.
Câu 3: Đáp án C
Người ta dùng khí SO2 để tẩy màu, còn CO2 để tái tạo lại saccarozơ từ dung dịch đường có lẫn hợp chất của canxi.
Câu 4: Đáp án C
Độ bất bão hòa k = 1.
Các hợp chất tác dụng được với NaOH nhưng không tác dụng được với Na → các đồng phân este.
* Có 4 đồng phân cấu tạo thỏa mãn là:
1. HCOOCH2CH2CH3
2. HCOOCH(CH3)2
3. CH3COOCH2CH3
4. CH3CH2COOCH3
Câu 5: Đáp án D
Tinh bột, xenlulozơ là polisaccarit; saccarozơ, mantozơ là đisaccarit nên đều tham gia phản ứng thủy phân
Câu 6: Đáp án A
Giả sử este có dạng CnH2nO2
Ta có

Ta có:

⇒ C2H4O2⇒ HCOOCH3⇒ metyl fomat
Câu 7: Đáp án B
Quá trình thủy phân tinh bột trong cơ thể :


Câu 8: Đáp án B
Các chất vừa hòa tan được Cu(OH)2 ở nhiệt độ thường và làm mất màu dung dịch brom là: glucozơ; mantozơ; axit fomic.
Câu 9: Đáp án C
Xenlulozơ được cấu tạo bởi các gốc β-glucozơ bằng liên kết β-1,4- glicozit..
Câu 10: Đáp án A
Khi cho các dung dịch glucozơ; rượu etylic; glixerin và anđehit axetic vào Cu(OH)2 thì:
+ Dung dịch glucozơ ở nhiệt độ thường tạo dung dịch phức màu xanh lam, đun nóng tạo kết tủa đỏ gạch Cu2O.
+ Dung dịch glixerin ở nhiệt độ thường và nhiệt độ cao tạo dung dịch phức màu xanh lam
+ Dung dịch anđehit ở nhiệt độ thường không hiện tượng, nhiệt độ cao tạo kết tủa đỏ gạch.
+ Dung dịch etanol không hiện tượng ở nhiệt độ thường và nhiệt độ cao.
Câu 11: Đáp án C
Fructozơ ngọt hơn đường mía còn glucozơ kém ngọt hơn.
Câu 12: Đáp án A
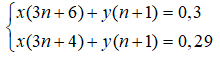
nCO2 = 0,3 mol; nH2O = 0,29 mol
Gọi công thức trung bình của triglixerit và axit tự do là (CnH2n + 1COO)3C3H5 và CnH2n + 1COOH với số mol lần lượt là x, y mol.
Ta có hpt:

⇒ x = 0,005 mol
ntriglixerit = nglixerol = 0,005 mol
H = 90% ⇒ mglixerol = 0,005.92.90% = 0,414 gam.
Câu 13: Đáp án A
Chất trong cấu tạo có các nhóm - OH cạnh nhau thì phản ứng với Cu(OH)2 tạo dung dịch màu xanh lam.
→ ancol etylic, OH-CH2-CH2-CH2-OH, OH-CH2 -CH=CH2 không phản ứng với Cu(OH)2.
Câu 14: Đáp án C
Etyl propionat là hợp chất không chứ liên kết hiđro là chất có nhiệt độ sôi thấp nhất ⇒ nhiệt độ sôi của T < (X, Y, Z)
Do có nhóm – C=O hút e trong phân tử nên X, Y có độ bền liên kết hiđro lớn hơn trong ancol Z → nhiệt độ sôi của Z < (X, Y)
Do MX > MY⇒ nên nhiệt độ sôi của X > Y
Thứ tự nhiệt độ sôi của các chất là T < Z < Y < X.
Câu 15: Đáp án C
Khi rót H2SO4 đặc vào cốc đựng saccarozơ thì saccarozơ sẽ bị oxi hóa tạo ra C (tạo thành 1 khối đen), sau đó C tác dụng với H2SO4 đặc dư tạo ra khí CO2 kết hợp với SO2 đẩy khối đen lên trên miệng cốc.
Câu 16: Đáp án B
Các chất trong dãy khi thủy phân trong dung dịch NaOH loãng (dư), đun nóng sinh ra ancol là: metyl benzoat, metyl metacrylat, anlyl axetat, metyl axetat, etyl fomat, triolein, tristearin
Vậy có 7 chất.
Câu 17: Đáp án A
Từ ancol và các chất vô cơ cần thiết, ta có thể điều chế trực tiếp
(1) CH3COOH: C2H5OH + O2
CH3COOH + H2O
(2) CH3CH2OH + CuO
CH3CHO + Cu + H2O
(3) 2C2H5OH
CH2=CH-CH=CH2 + 2H2O + H2
CH3COOC2H5 điều chế trực tiếp từ C2H5OH và CH3COOH nên không thỏa mãn
Câu 18: Đáp án D
Chất hữu cơ Y là xenlulozơ trinitrat (sản phẩm của xenlulozơ và HNO3) chất dễ cháy nổ, ứng dụng làm thuốc súng không khói.
[C6H7O2(OH)3]n + 3nHNO3(đặc)
[C6H7O2(ONO2)3]n + 3nH2O.
Câu 19: Đáp án C
(2) sai vì axit oleic là C17H33COOH, axit linoleic là C17H31COOH nên hai chất không là đồng phân của nhau.
(3) sai vì axit axetyl salixylic tác dụng được với dung dịch NaOH theo tỉ lệ 1 : 3 về số mol:
o-CH3COO-C6H4-COOH + 3KOH → CH3COOK + KO-C6H4-COOK + 2H2O
(1), (4) đúng.
Ghi chú: Axit salixylic và Axit axetyl salixylic gặp trong bài tập 5 (trang 7) – SGK Hóa học 12 – nâng cao.
Câu 20: Đáp án B
C6H12O6
2C2H5OH + 2CO2.
Khối lượng glucozơ nguyên chất có trong 2,5 kg là mglucozơ = 2,5.80% = 2 kg

Lượng ancol hao hụt mất 10% → Hiệu suất phản ứng là 90%.
Với hiệu suất 90% thì

⇒ mancol etylic = 20. 46 = 920g = 0,92 kg.
Câu 21: Đáp án A
Xét CH3CH2COOCH3
CH3CH2COOCH3 + H2O ⇆ CH3CH2COOH + CH3OH
Tuy nhiên từ CH3OH (X) không thể điều chế CH3CH2COOH (Y) bằng một phản ứng.
• Xét CH3COOCH3
CH3COOCH3 + H2O ⇆ CH3COOH + CH3OH
CH3OH (X) + CO
CH3COOH (Y)
Vậy Z có thể là CH3COOCH3.
• Xét CH3COOCH2CH3
CH3COOCH2CH3 + H2O ⇆ CH3COOH + CH3CH2OH
CH3CH2OH (X) + O2
CH3COOH (Y) + H2O
Vậy Z có thể là CH3COOCH2CH3
• Xét CH3COOCH=CH2
CH3COOCH=CH2 + H2O ⇆ CH3COOH + CH3CHO
2CH3CHO (X) + O2
2CH3COOH (Y)
Vậy Z có thể là CH3COOCH=CH2
Câu 22: Đáp án D
C12H22O11
12C + 11H2O
C + 2H2SO4 đặc → CO2↑ + 2SO2↑ + 2H2O
2 khí thoát ra là SO2 và CO2
Câu 23: Đáp án A
[C6H7O2(OH)3]n + 3nHNO3 đ
[C6H7O2(ONO2)3]n + 3nH2O (H = 90%)

Câu 24: Đáp án C
(C17H33COO)3C3H5 + 3H2
(C17H35COO)3C3H5 (X)
(C17H35COO)3C3H5 + 3NaOH
3C17H35COONa (Y) + C3H5(OH)3
C17H35COONa + HCl → C17H35COOH (Z) + NaCl
Vậy Z là C17H35COOH: axit stearic.
Câu 25: Đáp án A
C10H14O6 có độ bất bão hòa

Vì X là trieste nên trong mạch còn một nối đôi ⇒ loại B, C.
Vì ba muối không có đồng phân hình học ⇒ loại D.
Câu 26: Đáp án B

Câu 27: Đáp án A
Ta có nNa2CO3 = 0,0225 mol → nNaOH = 0,045 mol, nX = 0,015 mol
Thấy nNaOH = 3 nX → X có cấu tạo HCOOC6H4OH (o, m, p)
HCOOC6H4OH + 3NaOH → HCOONa + C6H4(ONa)2 + 2H2O
Câu 28: Đáp án B
C4H6O4 có độ bất bão hòa

Vậy X là đieste no, mạch hở.
Oxi hóa a mol Y cần vừa đủ 2a mol CuO → a mol T. Vậy Y là ancol hai chức.
Vậy X là HCOOCH2CH2OCOH
HCOOCH2CH2OCOH + 2NaOH → 2HCOONa (X) + CH2OH-CH2OH (Y)
CH2OH-CH2OH (Y) + 2CuO -to OHC-CHO (T) + 2Cu + 2H2O
OHC-CHO (T) có M = 58
Câu 29: Đáp án A
Hỗn hợp X gồm hai chất hữu cơ đơn chức.
X + 0,5 mol KOH ⇒ muối của hai axit cacboxylic và một ancol
Ancol + Na dư ⇒ 0,15 mol H2.
nKOH = 0,5 mol
nancol = 2.nH2 = 2.0,15 = 0,3 mol < nKOH
Chỉ có 1 chất phản ứng sinh ra rượu.
Mà thu được 2 muối ⇒ Có một chất là este và 1 chất là axit
Câu 30: Đáp án B
Giả sử E là RCOOR'
Cô cạn X thu được 16,5 gam muối RCOOK và 6,9 gam R'OH
2R'OH (0,15) + 2Na → 2R'ONa + H2 (0,075 mol)
⇒ MR'OH = 6,9 : 0,15 = 46 ⇒ MR' = 29 ⇒ R' là C2H5-.
nRCOOK = nR'OH = 0,15 mol ⇒ MRCOOK = 16,5 : 0,15 = 110 ⇒ MR = 27 ⇒ R là CH2=CH-
X + KOH → CH2=CHCOOK + CH3CH2OH
Vậy X là CH2=CHCOOCH2CH3: etyl acrylat
Sở Giáo dục và Đào tạo .....
Đề thi khảo sát chất lượng đầu năm
Năm 2025
Bài thi môn: Hóa học 12
Thời gian làm bài: 45 phút
(Đề thi số 5)
Câu 1: Benzyl axetat là một este có mùi thơm của hoa nhài. Công thức của benzyl axetat là:
A. C6H5 – COO – CH3.
B. CH3– COO– CH2–C6H5.
C. CH3– COO– C6H5.
D. C6H5– CH2– COO– CH3.
Câu 2: Cho dãy biến hoá: X là
X
Y
Z → K → cao su buna
A. Tinh bột.
B. Etylen.
C. Etyl clorua.
D. Butan.
Câu 3: Este nào sau đây thủy phân cho hỗn hợp 2 chất hữu cơ đều tham gia phản ứng tráng bạc?
A. CH3COOC2H5.
B. CH3COOCH=CH2.
C. HCOOCH2CH=CH2.
D. HCOOCH=CH– CH3.
Câu 4: Cho 360 gam glucozơ lên men tạo thành ancol etylic, khí sinh ra được dẫn vào dung dịch nước vôi trong dư thu được m gam kết tủa. Biết hiệu suất của quá trình lên men đạt 80 %. Vậy giá trị của m là
A. 200 gam. B. 320 gam.
C. 400 gam. D. 160 gam.
Câu 5: Hợp chất X có CTPT C4H6O2. Khi thủy phân X thu được 1 axit Y và 1 anđehit Z. Oxi hóa Z thu được Y. Trùng hợp X cho ra 1 polime. CTCT của X là
A. HCOOC3H5.
B. C2H3COOCH3.
C. CH3COOC2H3.
D. C3H5COOH.
Câu 6: Tại một nhà máy rượu, cứ 10 tấn tinh bột sẽ sản xuất được 1,5 tấn rượu etylic. Hiệu suất cả quá trình điều chế là
A. 26,4% B. 15%
C. 85% D. 32,7%
Câu 7: Lần lượt cho các chất: phenol, axit acrylic, axit fomic, metyl axetat phản ứng với Na, dung dịch NaOH đun nóng. Số trường hợp có phản ứng xảy ra là
A. 5. B. 6.
C. 7. D. 8.
Câu 8: Có 3 chất saccarozơ, mantozơ, anđehit axetic. Dùng thuốc thử nào để phân biệt?
A. AgNO3/NH3
B. Cu(OH)2/NaOH.
C. Dung dịch Br2
D. Na.
Câu 9: Este X có CTPT C4H8O2. Tên gọi của X là
Biết: X
Y1 + Y2 ; Y1
Y2
A. isopropyl fomat.
B. etyl axetat.
C. metyl propionat.
D. n– propyl fomat.
Câu 10: Phản ứng nào sau đây không tạo ra glucozơ?
A. Lục hợp HCHO xúc tác Ca(OH)2.
B. Tam hợp CH3CHO.
C. Thủy phân mantozơ.
D. Thủy phân saccarozơ.
Câu 11: Chất hữu cơ X có CTPT là C4H6O2Cl2. Khi cho X phản ứng với dung dịch NaOH thu được HO– CH2– COONa, etylenglicol và NaCl. CTCT của X là
A. CH2Cl– COO– CHCl– CH3.
B. CH3– COO– CHCl– CH2Cl.
C. CHCl2– COO– CH2CH3.
D. CH2Cl– COO– CH2– CH2Cl.
Câu 12: Cho 360 gam glucozơ lên men thành ancol etylic (giả sử chỉ có phản ứng tạo thành ancol etylic). Cho tất cả khí CO2 hấp thụ vào dung dịch NaOH thì thu được 212 gam Na2CO3 và 84 gam NaHCO3. Hiệu suất của phản ứng lên men rượu là
A. 50% B. 62,5%
C. 75% D. 80%
Câu 13: Tổng số hợp chất hữu cơ no, đơn chức, mạch hở, có cùng công thức phân tử C5H10O2, phản ứng được với dung dịch NaOH nhưng không có phản ứng tráng bạc là
A. 4 B. 5.
C. 8. D. 9.
Câu 14: Phát biểu không đúng là
A. Dung dịch fructozơ hoà tan được Cu(OH)2.
B. Thủy phân (xúc tác H+, to) saccarozơ cũng như mantozơ đều cho cùng một monosaccarit
C. Sản phẩm thủy phân xenlulozơ (xúc tác H+, to) có thể tham gia phản ứng tráng gương
D. Dung dịch mantozơ tác dụng với Cu(OH)2 khi đun nóng cho kết tủa Cu2O.
Câu 15: Cho các phản ứng:

Công thức phân tử của X là
A. C12H20O6.
B. C12H14O4
C. C11H10O4.
D. C11H12O4.
Câu 16: Khối lượng phân tử trung bình của xenlulozơ trong sợi bông là 4860000 đvC. Vậy số gốc glucozơ có trong xenlulozơ nêu trên là
A. 28000. B. 30000.
C. 35000. D. 25000.
Câu 17: Cho công thức chất X là C3H5Br3. Khi X tác dụng với dung dịch NaOH dư tạo ra một hợp chất tạp chức của ancol bậc I và anđehit. Công thức cấu tạo của X là
A. CH3– CHBr– CHBr2.
B. CH2Br– CH2– CHBr2.
C. CH2Br– CHBr– CH2Br.
D. CH3– CBr2– CH2Br.
Câu 18: Cho 3 chất: Glucozơ, axit axetic, glixerol. Để phân biệt 3 chất trên chỉ cần dùng 2 hoá chất là
A. Dung dịch Na2CO3 và Na
B. Quỳ tím và Ag2O/dd NH3.
C. Dung dịch NaHCO3 và dung dịch AgNO3
D. Quỳ tím và Na
Câu 19: Cho sơ đồ phản ứng sau:
Este X + NaOH → CH3COONa + Chất hữu cơ Y
Y + O2 -xt→ Y1
Y1 + NaOH → CH3COONa + H2O
Có tất cả bao nhiêu chất X thỏa mãn sơ đồ trên?
A. 1. B. 4.
C. 2. D. 3.
Câu 20: Để sản xuất 1 tấn thuốc nổ proxilin (xem như là trinitrat xenlulozơ nguyên chất) thì cần dùng một lượng xenlulozơ là
A. 1000kg B. 611,3kg
C. 545,4kg D. 450,5kg
Câu 21: Cho 10 gam chất X (chỉ chứa nhóm chức este có phân tử khối là 100 đvC) tác dụng với 150 ml dung dịch NaOH 1M. Sau phản ứng, cô cạn dung dịch thu được 11,6 gam chất rắn khan và một chất hữu cơ Y. Công thức của Y là
A. CH3OH. B. C2H5OH.
C. CH3CHO. D. CH3COCH3.
Câu 22: Phát biểu nào sau đây là sai?
A. Mantozơ là đồng phân của saccarozơ.
B. Hợp chất saccarozơ thuộc loại đisaccarit, phân tử này được cấu tạo bởi 2 gốc glucozơ.
C. Phân tử saccarozơ có nhiều nhóm hyđroxyl nhưng không có nhóm chức anđehit.
D. Xenlulozơ là hợp chất cao phân tử thiên nhiên, mạch không phân nhánh và do các mắt xích glucozơ tạo nên.
Câu 23: Cho 0,1 mol phenyl axetat tác dụng với 250ml dung dịch NaOH 1M thu được dung dịch X. Cô cạn X được m gam chất rắn. Giá trị của m là
A. 21,8. B. 8,2.
C. 19,8. D. 14,2.
Câu 24: Để phân biệt dung dịch mất nhãn gồm glucozơ, saccarozơ, CH3CHO, ancol etylic, hồ tinh bột ta dùng thuốc thử
A. I2, Cu(OH)2 to
B. I2, HNO3
C. I2, AgNO3/NH3
D. AgNO3/NH3, HNO3 to
Câu 25: Hỗn hợp M gồm hai chất hữu cơ X và Y. Cho M tác dụng vừa đủ với 150 ml dung dịch NaOH 1M đun nóng, thu được 14,1 gam một muối và 2,3 gam một ancol no, mạch hở. Nếu đốt cháy hoàn toàn lượng M trên thì thu được 0,55 mol CO2. Công thức của X và Y lần lượt là
A. CH2=CHCOOH và CH2=CH–COO– CH3.
B. CH≡C–COOH và CH≡C–COO–CH3.
C. CH≡C–COOH và CH≡C–COO–C2H5.
D. CH2=CHCOOH và CH2=CH–COO–C2H5.
Câu 26: Hiđro hoá hoàn toàn m gam hỗn hợp gồm glucozơ và fructozơ cần phải dùng 4,48lít khí H2 ở đktc. Mặt khác, cũng m gam hỗn hợp này tác dụng vừa hết với 8 gam Br2 trong dung dịch. Số mol của glucozơ và fructozơ trong m gam hỗn hợp này lần lượt là
A. 0,05 mol và 0,15 mol
B. 0,05 mol và 0,35 mol
C. 0,1 mol và 0,15 mol
D. 0,2 mol và 0,2 mol
Câu 27: Cho a gam chất hữu cơ X chứa C, H, O tác dụng với dung dịch NaOH vừa đủ, sau đó chưng khô thì phần bay hơi chỉ có 1,8 gam nước, phần chất rắn khan còn lại chứa hai muối của natri có khối lượng 11,8 gam. Nung hai muối này trong oxi dư, sau khi phản ứng hoàn toàn, ta thu được 7,95 gam Na2CO3; 7,28 lít khí CO2 (đktc) và 3,15 gam nước. Công thức đơn giản nhất của X là
A. C8H8O3. B. C8H8O2.
C. C6H6O2. D. C7H8O3.
Câu 28: Từ 180 gam glucozơ, bằng phương pháp lên men rượu, thu được a gam ancol etylic (hiệu suất 80%). Oxi hoá 0,1a gam ancol etylic bằng phương pháp lên men giấm, thu được hỗn hợp X. Để trung hoà hỗn hợp X cần 720 ml dung dịch NaOH 0,2M. Hiệu suất quá trình lên men giấm là
A. 10% B. 90%
C. 80% D. 20%
Câu 29: Hỗn hợp X gồm hai chất hữu cơ. X phản ứng với dung dịch KOH vừa đủ, cần dùng 100ml dung dịch KOH 5M. Sản phẩm phản ứng gồm 2 muối của một axit cacboxylic đơn chức và một ancol đơn chức. Cho toàn bộ lượng ancol tác dụng hết với Na thu được 3,36 lít H2 (đktc). X gồm
A. 1 axit và 1 ancol
B. 1 este và 1 axit
C. 2 este
D. 1 este và 1 ancol
Câu 30: Trong chế tạo ruột phích người ta thường dùng phương pháp nào sau đây:
A. Cho axetilen tác dụng với dung dịch AgNO3/NH3
B. Cho anđehit fomic tác dụng với dung dịch AgNO3/NH3
C. Cho axit fomic tác dụng với dung dịch AgNO3/NH3
D. Cho glucozơ tác dụng với dung dịch AgNO3/NH3.
ĐÁP ÁN ĐỀ 5
Câu 1: Đáp án B
Benzyl axetat có mùi thơm của hoa nhài.
CTCT: CH3– COO– CH2– C6H5.
* Thêm một số mùi este thông dụng khác:
isoamyl axetat: mùi chuối chín
etyl butirat và etyl propionat: mùi dứa.
geranyl axetat: mùi hoa hồng.
Câu 2: Đáp án A
X là tinh bột. Sơ đồ chuyển hóa như sau:
C6H10O5
C6H12O6
C2H5OH
C4H6
Cao su buna
Câu 3: Đáp án D
CH3COOC2H5 + NaOH → CH3COONa + C2H5OH
CH3COOCH=CH2 + NaOH → CH3COONa + CH3CHO
HCOOCH2CH=CH2 + NaOH → HCOONa + CH2=CHCH2OH
HCOOCH=CH– CH3 + NaOH → HCOONa + CH3– CH2CHO
→ Este thủy phân cho hỗn hợp hai chất hữu cơ đều tham gia phản ứng tráng bạc là HCOOCH=CH– CH3
Câu 4: Đáp án B
C6H12O6
2C2H5OH + 2CO2 ↑
CO2 + Ca(OH)2 dư → CaCO3 ↓ + H2O
Ta có: H = 80%

⇒ nCO2 = 1,6.2 = 3,2 mol = n↓
mCaCO3 = 3,2.100 = 320g.
Câu 5: Đáp án C
HCOOC3H5 + H2O
HCOOH + C3H5OH
Oxi hóa C3H5OH không thu được HCOOH → không thỏa mãn.
• C2H3COOCH3 + H2O
C2H3COOH + CH3OH
Oxi hóa CH3OH không thu được C2H3COOH → không thỏa mãn.
• CH3COOC2H3 + H2O
CH3COOH + CH3CHO
2CH3CHO + O2
2CH3COOH
nCH3COOCH=CH2
– (– CH(OCOCH3)– CH2– )n–
→ thỏa mãn.
• C3H5COOH không bị thủy phân → không thỏa mãn.
Câu 6: Đáp án A
Ta có: (C6H10O5)n
2nC2H5OH

Hiệu suất của phản ứng là:

Câu 7: Đáp án C
Có 3 chất phản ứng với Na là phenol, axit acrylic, axit fomic.
Có 4 chất phản ứng với dung dịch NaOH đun nóng là phenol, axit acrylic, axit fomic, metyl axetat.
⇒ Có 7 trường hợp có phản ứng xảy ra.
Câu 8: Đáp án B
Dùng Cu(OH)2/NaOH phân biệt saccarozơ, mantozơ, anđehit axetic.
Ở nhiệt độ thường saccarozơ, mantozơ hòa tan Cu(OH)2 tạo dung dịch phức đồng màu xanh lam, anđehit axetic không hiện tượng → nhận ra anđehit axetic.
Sau đó đun nóng hai ống nghiệm có phức xanh → xuất hiện chất kết tủa màu đỏ gạch Cu2O → mantozơ.
Câu 9: Đáp án B
X là etyl axetat.
CH3COOC2H5 + H2O ⇆ CH3COOH + C2H5OH
CH3CH2OH + O2
CH3COOH + H2O
Câu 10: Đáp án B
Tam hợp CH3CHO được chất có CTPT: C6H12O3, không phải là glucozơ.
Câu 11: Đáp án D
CH2Cl– COO– CHCl– CH3 + 3NaOH → HO– CH2– COONa + CH3CHO + 2NaCl + H2O
CH3– COO– CHCl– CHCl + 3NaOH → CH3COONa + CH2OH– CHO + 2NaCl + H2O
CHCl2– COO– CH2– CH3 + 3NaOH → CHO– COONa + 2NaCl + CH3CH2OH
CH2Cl– COO– CH2– CH2Cl + 3NaOH → HO– CH2– COONa + CH2OH– CH2OH + 2NaCl
⇒ X là CH2Cl– COO– CH2– CH2Cl.
Câu 12: Đáp án C
Bảo toàn C có: nCO2(tt) = nNa2CO3 + nNaHCO3 = 2 + 1 = 3 mol.
C6H12O6
2C2H5OH + 2CO2 ↑
nGlucozo = 2 ⇒ nCO2 (lt) = 2.2 = 4 mol
H% = (3/4).100% = 75%
Câu 13: Đáp án D
C5H10O2 có k = 1 , phản ứng với dung dịch NaOH ⇒ este hoặc axit no, đơn chức, mạch hở.
Không có phản ứng tráng bạc ⇒ không phải là este của axir fomic
⇒ Có 9 hợp chất hữu cơ thỏa mãn là
1. CH3- CH2– CH2– CH2– COOH.
2. 
3. 
4. 
5. CH3COOCH2CH2CH3
6. 
7. CH3CH2COOCH2CH3
8. CH3CH2CH2COOCH3
9. (CH3)2CHCOOCH3
Câu 14: Đáp án B
Thủy phân (xúc tác H+, toC) saccarozơ cho 1 phân tử glucozơ và 1 phân tử fructozơ; mantozơ thủy phân tạo 2 phân tử glucozơ.
Câu 15: Đáp án C
Y + 2NaOH
T + Na2CO3
⇒ Y là muối natri của axit hai chức.
CH3CHO + 2Cu(OH)2 + NaOH
Z + ...
Z là CH3COONa
Z + NaOH
CH4 + Na2CO3
Vậy Y là NaOCO– CH2– COONa.
X + 3NaOH
C6H5ONa + NaOCO– CH2– COONa + CH3CHO + H2O
X có CTCT là C6H5OCO– CH2– COOCH=CH2⇒ X có CTPT là C11H10O4
Câu 16: Đáp án B
Số gốc glucozơ trong xenlulozơ = 4860000 / 162 = 30000.
Câu 17: Đáp án B
Muốn tạo ra anđehit cần có 2 nhóm Br đính vào C bậc I ⇒ loại C, D
Vì X khi X tạo ancol bậc I nên 1 nhóm Br còn lại đính với C bậc I ⇒ loại A
CH2Br– CH2– CHBr2 + 3NaOH → CH2(OH)– CH2– CHO + H2O + 3NaBr.
Câu 18: Đáp án B
Dùng quỳ tím phân biệt được axit axetic làm quỳ hóa đỏ
Dùng Ag2O/NH3: có kết tủa bạc là glucozơ
C sai vì AgNO3 thiếu môi trường NH3.
Câu 19: Đáp án C
Y1 là CH3COOH; X có dạng là CH3COOR
Y + O2 → Y1 nên Y có thể là CH3CHO.
Có 2 chất X thỏa mãn là CH3COOCH=CH2 và CH3COOCH(OH)CH3
Câu 20: Đáp án C
[C6H7O2(OH)3]n + 3nHNO3 → [C6H7O2(ONO2)3]n + 3nH2O
Ta có:
nxenlulozo = ntrinitrat xenlulozo = 
mxenlulozo =
. 162n = 54545g = 545,45kg
Câu 21: Đáp án C
Ta có MX = 100 ⇒ X có công thức phân tử C5H8O2
Ta có nX = 10 : 100 = 0,1 mol < nNaOH = 0,15 mol ⇒ chất rắn khan chứa muối RCOONa : 0,1 mol và NaOH dư: 0,05 mol
⇒ 0,1. (R + 67) + 0,05. 40 = 11,6 ⇒ R = 29 (C2H5)
Vậy X có công thức C2H5COOCH=CH2. Khi thủy phân X thu được C2H5COONa và CH3CHO
Câu 22: Đáp án B
Hợp chất saccarozơ thuộc loại đisaccarit, phân tử này được cấu tạo bởi 1 gốc α– glucozo, 1 gốc β– fructozo
Câu 23: Đáp án A
nCH3COOC6H5 = 0,1 mol; nNaOH = 0,25 mol
CH3COOC6H5 + 2NaOH → CH3COONa + C6H5ONa + H2O
nNaOH dư = 0,25 – 0,1 x 2 = 0,05 mol
Sau phản ứng thu được chất rắn gồm 0,1 mol CH3COONa; 0,1 mol C6H5ONa và 0,05 mol NaOH dư.
Vậy m = 0,1. 82 + 0,1.116 + 0,05.40 = 21,8 gam
Câu 24: Đáp án A
Khi nhỏ I2 vào các dung dịch glucozơ, saccarozơ, CH3CHO, ancol etylic, hồ tinh bột. Dịch xuất hiện xanh tím là hồ tinh bột.
Khi cho các dung dịch saccarozơ, CH3CHO, ancol etylic vào Cu(OH)2. Ở nhiệt độ thường dung dịch saccarozơ hòa tan kết tủa tạo dung dịch màu xanh lam, hai ống nghiệm còn lại không hiện tượng.
Đun nóng hai ống nghiệm còn lại, có kết tủa đỏ gạch → CH3CHO.
Không hiện tượng → C2H5OH.
Câu 25: Đáp án D
Từ 4 đáp án, ta xác định được ngay X là axit và Y là este.
Este Y được tạo thành từ axit X và 1 ancol no đơn chức (CnH2n+1OH)

Gọi x và n lần lượt là số mol và số nguyên tử C của ancol.
Ta có:

Vậy công thức của X là CH2=CHCOOH, công thức của Y: CH2=CHCOOC2H5
Câu 26: Đáp án A
Nhận thấy cho hỗn hợp glucozơ và fructozơ vào Br2 chỉ có glucozơ tham gia phản ứng
nglucozơ = nBr2 = 0,05 mol
Cho hỗn hợp glucozơ và fructozơ phản ứng H2 thì nglucozơ + nfructozơ = 0,2 mol
⇒ nfructozơ = 0,15 mol.
Câu 27: Đáp án A
nH2O bay hơi = 0,1 mol
Nung muối trong oxi dư thu được:
nNa2CO3 = 0,075 mol; nCO2 = 0,325 mol; nH2O = 0,175 mol.
nNaOH = 2.nNa2CO3 = 2.0,075 = 0,15 mol.
nC trong X = nNa2CO3 + nCO2 = 0,075 + 0,325 = 0,4 mol.
Bảo toàn H trong X: nH trong X = 0,1.2 + 0,175.2 – 0,15 = 0,4.
Theo BTKL: a = 11,8 + 1,8 – 0,15.40 = 7,6 gam

Giả sử X là CxHyOz
Vậy x : y : z = 0,4 : 0,4 : 0,15 = 8 : 8 : 3
Vậy CTĐGN của X là C8H8O3
Câu 28: Đáp án B
C6H12O6
2C2H5OH + 2CO2 ↑
CH3CH2OH + O2
CH3COOH + H2O
nglucozơ = 1 ⇒ nC2H5OH = 1.2.0,8 = 1,6 mol
nCH3COOH (lt) = 0,1.0,16 = 0,16 mol
nCH3COOH (tt) = 0,72.0,2 = 0,144 mol

Câu 29: Đáp án B
Hỗn hợp X gồm hai chất hữu cơ đơn chức.
X + 0,5 mol KOH → muối của hai axit cacboxylic đơn chức và 1 ancol đơn chức
ancol + Na dư → 0,15 mol H2.
• nKOH = 0,5 mol
nancol = 2nH2 = 2.0,15 = 0,3 mol < nKOH
Chỉ có 1 chất phản ứng sinh ra rượu.
Mà thu được 2 muối ⇒ Có một chất là este và 1 chất là axit
Câu 30: Đáp án D
Trong công nghiệp người ta dùng glucozơ để chế tạo ruột phích.
Sở Giáo dục và Đào tạo .....
Đề thi khảo sát chất lượng đầu năm
Năm 2025
Bài thi môn: Hóa học 12
Thời gian làm bài: 45 phút
(Đề thi số 6)
Câu 1: Đun nóng dung dịch chứa 27 gam glucozơ với dung dịch AgNO3/NH3(dư) thì khối lượng Ag tối đa thu được là
A. 21,6 gam B. 32,4 gam
C. 16,2 gam D. 10,8 gam
Câu 2: Este nào sau đây khi thủy phân trong môi trường kiềm tạo ra 2 muối hữu cơ?
A. C6H5COOCH2CH=CH2.
B. CH2=CHCH2COOC6H5.
C. CH3COOCH=CHC6H5.
D. C6H5CH2COOCH=CH2.
Câu 3: Hỗn hợp A gồm glucozơ và tinh bột được chia thành hai phần bằng nhau. Phần thứ nhất được khuấy trong nước, lọc và cho nước lọc phản ứng với dung dịch AgNO3(dư)/ NH3 thấy tách ra 2,16 gam Ag. Phần thứ hai được đun nóng với dung dịch H2SO4 loãng, trung hoà hỗn hợp thu được bằng dung dịch NaOH rồi cho sản phẩm tác dụng với dung dịch AgNO3(dư)/ NH3 thấy tách ra 6,48 gam Ag. Giả sử các phản ứng xảy ra hoàn toàn. Phần trăm khối lượng mỗi chất trong hỗn hợp ban đầu là
A. 64,29% glucozơ và 35,71% tinh bột.
B. 64,71% glucozơ và 35,29% tinh bột.
C. 35,29% glucozơ và 64,71% tinh bột.
D. 35,71% glucozơ và 64,29% tinh bột.
Câu 4: Mệnh đề nào sau đây không đúng?
A. Metyl fomat có CTPT là C2H4O2.
B. Metyl fomat là este của axit etanoic.
C. Metyl fomat có thể tham gia phản ứng tráng bạc.
D. Thuỷ phân metyl fomat tạo thành ancol metylic và axit fomic.
Câu 5: Cho dãy các chất: glucozơ; xenlulozơ; saccarozơ; tinh bột; mantozơ. Số chất trong tham gia phản ứng tráng gương là
A. 3 B. 5
C. 4 D. 2
Câu 6: Nhiệt độ sôi của các chất được sắp xếp theo thứ tự tăng dần đúng là
A. C2H5Cl < CH3COOH < C2H5OH.
B. C2H5Cl < CH3COOCH3 < C2H5OH < CH3COOH.
C. CH3OH < CH3CH2OH < NH3 < HCl.
D. HCOOH < CH3OH < CH3COOH < C2H5F.
Câu 7: Khí CO2 chiếm 0,03 % thể tích không khí. Thể tích không khí (ở đktc) để cung cấp CO2 cho phản ứng quang hợp để tạo ra 27 gam glucozơ là
A. 44800 lít B. 672 lít
C. 67200 lít D. 448 lít
Câu 8: Este mạch hở X có CTPT là C4H6O2. Số đồng phân tối đa có thể có của X là
A. 3. B. 4.
C. 5. D. 6.
Câu 9: Xenlulozơ không phản ứng được với chất nào sau đây:
A. HNO3 đặc trong H2SO4 đặc, đun nóng
B. H2 có Ni xúc tác, đun nóng
C. Cu(OH)2 trong dung dịch NH3
D. CS2 trong dung dịch NaOH
Câu 10: Chất hữu cơ X mạch hở có CTPT C4H6O2, biết rằng:

CTCT của X là
A. CH2=CH-CH2-COOH.
B. CH2=CHCOOCH3.
C. HCOOCH2–CH=CH2.
D. CH3COOCH=CH2.
Câu 11: Để phân biệt các dung dịch glucozơ, saccarozơ và anđehit axetic có thể dùng dãy chất nào sau đây làm thuốc thử?
A. Nước brom và NaOH
B. AgNO3/NH3 và NaOH
C. Cu(OH)2 và AgNO3/NH3
D. HNO3 và AgNO3/NH3
Câu 12: Hai este X, Y là dẫn xuất của benzen, đều có CTPT là C9H8O2; X và Y đều cộng hợp với Brom theo tỉ lệ mol 1:1. X tác dụng với dung dịch NaOH cho một muối và một anđehit. Y tác dụng với dung dịch NaOH dư cho 2 muối và nước, các muối đều có phân tử khối lớn hơn phân tử khối của CH3COONa. CTCT của X và Y lần lượt là
A. HOOC-C6H4-CH=CH2 và CH2=CH-COOC6H5.
B. C6H5COOCH=CH2 và C6H5-CH=CH-COOH.
C. HCOO-C6H4-CH=CH2 và HCOOCH=CH-C6H5.
D. C6H5COO-CH=CH2 và CH2=CH-COOC6H5.
Câu 13: Để chứng minh trong phân tử của glucozơ có nhiều nhóm hiđroxyl, người ta cho dung dịch glucozơ phản ứng với
A. kim loại Na
B. Cu(OH)2 ở nhiệt độ thường.
C. AgNO3 (hoặc Ag2O) trong dung dịch NH3, đun nóng
D. Cu(OH)2 trong NaOH, đun nóng.
Câu 14: Cho các chất: etyl axetat, ancol etylic, axit acrylic, phenol, phenyl amoni clorua, ancol benzylic, p-crezol. Trong các chất này, số chất tác dụng được với dung dịch NaOH là
A. 4. B. 6.
C. 5. D. 3.
Câu 15: Thủy phân 171g mantozơ với hiệu suất 50% thu được dd X. Sau khi trung hòa axit dư trong X thu được dd Y. Cho Y tác dụng với AgNO3/NH3 dư thu được a gam Ag. Giá trị a là
A. 108 B. 216
C. 162 D. 270
Câu 16: Cho sơ đồ chuyển hóa:


Tên gọi của Y là:
A. propan-1,3-điol.
B. propan-1,2-điol.
C. propan-2-ol.
D. glixerol.
Câu 17: Cho các chất: X: glucozơ; Y: Saccarozơ; Z: Tinh bột; T: Glixerin; H: Xenlulozơ. Những chất bị thuỷ phân là
A. X , Z , H
B. Y , Z , H
C. X , Y , Z
D. Y , T , H
Câu 18: Ba hợp chất hữu cơ mạch hở X, Y, Z có cùng công thức phân tử C3H6O2 và có các tính chất sau: X, Y đều tham gia phản ứng tráng bạc; X, Z đều tác dụng được với dung dịch NaOH. Các chất X, Y, Z lần lượt là
A. CH2(OH)-CH2-CHO, C2H5-COOH, CH3-COO-CH3.
B. HCOO-C2H5, CH3-CH(OH)-CHO, OHC-CH2-CHO.
C. CH3-COO-CH3, CH3-CH(OH)-CHO, HCOO-C2H5.
D. HCOO-C2H5, CH3-CH(OH)-CHO, C2H5-COOH.
Câu 19: Thủy phân 1kg khoai (chứa 20% tinh bột) trong môi trường axit. Nếu hiệu suất phản ứng là 75% thì lượng glucozơ thu được là
A. 200g B. 166,6g
C. 150g D. 120g
Câu 20: Dãy nào sau đây sắp xếp các chất theo trật tự tăng dần nhiệt độ sôi?
A. HCOOCH3 < CH3COOCH3 < C3H7OH < CH3COOH < C2H5COOH
B. CH3COOCH3 < HCOOCH3 < C3H7OH < CH3COOH < C2H5COOH
C. HCOOCH3 < CH3COOCH3 < C3H5OH < C2H5COOH < CH3COOH
D. C2H5COOH < CH3COOH < C3H7OH < CH3COOCH3 < HCOOCH3
Câu 21: Thủy phân hoàn toàn 1kg saccarozơ sẽ thu được
A. 0,5kg glucozơ và 0,5kg fructozơ.
B. 1kg glucozơ và 1kg fructozơ.
C. 0,5263kg glucozơ và 0,5263kg fructozơ
D. 2kg glucozơ.
Câu 22: Thủy phân 4,3 gam este X đơn chức mạch hở (có xúc tác axit) đến khi phản ứng hoàn toàn thu được hỗn hợp hai chất hữu cơ Y và Z. Cho Y, Z phản ứng với dung dịch dư AgNO3/NH3 thu được 21,6 gam bạc. Công thức cấu tạo của X là:
A. CH3COOCH=CH2.
B. HCOOCH=CH-CH3.
C. HCOOCH2CH=CH2.
D. HCOOC(CH3)=CH2.
Câu 23: Cho sơ đồ phản ứng: Thuốc súng không khói ← X → Y → Sobitol. X , Y lần lượt là:
A. xenlulozơ, fructozơ.
B. xenlulozơ, glucozơ.
C. tinh bột, glucozơ.
D. saccarozơ, glucozơ.
Câu 24: Cho 10,2 gam một este đơn chức X tác dụng vừa đủ với 40 gam dung dịch NaOH 15%. Số đồng phân cấu tạo thỏa mãn điều kiện trên của X là
A. 3. B. 4.
C. 5. D. 6.
Câu 25: Xenlulozơ trinitrat được điều chế từ Xenlulozơ và axít HNO3 đặc (có xúc tác H2SO4 đặc nóng). Để có 29,7 kg Xenlulozơ trinitrat cần dùng dung dịch chứa m kg HNO3 (H = 90%). Tính m
A. 21kg B. 17,01kg
C. 18,9kg D. 22,5kg
Câu 26: Chất X có công thức phân tử C4H6O2. Cho m gam X phản ứng vừa đủ với dung dịch chứa 2 gam NaOH, tạo ra 4,1 gam muối. Kết luận nào sau đây là đúng cho chất X ?
A. X có phản ứng tráng bạc và có làm mất màu nước brom
B. X có khả năng làm đổi màu quỳ tím thành đỏ
C. X không tham gia phản ứng tráng bạc nhưng có làm mất màu nước brom
D. X có phản ứng tráng bạc nhưng không làm mất màu nước brom
Câu 27: Một dung dịch có tính chất sau :
- Tác dụng được với dung dịch AgNO3/NH3 và Cu(OH)2 khi đun nóng.
- Hòa tan được Cu(OH)2 tạo ra dung dịch màu xanh lam.
- Bị thủy phân nhờ axit hoặc enzim.
Dung dịch đó là:
A. Glucozơ
B. Mantozơ
C. Saccarozơ
D. Xenlulozơ
Câu 28: Khi thuỷ phân 0,1 mol este X được tạo bởi một ancol đa chức với một axit cacboxylic đơn chức cần dùng vừa đủ 12 gam NaOH. Mặt khác để thuỷ phân 6,35 gam X cần dùng 3 gam NaOH và thu được 7,05 gam muối. Công thức của X là:
A. (CH3COO)3C3H5
B. (HCOO)3C3H5
C. (C2H3COO)3C3H5
D. (CH3COO)2C2H4
Câu 29: Có thể dùng Cu(OH)2 để phân biệt được các chất trong nhóm nào sau đây?
A. C3H5(OH)3, C2H4(OH)2
B. C3H7OH, CH3CHO
C. CH3COOH, C2H3COOH
D. C3H5(OH)3, C12H22O11 (saccarozơ)
Câu 30: X là một este đơn chức không tham gia phản ứng tráng bạc, khi thủy phân hoàn toàn 4,3 gam X bằng dung dịch NaOH vừa đủ rồi chưng cất sản phẩm được muối Y và phần bay hơi Z. Cho Z phản ứng với Cu(OH)2 dư trong điều kiện thích hợp thu được 7,2 gam kết tủa đỏ gạch. Khối lượng của muối thu được là
A. 3,4 gam B. 6,8 gam
C. 3,7 gam D. 4,1 gam
ĐÁP ÁN ĐỀ 6
Câu 1: Đáp án B
Trong phản ứng tráng gương cứ 1 mol glucozơ → 2 mol Ag
nglucozơ = 0,15 mol ⇒ nAg = 0,3 mol
⇒ mAg = 0,3.108 = 32,4g.
Câu 2: Đáp án B
C6H5COOCH2CH=CH2 + NaOH → C6H5COONa + CH2=CH-CH2OH
CH2=CHCH2COOC6H5 + 2NaOH → CH2=CHCOONa + C6H5ONa + H2O
CH3COOCH=CHC6H5 + NaOH → CH3COONa + C6H5CH2CHO
C6H5CH2COOCH=CH2 + NaOH → C6H5CH2COONa + CH3CHO
Câu 3: Đáp án D
Phần 1: chỉ có glucozơ tham gia phản ứng tráng gương

⇒ nglucozo = 1/2 nAg = 0,01 mol
Phần 2:

Câu 4: Đáp án B
Đáp án B sai vì metyl fomat là este của axit fomic.
Câu 5: Đáp án D
Các chất tham gia phản ứng tráng gương là: glucozơ và mantozơ.
Câu 6: Đáp án B
Đáp án A sai vì C2H5Cl < C2H5OH < CH3COOH.
Đáp án B thỏa mãn.
Đáp án C sai vì NH3 < CH3OH < CH3CH2OH < HCl
Đáp án D sai vì C2H5F < CH3OH < HCOOH < CH3COOH
Câu 7: Đáp án C
nglucozơ = 27:180 = 0,15 mol
6CO2 + 6H2O -as→ C6H12O6 + 6O2
⇒ nCO2 cần = 0,15.6 = 0,9 mol

Câu 8: Đáp án D
Este mạch hở X có CTPT là C4H6O2 (k = π + v = 2)
Các đồng phân thỏa mãn gồm HCOOCH=CH-CH3(1), HCOOCH2-CH=CH2 (2), HCOOC(CH3)=CH2(3), CH3COOCH=CH2 (4), CH2=CH-COOCH3 (5)
Chú ý (1) có đồng phân hình học. Vậy có 6 đồng phân thỏa mãn.
Câu 9: Đáp án B
Xenlulozơ không tác dụng với H2/Ni, toC.
Câu 10: Đáp án B
Muối Y + NaOH
CH2=CH2
Mà X có CTPT là C4H6O2⇒ Y là CH2=CHCOONa.
⇒ X là CH2=CHCOOCH3⇒ Chọn B.
CH2=CHCOOCH3 + NaOH → CH2=CHCOONa (Y) + CH3OH
CH2=CHCOONa + NaOH
CH2=CH2 + Na2CO3.
Câu 11: Đáp án C
Dùng Cu(OH)2 để phân biệt anđehit axetic (anđehit axetic không hòa tan được Cu(OH)2 ở điều kiện thường còn saccarozơ và glucozơ hòa tan được Cu(OH)2 ở ngay điều kiện thường tạo dung dịch màu xanh lam).
Dùng AgNO3/NH3 để phân biệt glucozơ do có phản ứng tráng gương, còn saccarozơ thì không.
Câu 12: Đáp án D
Đáp án A loại vì HOOC-C6H4-CH=CH2 (X) tác dụng với NaOH cho hai muối và một nước.
• Đáp án B loại vì C6H5-CH=CH-COOH (Y) tác dụng với NaOH dư cho 1 muối và nước.
• Đáp án C loại vì HCOO-C6H4-CH=CH2 (X) tác dụng với NaOH cho hai muối và một nước;
HCOOCH=CH-C6H4 (Y) tác dụng với NaOH dư cho một muối và 1 anđehit.
• Đáp án D thỏa mãn.
C6H5COOCH=CH2 (X) + NaOH → C6H5COONa + CH3CHO
CH2=CH-COOC6H5 + 2NaOH → CH2=CH-COONa + C6H5ONa + H2O.
Câu 13: Đáp án B
Glucozơ phản ứng với Cu(OH)2 ở nhiệt độ thường tạo phức đồng xanh ⇒ chứng tỏ glucozo có nhiều nhóm hiđroxyl.
Chú ý: Glucozơ phản ứng với Na chỉ chứng minh trong phân tử có H linh động
Glucozơ phản ứng AgNO3/NH3, Cu(OH)2 trong NaOH đun nóng chứng tỏ glucozơ có nhóm -CHO.
Câu 14: Đáp án C
Có 5 chất thỏa mãn là etyl axetat, axit acrylic, phenol, phenyl amoni clorua, p-crezol.
Câu 15: Đáp án C
nmantozo = 171 : 342 = 0,5 mol
Mantozơ
2 Glucozơ
H = 50% ⇒ nglucozơ = 0,5.2.50%= 0,5 mol
nmantozơ dư = 0,5.0,5 = 0,25 mol
nAg = 2nglucozơ + 2nmantozơ = 2.0,5 + 2.0,25 = 1,5
⇒ mAg = 1,5.108 = 162g.
Câu 16: Đáp án A
Vì E là este đa chức nên T là axit đa chức → C3H6 phải là xiclopropan (nếu là anken thì không thể tạo hợp chất đa chức)
C3H6 (xiclopropan)
CH2Br-CH2-CH2Br
CH2OH-CH2-CH2OH
HOC-CH2-CHO
HOOC-CH2-COOH
CH3OOC-CH2-COOCH3
Câu 17: Đáp án B
Những chất tham gia phản ứng thủy phân gồm đisaccarit và polisaccarit
Vậy Y: Saccarozơ; Z: Tinh bột; H: Xenlulozơ bị thủy phân.
Câu 18: Đáp án D
Đáp án A loại vì C2H5-COOH (Y) không tham gia phản ứng tráng bạc.
Đáp án B loại vì OHC-CH2-CHO (Z) không tác dụng được với dung dịch NaOH.
Đáp án C loại vì CH3COOCH3 (X) không tham gia phản ứng tráng bạc.
Đáp án D thỏa mãn.
Câu 19: Đáp án B
Khối lượng tinh bột có trong 1kg khoai là 0,2kg
(C6H10O5)n + nH2O
nC6H12O6 (H = 75%)

mC6H12O6 = 0,926.180 = 166,6g
Câu 20: Đáp án A
Nhận thấy C3H7OH, CH3COOH, C2H5COOH là hợp chất có liên kết hiđro (nhóm I), HCOOCH3 và CH3COOCH3 là hợp chất không có liên kết hiđro (nhóm II)
→ ts của nhóm I > ts của nhóm II.
So sánh các chất trong nhóm I:
+ Trong - COOH có nhóm C=O làm liên kết hiđro của các hợp chất có nhóm COOH bền hơn → ts(CH3COOH, C2H5COOH) > ts (C3H7OH)
+ C2H5COOH có phân tử khối lớn hơn CH3COOH → ts (C2H5COOH) > ts (CH3COOH)
So sánh các chất trong nhóm II.
CH3COOCH3 có phân tử khối lớn hơn HCOOCH3
→ ts CH3COOCH3 > t HCOOCH3
Vậy nhiệt độ sôi sắp xếp theo thứ tự HCOOCH3 < CH3COOCH3 < C3H7OH < CH3COOH < C2H5COOH.
Câu 21: Đáp án C
C12H22O11 + H2O → C6H12O6(glucozơ) + C6H12O6 (fructozơ)
Ta có:

Câu 22: Đáp án B
nAg = 0,2
Nếu chỉ có 1 chất (Y hoặc Z) tác dụng với AgNO3:

Nếu cả Y và Z đều tác dụng

Do cả 2 chất đều tác dụng nên CTCT của X là:
Câu 23: Đáp án B
Thuốc súng không khói có thành phần xenlulozo nitrat ⇒ X là xenlulozơ
Thuốc súng không khói ← Xenlulozơ
glucozơ
Sobitol
Câu 24: Đáp án B
nX = nNaOH = 0,15 mol → MX = 13,2 : 0,15 = 88 → X là C4H8O2.
Có 4 CTCT thỏa mãn là HCOOCH2CH2CH3, HCOOCH(CH3)2, CH3COOCH2CH3, CH3CH2COOCH3.
Câu 25:
[C6H7O2(OH)3]n + 3n HNO3
[C6H7O2(ONO2)3]n + 3n H2O (H = 90%)
Với H = 90%

Câu 26: Đáp án C
nNaOH = 0,05 mol.
Giả sử muối là RCOONa
nRCOONa = 0,05 mol ⇒ MRCOONa = 4,1 : 0,05 = 82 ⇒ MR = 15 ⇒ Muối là CH3COONa
Vậy X là CH3COOCH=CH2.
Đáp án A sai vì X không có phản ứng tráng bạc.
Đáp án B sai vì X không làm quỳ tím đổi màu.
Đáp án C thỏa mãn.
Đáp án D sai vì X không có phản ứng tráng bạc nhưng làm mất màu nước brom
Câu 27: Đáp án B
Glucozơ là monosaccarit, là nhóm cacbohiđrat đơn giản nhất, không thể thủy phân được ⇒ loại A
Saccarozơ không có nhóm –OH hemiaxetal nên không có khả năng mở vòng tạo nhóm –CHO ⇒ Saccarozơ không phản ứng với dd AgNO3/NH3 và Cu(OH)2 đun nóng ⇒ Loại C
Xenlulozơ là poliancol, tuy còn nhiều nhóm –OH kề nhau nhưng trong cấu trúc polime, nhóm –OH mất linh động nên không tác dụng với Cu(OH)2 tạo dung dịch màu xanh lam ⇒ Loại D
Câu 28: Đáp án C
0,1 mol este X + 0,3 mol NaOH ⇒ X là este 3 chức.
6,35 gam X + 0,075 mol NaOH ⇒ 7,05 gam muối
nX = 0,075 : 3 = 0,025 mol, nancol = 0,025 mol
Theo BTKL: mancol = 6,35 + 3 - 7,05 = 2,3 gam
⇒ Mancol = 2,3 : 0,025 = 92 ⇒ glyxerol
⇒ X có dạng (RCOO)3C3H5
MX = 6,35 : 0,025 = 254 ⇒ MR = 27 ⇒ R là C2H3-
Vậy X là (C2H3COO)3C3H5
Câu 29: Đáp án D
Dùng Cu(OH)2 để phân biệt C3H7OH, CH3CHO khi đun nóng CH3CHO tạo chất kết tủa màu đỏ gạch; C3H7OH không hiện tượng.
Câu 30: Đáp án D
Z + Cu(OH)2 → 0,05 mol ↓Cu2O
Vậy Z là anđehit (Z có số C ≥ 2 vì Z là sản phẩm của phản ứng thủy phân X)
⇒ nZ = 0,05 mol.
nX = nZ = 0,05 mol ⇒ MX = 4,3 : 0,05 = 86 ⇒ X là C4H6O2.
Mà X không tham gia phản ứng tráng bạc ⇒ X là CH3COOCH=CH2
⇒ mCH3COONa = 0,05 x 82 = 4,1 gam.
Sở Giáo dục và Đào tạo .....
Đề thi khảo sát chất lượng đầu năm
Năm 2025
Bài thi môn: Hóa học 12
Thời gian làm bài: 45 phút
(Đề thi số 7)
Câu 1: Số đồng phân este ứng với công thức phân tử C4H8O2 là
A. 6. B. 5.
C. 2. D. 4.
Câu 2: Khi thêm vôi vào nước mía sẽ làm kết tủa các axit hữu cơ, các protit. Khi ấy saccarozơ biến thành canxi saccarat tan trong nước. Trước khi tẩy màu dung dịch bằng SO2 người ta sục khí CO2 vào dung dịch nhằm
A. Tạo môi trường axit.
B. Trung hoà lượng vôi dư.
C. Chuyển hóa saccarat thành saccarozơ.
D. Cả B và C.
Câu 3: Cho các phát biểu sau:
(1) Nguyên nhân làm dầu mỡ bị ôi thiu là do các liên kết pi trong gốc hiđrocacbon của axit béo không no.
(2) Các triglixerit chứa chủ yếu các gốc axit béo no thường là chất lỏng ở nhiệt độ thường
(3) Thủy phân este trong môi trường axit luôn là phản ứng thuận nghịch.
(4) Các este đều có nhiệt độ sôi cao hơn axit có cùng số nguyên tử cacbon.
(5) Các chất béo đều không tan trong nước nhưng tan nhiều trong các dung môi hữu cơ.
(6) Cho metyl axetat hoặc tristearin vào dung dịch NaOH đun nóng đều xảy ra phản ứng xà phòng hóa.
Số phát biểu đúng là
A. 5 B. 4
C. 3 D. 2
Câu 4: Glucozơ lên men thành ancol etylic, toàn bộ khí sinh ra được dẫn vào dung dịch Ca(OH)2 dư tách ra 40 gam kết tủa, biết hiệu suất lên men đạt 75%. Khối lượng glucozơ cần dùng là
A. 24 gam B. 40 gam
C. 50 gam D. 48 gam
Câu 5: Cho glixerol tác dụng với hỗn hợp ba axit C17H35COOH, C17H33COOH và C15H31COOH. Số loại trieste có thể được tạo thành chứa hai gốc axit trong số ba axit béo trên là
A. 9 B. 6
C. 12 D. 10
Câu 6: Lượng glucozơ dùng để tạo ra 1,82 gam sobitol với hiệu suất 80% là
A. 2,250 gam B. 1,440 gam
C. 1,125 gam D. 2,880 gam
Câu 7: Cho các phát biểu sau:
(a) Chất béo được gọi chung là triglixerit hay triaxylglixerol.
(b) Chất béo nhẹ hơn nước, không tan trong nước nhưng tan nhiều trong dung môi hữu cơ.
(c) Phản ứng thủy phân chất béo trong môi trường axit là phản ứng thuận nghịch.
(d) Tristearin, triolein có công thức lần lượt là: (C17H35COO)3C3H5, (C17H33COO)3C3H5.
Số phát biểu đúng là
A. 4 B. 1
C. 3 D. 2
Câu 8: Dãy gồm các chất đều tác dụng với Cu(OH)2 là
A. Glucozơ, glixerin, mantozơ, axit axetic
B. Glucozơ, glixerin, mantozơ, natri axetat
C. Glucozơ, glixerin, anđehitfomic, natri axetat.
D. Glucozơ, glixerin, mantozơ, ancol etylic.
Câu 9: Hợp chất CH3(CH2)7CH=CH(CH2)7COOCH3 có tên gọi là
A. Metyl oleat
B. Metyl panmitat
C. Metyl stearat
D. Metyl acrylat
Câu 10: Ở trạng thái sinh lí bình thường, glucozơ trong máu người chiếm một tỉ lệ không đổi là:
A. 1,0 % B. 0,01 %
C. 0,1 % D. 10 %
Câu 11: Mệnh đề không đúng là
A. CH3CH2COOCH=CH2 cùng dãy đồng đẳng với CH2=CHCOOCH3.
B. CH3CH2COOCH=CH2 tác dụng với dung dịch NaOH thu được anđehit và muối.
C. CH3CH2COOCH=CH2 tác dụng được với dung dịch Br2.
D. CH3CH2COOCH=CH2 có thể trùng hợp tạo polime.
Câu 12: Glucozơ có ứng dụng nào sau đây: (1) tiêm truyền ; (2) sản xuất kính xe ; (3) tráng gương ; (4) tráng ruột phích ; (5) nguyên liệu sản xuất ancol etylic?
A. (1) ; (3) ; (4) ; (5)
B. (3) ; (4) ; (5)
C. (1) ; (3) ; (4)
D. (1) ; (2) ; (3) ; (4)
Câu 13: Phát biểu đúng là
A. Phản ứng thủy phân este trong môi trường axit là phản ứng thuận nghịch.
B. Phản ứng giữa axit và ancol khi có H2SO4 đặc là phản ứng một chiều.
C. Tất cả các este phản ứng với dung dịch kiềm luôn thu được sản phẩm cuối cùng là muối và ancol.
D. Khi thủy phân chất béo luôn thu được C2H4(OH)2.
Câu 14: Chia 200 gam dung dịch hỗn hợp glucozơ và fructozơ thành hai phần bằng nhau:
• Phần 1: Tác dụng với dung dịch AgNO3 trong NH3 dư thu được 86,4 gam Ag kết tủa
• Phần 2: Phản ứng vừa hết với 28,8 gam Br2 trong dung dịch.
Nồng độ phần trăm của fructozơ trong dung dịch ban đầu là
A. 39,6 % B. 16,2 %
C. 25,5 % D. 33,3 %
Câu 15: Cho glixerin trioleat (hay triolein) lần lượt vào mỗi ống nghiệm chứa riêng biệt: Na, Cu(OH)2, CH3OH, dung dịch Br2, dung dịch NaOH. Trong điều kiện thích hợp, số phản ứng xảy ra là
A. 4 B. 2
C. 3 D. 5
Câu 16: Nhóm chất đều tác dụng với dung dịch AgNO3/NH3 là
A. C3H5(OH)3, glucozơ, CH3CHO, C2H2
B. C2H2, C2H4, C2H6, HCHO
C. Glucozơ, C2H2, CH3CHO, HCOOH
D. C2H2, C2H5OH, glucozơ, HCOOH
Câu 17: Hợp chất hữu cơ mạch hở X có công thức phân tử C6H10O4. Thuỷ phân X tạo ra hai ancol đơn chức có số nguyên tử cacbon trong phân tử gấp đôi nhau. Công thức của X là
A. CH3OCO-CH2-COOC2H5.
B. C2H5OCO-COOCH3.
C. CH3OCO-COOC3H7.
D. CH3OCO-CH2-CH2-COOC2H5.
Câu 18: Lên men 162 gam tinh bột với hiệu suất các quá trình lên men lần lượt là 80% và 90%. Biết khối lượng riêng của C2H5OH nguyên chất là 0,8 g/ml. Thể tích dung dịch rượu 40o thu được là
A. 115 ml. B. 230 ml.
C. 207 ml. D. 82,8 ml.
Câu 19: Este X có các đặc điểm sau:
- Đốt cháy hoàn toàn X tạo thành CO2 và H2O có số mol bằng nhau;
- Thuỷ phân X trong môi trường axit được chất Y (tham gia phản ứng tráng gương) và chất Z (có số nguyên tử cacbon bằng một nửa số nguyên tử cacbon trong X).
Phát biểu không đúng là
A. Chất X thuộc loại este no, đơn chức.
B. Đốt cháy hoàn toàn 1 mol X sinh ra sản phẩm gồm 2 mol CO2 và 2 mol H2O.
C. Chất Y tan vô hạn trong nước.
D. Đun Z với dung dịch H2SO4 đặc ở 170oC thu được anken.
Câu 20: Glucozơ có thể tạo ra este chứa 5 gốc axit trong phân tử. Este chứa 5 gốc axit axetic của glucozơ có công thức phân tử nào dưới đây:
A. C16H22O11 B. C16H24O12
C. C16H24O10 D. C11H10O8
Câu 21: Thuỷ phân chất hữu cơ X trong dung dịch NaOH (dư), đun nóng, thu được sản phẩm gồm 2 muối và ancol etylic. Chất X là
A. CH3COOCH2CH3.
B. CH3COOCH2CH2Cl.
C. CH3COOCH(Cl)CH3.
D. ClCH2COOC2H5.
Câu 22: Dãy gồm các chất tham gia phản ứng thuỷ phân (trong điều kiện thích hợp) là
A. protit, glucozơ, sáp ong, mantozơ.
B. poli stiren, tinh bột, steroit, saccarozơ.
C. xenlulozơ, mantozơ, fructozơ.
D. xenlulozơ, tinh bột, chất béo
Câu 23: Cho chất X tác dụng với một lượng vừa đủ dung dịch NaOH, sau đó cô cạn dung dịch thu được chất rắn Y và chất hữu cơ Z. Cho Z tác dụng với AgNO3 trong dung dịch NH3 thu được chất hữu cơ T. Cho chất T tác dụng với dung dịch NaOH lại thu được chất Y. Chất X có thể là
A. HCOOCH3.
B. HCOOCH=CH2.
C. CH3COOCH=CH-CH3.
D. CH3COOCH=CH2.
Câu 24: Từ 180 gam glucozơ, bằng phương pháp lên men rượu, thu được a gam ancol etylic (hiệu suất 80%). Oxi hoá 0,1a gam ancol etylic bằng phương pháp lên men giấm, thu được hỗn hợp X. Để trung hoà hỗn hợp X cần 720 ml dung dịch NaOH 0,2M. Hiệu suất quá trình lên men giấm là
A. 80% B. 10%
C. 90% D. 20%
Câu 25: Chất X có công thức phân tử CxHyOz. Cho X tác dụng với NaOH thu được Y và Z. Biết Z không tác dụng được với Na và có sơ đồ chuyển hóa sau:

Thành phần phần trăm theo khối lượng của cacbon trong X là
A. 55,81%. B. 48,65%.
C. 40,00%. D. 54,55%.
Câu 26: Cho sơ đồ sau: glucozơ → X → Y → anđehit axetic. Tên của Y là:
A. anđehit fomic B. etilen
C. axit propionic D. etanol
Câu 27: Cho 10 gam chất X (chỉ chứa nhóm chức este có phân tử khối là 100 đvC) tác dụng với 150 ml dung dịch NaOH 1M. Sau phản ứng, cô cạn dung dịch thu được 11,6 gam chất rắn khan và một chất hữu cơ Y. Công thức của Y là
A. CH3OH. B. C2H5OH.
C. CH3CHO. D. CH3COCH3.
Câu 28: Khẳng định nào sau đây đúng?
A. Saccarozơ và mantozơ là đồng phân của nhau
B. Tinh bột và xenlulozơ là đồng phân của nhau
C. Fructozơ khong tham gia phản ứng tráng bạc trong dung dịch AgNO3 trong NH3
D. Saccarozơ và mantozơ không cho phản ứng thủy phân
Câu 29: Cho 10,2 gam một este đơn chức X tác dụng vừa đủ với 40 gam dung dịch NaOH 15%. Số đồng phân cấu tạo thỏa mãn điều kiện trên của X là
A. 3 B. 4
C. 5 D. 6
Câu 30: Đem glucozơ lên men điều chế ancol etylic (khối lượng riêng của ancol etylic nguyên chất là 0,8 g/ml), hiệu suất phản ứng lên men ancol etylic là 75%. Để thu được 80 lít rượu vang 120 thì khối lượng glucozơ cần dùng là
A. 24,3 (kg) B. 20(kg)
C. 21,5(kg) D. 25,2(kg).
ĐÁP ÁN ĐỀ 7
Câu 1: Đáp án D
HCOO-CH2-CH2-CH3
HCOO-CH(CH3)-CH3
CH3COO-CH2-CH3
C2H5COO-CH3
⇒ Có 4 đồng phân.
Câu 2: Đáp án D
C12H22O11 + Ca(OH)2 → C12H22O11.CaO.H2O
C12H22O11.CaO.H2O + CO2 → C12H22O11 + CaCO3↓ + 2H2O
CO2 + Ca(OH)2 → CaCO3↓ + H2O
Câu 3: Đáp án B
Nguyên nhân làm dầu mỡ bị ôi thiu là do liên kết πC=C bị oxi hóa chậm bởi oxi không khí tạo thành peoxit, chất này bị phân hủy thành các sản phẩm có mùi khó chịu → (1) đúng
Các triglixerit chứa chủ yếu các gốc axit béo no thường là chất rắn ở nhiệt độ thường → (2) sai
Phản ứng thủy phân este trong axit là thuận nghịch, phản ứng thủy phân trong môi trường kiềm là phản ứng 1 chiều → (3) đúng
Các axit tồn tại liên kết hiđro, este không chứa liên kết hiđro nên các este đều có nhiệt độ sôi thấp hơn axit có cùng số nguyên tử cacbon → (4) sai
Chất béo là trieste của glixerol và axit béo → chất béo là hợp chất không phân cực, không tan trong nước nhưng tan nhiều trong các dung môi hữu cơ → (5) đúng
Phản ứng thủy phân este trong môi trường kiềm là phản ứng xà phòng hóa → (6) đúng
Câu 4: Đáp án D
C6H12O6
2C2H5OH + 2CO2↑
CO2 + Ca(OH)2 → CaCO3↓ + H2O.
Ta có nCO2 = nCaCO3 = 0,4 mol
H = 75%

Câu 5: Đáp án C
Chọn 2 trong 3 axit có = 3 cách chọn
Có 4 cách sắp xếp trieste tạo bởi axit A,B và glixerol.
( A – A - B, A – B - A, B – B - A, B – A - B)
Số loại trieste có thể được tạo thành chứa hai gốc axit trong số ba axit béo trên là: 3. 4 = 12.
Câu 6: Đáp án A
CH2OH[CHOH]4CHO + H2
CH2OH[CHOH]4CH2OH (H = 80%)
Với H = 80% thì nglucozơ = nsobitol/80% = 0,0125 mol
⇒ mglucozơ = 0,0125.180 = 2,25 gam.
Câu 7: Đáp án A
Câu 8: Đáp án A
Nhận thấy muối natri axetat và ancol etylic không phản ứng với Cu(OH)2
Câu 9: Đáp án A
Giả sử este là RCOOR'.
Tên este gồm: tên gốc hiđrocacbon R' + tên anion gốc axit (đuôi "at")
Metyl oleat là CH3(CH2)7CH=CH(CH2)7COOCH3
Metyl panmitat là CH3(CH2)14COOCH3
Metyl stearat là CH3(CH2)16COOCH3
Metyl acrylat là CH2=CHCOOCH3.
Câu 10: Đáp án C
SGK Nâng cao trang 27 có đề cập là trong máu người trạng thái sinh lí bình thường có một lượng nhỏ glucozơ, hầu như không đổi, nồng độ khoảng 0,1%.
Câu 11: Đáp án A
Đáp án A sai. CH3CH2COOCH=CH2 có nối đôi gắn vào gốc hiđrocacbon còn CH2=CHCOOCH3 có nối đôi gắn vào anion gốc axit nên không cùng dãy đồng đẳng.
Đáp án B đúng. CH3CH2COOCH=CH2 + NaOH → CH3CH2COONa + CH3CHO
Đáp án C đúng. CH3CH2COOCH=CH2 + Br2 → CH3CH2COOCHBr-CH2Br
Đáp án D đúng. nCH3CH2COOCH=CH2
-(-CH(OCOCH2CH3)-CH2-)n-.
Câu 12: Đáp án C
Glucozơ được dùng làm tiêm truyền (có trong dung dịch truyền cho bệnh nhân)
tráng gương và tráng ruột phích dựa trên phản ứng tráng gương, là sản phẩm trung gian để sản xuất ancol etylic từ tinh bột và xenluluzơ, chứ thực tế không lấy trực tiếp glucozơ để sản xuất ancol etylic.
Câu 13: Đáp án A
Đáp án A đúng.
Đáp án B sai vì phản ứng giữa axit và ancol khi có H2SO4 đặc là phản ứng thuận nghịch.
Đáp án C sai vì ví dụ: este CH3COOCH=CH2 phản ứng với dung dịch kiềm thu được sản phẩm cuối cùng là muối và anđehit.
Đáp án D sai vì khi thủy phân chất béo luôn thu được C3H5(OH)3.
Câu 14: Đáp án A
Phần 1:
Nhận thấy cho hỗn hợp glucozơ và fructozơ phản ứng với Br2 thì chỉ có glucozơ tham gia phản ứng → nBr2 = nglucozơ = 0,18 mol.
Phần 2:
Khi tác dụng với AgNO3 trong NH3 dư thì cả glucozơ và fructozơ tham gia phản ứng
⇒ nfructozơ + nglucozơ = 1/2 nAg⇒ nfructozơ = 1/2 .0,8 - 0,18 = 0,22 mol.
Nồng độ phần trăm của fructozơ trong dung dịch ban đầu là

Câu 15: Đáp án B
Trong điều kiện thích hợp, triolein phản ứng được với Br2 và NaOH:
(C17H33COO)3C3H5 + 3Br2 → (C17H33Br2COO)3C3H5
(C17H33COO)3C3H5 + 3NaOH → 3C17H33COONa + C3H5(OH)3
Câu 16: Đáp án C
Nhận thấy C3H3(OH)3, C2H4, C2H5OH không tham gia phản ứng với dung dịch AgNO3/NH3.
Chú ý: Glucozơ, CH3CHO, HCOOH tham gia phản ứng tráng bạc, C2H2 tham gia phản ứng thế với dung dịch AgNO3/NH3.
Câu 17: Đáp án A
C6H10O4 có độ bất bão hòa 
Thủy phân X thu được 2 ancol đơn chức→ X là este hai chức.
Hai ancol có số C gấp đôi nhau → C1 và C2 (dựa vào đáp án)
→ X là CH3OCO-COOC2H5
Câu 18: Đáp án C
(C6H10O5)n → nC6H12O6 → 2nC2H5OH .
Hiệu suất toàn bộ quá trình là H = 80%.90%.100% = 72%

Thể tích rượu C2H5OH 40o là:

Câu 19: Đáp án D
Đốt cháy X tạo thành CO2 và H2O có số mol bằng nhau ⇒ X là este no, đơn chức.
Thủy phân X trong môi trường axit được chất Y tham gia phản ứng tráng gương ⇒ Y là HCOOH.
Z có số nguyên tử C bằng một nửa số nguyên tử cacbon trong X ⇒ X là HCOOCH3.
⇒ Đốt cháy 1 mol HCOOCH3 sinh ra sản phẩm gồm 2 mol CO2 và 2 mol H2O.
Y là HCOOH nên tan vô hạn trong nước.
Z là CH3OH nên khi đun với H2SO4 đặc ở 170oC không thu được anken.
Câu 20: Đáp án A
Phương trình phản ứng:
C6H7O(OH)5 + 5(CH3CO)2O → C6H7O(OOCCH3)5 (hay C16H22O11) + 5CH3COOH.
Ghi chú: (CH3CO)2O: anhiđrit axetic.
Câu 21: Đáp án D
CH3COOCH2CH3 + NaOH → CH3COONa + CH3CH2OH
CH3COOCH2CH2Cl + 2NaOH -to→ CH3COONa + NaCl + C2H4(OH)2
CH3COOCH(Cl)CH3 + 2NaOH → CH3COONa + NaCl + CH3CHO + H2O
ClCH2COOC2H5 + 2NaOH → HOCH2COOH + NaCl + CH3CH2OH
⇒ X thỏa mãn là ClCH2COOC2H5.
Câu 22: Đáp án D
Nhận thấy glucozơ, fructozơ, poli stiren không tham gia phản ứng thủy phân.
Câu 23: Đáp án D
RCOOR1 + NaOH → RCOONa + R1OH
Z + AgNO3 → T
T + NaOH → Y
Do đó, Z và Y cùng số nguyên tử cacbon trong phân tử.
CH3COOCH=CH2 + NaOH → CH3COONa + CH3CHO
CH3CHO + 2AgNO3 + 4NH3 + H2O → CH3COONH4 + 2Ag↓ + 2NH4NO3.
CH3COONH4 + NaOH → CH3COONa + NH3 + H2O
Câu 24: Đáp án C
Phương trình phản ứng :
C6H12O6
2C2H5OH + 2CO2 (H = 80%)
C2H5OH + O2
CH3COOH + H2O (H1)
CH3COOH + NaOH → CH3COONa + H2O.
H = 80% ⇒ nC2H5OH = 2.nglucozơ.80% = 1,6 mol.
Lên men 0,16 mol ancol etylic thì nC2H5OH pư = nCH3COOH = nNaOH = 0,72.0,2 = 0,144 mol.

Câu 25: Đáp án A
Ankan đơn giản nhất là CH4
Y + NaOH
CH4
Vậy Y là CH3COONa
T + NaOH → CH3COONa (Y). Vậy T là CH3COOH.
Z + O2
CH3COOH (T).
Mà Z không tác dụng với Na → Z là CH3CHO.
X + NaOH → CH3COONa (Y) + CH3CHO (Z)
Vậy X là CH3COOCH=CH2.

Câu 26: Đáp án B
Sơ đồ phản ứng :
C6H12O6
C2H5OH
C2H4
CH3CHO
Câu 27: Đáp án C
Ta có MX = 100 ⇒ X có công thức phân tử C5H8O2
Ta có nX = 10 : 100 = 0,1 mol < nNaOH = 0,15 mol
⇒ chất rắn khan chứa muối RCOONa : 0,1 mol và NaOH dư: 0,05 mol
⇒ 0,1. (R + 67) + 0,05. 40 = 11,6 ⇒ R = 29 (C2H5)
Vậy X có công thức C2H5COOCH=CH2. Khi thủy phân X thu được C2H5COONa và CH3CHO
Câu 28: Đáp án A
Nhận thấy tinh bột và xenlulozơ có công thức tổng quát giống nhau (C6H10O5)n nhưng công thức phân tử khác nhau (do hệ số n khác nhau) ⇒ Loại B
Trong môi trường AgNO3 trong NH3 fructozơ chuyển hóa thành glucozơ nên fructozơ tham gia phản ứng tráng bạc ⇒ Loại C.
Saccarozơ và mantozơ là đisaccarit tham gia phản ứng thủy phân tạo monosacarit ⇒ Loại D
Câu 29: Đáp án B
Ta có nNaOH = 0,15 mol
Nếu X là este đơn chức của phenol ⇒ nX = 0,5nNaOH = 0,075 mol ⇒ MX = 136 (C8H8O2)
Các đồng phân thỏa mãn là HCOOC6H5-CH3 (o,p,m) và CH3COOC6H5
Nếu X là este đơn chức không chứa gốc phenol ⇒ nX = nNaOH = 0,15 mol ⇒
MX = 68. Không tìm được este đơn chức thỏa mãn.
Câu 30:
Phương trình phản ứng:
C6H12O6
2C2H5OH + 2CO2 (H = 75%).
Ta có: mC2H5OH = V.d = (80.103.12%).0,8 = 7680 g

Với H = 75% thì

mglucozơ = 111,3.180 = 20034 g = 20,034 kg.
Sở Giáo dục và Đào tạo .....
Đề thi khảo sát chất lượng đầu năm
Năm 2025
Bài thi môn: Hóa học 12
Thời gian làm bài: 45 phút
(Đề thi số 8)
Câu 1: Nhận xét nào sau đây đúng về độ ngọt của glucozơ và fructozơ so với đường mía?
A. Cả hai đều ngọt hơn.
B. Cả hai đều kém ngọt hơn.
C. Glucozơ kém hơn, còn fructozơ ngọt hơn.
D. Glucozơ ngọt hơn, còn fructozơ kém ngọt hơn.
Câu 2: Đốt cháy hoàn toàn m gam chất béo X (chứa triglixerit của axit stearic, axit panmitic và các axit béo tự do đó). Sau phản ứng thu được 6,72 lít CO2 (đktc) và 5,22 gam nước. Xà phòng hoá m gam X (H = 90%) thì thu được khối lượng glixerol là
A. 0,414 gam B. 1,242 gam
C. 0,828 gam D. 0,46 gam
Câu 3: Những chất nào có phản ứng với Cu(OH)2 tạo dung dịch màu xanh lam?
A. Glucozơ và Fructozơ
B. Glucozơ và OH-CH2-CH2-CH2-OH
C. Fructozơ và ancol etylic
D. Glixerin và OH-CH2 -CH=CH2
Câu 4: Cho các chất sau: axit propionic (X), axit axetic (Y), ancol etylic (Z) và etyl propionat (T). Dãy gồm các chất được sắp xếp theo chiều tăng của nhiệt độ sôi là ?
A. Y, T, X, Z.
B. T, X, Y, Z.
C. T, Z, Y, X.
D. Z, T, Y, X.
Câu 5: Rót H2SO4 đặc vào cốc đựng chất A màu trắng thấy A dần dần chuyển sang màu vàng, sau đó chuyển sang màu nâu và cuối cùng thành một khối đen xốp, bị bọt khí đẩy lên miệng cốc. A là chất nào trong các chất sau:
A. NaCl B. CO2 rắn
C. Saccarozơ D. CuSO4 khan
Câu 6: Cho dãy các chất: phenyl axetat, metyl benzoat, metyl metacrylat, anlyl axetat, metyl axetat, etyl fomat, triolein, vinyl axetat, tristearin. Số chất trong dãy khi thủy phân trong dung dịch NaOH loãng (dư), đun nóng sinh ra ancol là
A. 6. B. 7.
C. 5. D. 8.
Câu 7: Các khí sinh ra trong thí nghiệm phản ứng của saccarozơ với dung dịch H2SO4 đặc bao gồm:
A. H2S và CO2. B. H2S và SO2.
C. SO3 và CO2. D. SO2 và CO2
Câu 8: Từ ancol etylic và các chất vô cơ cần thiết, ta có thể điều chế trực tiếp ra các chất nào sau đây ?
(1). Axit axetic; (2). Axetanđehit; (3). Buta-1,3-đien; (4). Etyl axetat.
A. (1), (2) và (3)
B. (1), (2) và (4)
C. (1), (3) và (4)
D. (1), (2), (3) và (4)
Câu 9: Hợp chất hữu cơ X có trong tự nhiên, khi tác dụng với hỗn hợp HNO3 và H2SO4 đặc, đun nóng tạo ra hợp chất hữu cơ Y rất dễ cháy, nổ mạnh có ứng dụng làm thuốc súng không khói. Vậy X là
A. Toluen B. Tinh bột
C. Phenol D. Xenlulozơ
Câu 10: Có các nhận định sau:
(1) Axit salixylic còn có tên gọi khác là axit o-hiđroxibenzoic
(2) Axit oleic và axit linoleic là đồng phân của nhau
(3) Axit axetyl salixylic tác dụng được với dung dịch NaOH theo tỉ lệ 1:2 về số mol
(4) Khi thủy phân chất béo luôn thu được glixerol.
Số nhận định sai là
A. 1 B. 4
C. 2 D. 3
Câu 11: Trong quá trình sản xuất đường mía, để tẩy màu nước đường người ta dùng khí nào sau đây?
A. CO2 B. HCl
C. SO2 D. Cl2
Câu 12: Số hợp chất là đồng phân cấu tạo, có cùng công thức phân tử C4H8O2, tác dụng được với dung dịch NaOH nhưng không tác dụng được với Na là
A. 3 B. 2
C. 4 D. 1
Câu 13: Ở động vật, tinh bột được dự trữ dưới dạng glicogen ở trong:
A. Dạ dày B. Máu
C. Gan D. Ruột
Câu 14: Phát biểu nào sau đây sai ?
A. Nhiệt độ sôi của este thấp hơn hẳn so với ancol có cùng phân tử khối.
B. Trong công nghiệp có thể chuyển hoá chất béo lỏng thành chất béo rắn.
C. Số nguyên tử hiđro trong phân tử este đơn và đa chức luôn là một số chẵn.
D. Sản phẩm của phản ứng xà phòng hoá chất béo là axit béo và glixerol.
Câu 15: Xenlulozơ trinitrat là chất dễ cháy và nổ mạnh, được điều chế từ xenlulozơ và axit nitric. Thể tích axit nitric 99,67% có d = 1,52g/ml cần để sản xuất 59,4 kg xenlulozơ trinitrat nếu hiệu suất đạt 90% là
A. 27,72 lít B. 32,52 lít
C. 26,52 lít D. 11,2 lít
Câu 16: Cho sơ đồ chuyển hoá:

Tên của Z là
A. axit oleic.
B. axit linoleic.
C. axit stearic.
D. axit panmitic.
Câu 17: Tinh bột, xenlulozơ, saccarozơ, mantozơ đều có khả năng tham gia phản ứng
A. hoà tan Cu(OH)2.
B. trùng ngưng.
C. tráng gương.
D. Thủy phân.
Câu 18: Khi đốt cháy hoàn toàn một este no, đơn chức thì số mol CO2 sinh ra bằng số mol O2 đã phản ứng. Tên gọi của este là
A. metyl fomat.
B. etyl axetat.
C. metyl axetat.
D. n-propyl axetat.
Câu 19: Cho 2,5 kg glucozơ chứa 20% tạp chất lên men thành ancol etylic. Lượng ancol etylic thu được là bao nhiêu nếu ancol bị hao hụt mất 10% trong quá trình sản xuất?
A. 2 kg B. 0,92 kg
C. 1,8 kg D. 0,46 kg
Câu 20: Thuỷ phân este Z trong môi trường axit thu được hai chất hữu cơ X và Y (MX < MY). Bằng một phản ứng có thể chuyển hoá X thành Y. Chất Z không thể là
A. metyl propionat.
B. metyl axetat.
C. etyl axetat.
D. vinyl axetat.
Câu 21: Chỉ dùng duy nhất một thuốc thử nào dưới đây có thể phân biệt được 4 lọ mất nhãn chứa các chất sau: dung dịch glucozơ ; ancol etylic ; glixerol và anđehit axetic.
A. Cu(OH)2 B. Na
C. NaOH D. Ag2O/NH3
Câu 22: Xà phòng hoá một hợp chất có công thức phân tử C10H14O6 trong dung dịch NaOH (dư), thu được glixerol và hỗn hợp gồm ba muối (không có đồng phân hình học). Công thức của ba muối đó là
A. CH2=CH-COONa, CH3-CH2-COONa và HCOONa.
B. HCOONa, CH≡C-COONa và CH3-CH2-COONa.
C. CH2=CH-COONa, HCOONa và CH≡C-COONa.
D. CH3-COONa, HCOONa và CH3-CH=CH-COONa.
Câu 23: Trong quá trình chuyển hoá tinh bột trong cơ thể, chất nào sau đây không phải là sản phẩm của quá trình đó?
A. Đextrin B. Saccarozơ
C. Glicogen. D. Mantozơ.
Câu 24: Chất hữu cơ X có công thức phân tử C4H6O4 tác dụng với dung dịch NaOH (đun nóng) theo phương trình phản ứng: C4H6O4 + 2NaOH → 2Z + Y.
Để oxi hoá hết a mol Y thì cần vừa đủ 2a mol CuO (đun nóng), sau phản ứng tạo thành a mol chất T (biết Y, Z, T là các hợp chất hữu cơ). Khối lượng phân tử của T là
A. 44 đvC. B. 58 đvC.
C. 82 đvC. D. 118 đvC.
Câu 25: Cho các dung dịch chứa các chất tan : glucozơ, fructozơ, saccarozơ, mantozơ, axit fomic, glixerol, vinyl axetat, anđehit fomic. Những dung dịch vừa hoà tan Cu(OH)2 ở nhiệt độ thường, vừa làm mất màu nước brom là?
A. glucozơ, mantozơ, axit fomic, vinyl axetat
B. glucozơ, mantozơ, axit fomic
C. glucozơ, mantozơ, fructozơ, saccarozơ, axit fomic
D. fructozơ, vinyl axetat, anđehit fomic, glixerol, glucozơ, saccarozơ
Câu 26: Một hỗn hợp X gồm hai chất hữu cơ đơn chức. Cho X phản ứng vừa đủ với 500 ml dung dịch KOH 1M. Sau phản ứng, thu được hỗn hợp Y gồm hai muối của hai axit cacboxylic và một ancol. Cho toàn bộ lượng ancol thu được ở trên tác dụng với Na (dư), sinh ra 3,36 lít H2 (ở đktc). Hỗn hợp X gồm
A. một axit và một este.
B. một este và một ancol.
C. hai este.
D. một axit và một ancol.
Câu 27: Xenlulozơ được cấu tạo bởi các gốc:
A. α-glucozơ B. α-fructozơ
C. β-glucozơ D. β-fructozơ
Câu 28: Cho m gam một este E vào một lượng vừa đủ KOH đun nóng thu được dung dịch X. Cô cạn X thu được 16,5 gam muối khan của một axit đơn chức và 6,9 gam một ancol đơn chức Y. Cho toàn bộ Y tác dụng với Na dư thu được 1,68 lít khí (ở đktc). Tên của E là
A. etyl propionat
B. etyl acrylat
C. metyl metacrylat
D. etyl axetat
Câu 29: Thực hiện phản ứng thủy phân a mol mantozơ trong môi trường axit( Hiệu suất thủy phân là h), sau đó trung hòa axit bằng kiềm rồi cho hỗn hợp sau phản ứng tác dụng với Ag2O dư trong NH3 thu được b mol Ag. Mối liên hệ giữa hiệu suất h với a và b là

Câu 30: Cho 2,07 gam chất hữu cơ X (có công thức phân tử C7H6O3) tác dụng với dung dịch NaOH vừa đủ, sau đó làm khô, phần bay hơi chỉ có nước, phần rắn khan còn lại chứa hỗn hợp hai muối. Nung hai muối này trong oxi dư, thu được 2,385 gam Na2CO3 và m gam hỗn hợp khí và hơi. Số đồng phân cấu tạo của X là
A. 3 B. 2
C. 5 D. 4
ĐÁP ÁN ĐỀ 8
Câu 1: Đáp án C
Fructozơ ngọt hơn đường mía còn glucozơ kém ngọt hơn.
Câu 2: Đáp án A
nCO2 = 0,3 mol; nH2O = 0,29 mol
Gọi công thức trung bình của triglixerit và axit tự do là (CnH2n + 1COO)3C3H5 và CnH2n + 1COOH với số mol lần lượt là x, y mol.
Ta có hpt:

⇒ x = 0,005 mol
ntriglixerit = nglixerol = 0,005 mol
H = 90% ⇒ mglixerol = 0,005.92.90% = 0,414 gam.
Câu 3: Đáp án A
Chất trong cấu tạo có các nhóm - OH cạnh nhau thì phản ứng với Cu(OH)2 tạo dung dịch màu xanh lam.
→ ancol etylic, OH-CH2-CH2-CH2-OH, OH-CH2 -CH=CH2 không phản ứng với Cu(OH)2.
Câu 4: Đáp án C
Etyl propionat là hợp chất không chứ liên kết hiđro là chất có nhiệt độ sôi thấp nhất ⇒ nhiệt độ sôi của T < (X, Y, Z)
Do có nhóm – C=O hút e trong phân tử nên X, Y có độ bền liên kết hiđro lớn hơn trong ancol Z → nhiệt độ sôi của Z < (X, Y)
Do MX > MY⇒ nên nhiệt độ sôi của X > Y
Thứ tự nhiệt độ sôi của các chất là T < Z < Y < X.
Câu 5: Đáp án C
Khi rót H2SO4 đặc vào cốc đựng saccarozơ thì saccarozơ sẽ bị oxi hóa tạo ra C (tạo thành 1 khối đen), sau đó C tác dụng với H2SO4 đặc dư tạo ra khí CO2 kết hợp với SO2 đẩy khối đen lên trên miệng cốc.
Câu 6: Đáp án B
Các chất trong dãy khi thủy phân trong dung dịch NaOH loãng (dư), đun nóng sinh ra ancol là: metyl benzoat, metyl metacrylat, anlyl axetat, metyl axetat, etyl fomat, triolein, tristearin
Vậy có 7 chất.
Câu 7: Đáp án D
C12H22O11
12C + 11H2O
C + 2H2SO4 đặc → CO2↑ + 2SO2↑ + 2H2O
2 khí thoát ra là SO2 và CO2
Câu 8: Đáp án A
Từ ancol và các chất vô cơ cần thiết, ta có thể điều chế trực tiếp
(1) CH3COOH: C2H5OH + O2
CH3COOH + H2O
(2) CH3CH2OH + CuO
CH3CHO + Cu + H2O
(3) 2C2H5OH
CH2=CH-CH=CH2 + 2H2O + H2
CH3COOC2H5 điều chế trực tiếp từ C2H5OH và CH3COOH nên không thỏa mãn
Câu 9: Đáp án D
Chất hữu cơ Y là xenlulozơ trinitrat (sản phẩm của xenlulozơ và HNO3) chất dễ cháy nổ, ứng dụng làm thuốc súng không khói.
[C6H7O2(OH)3]n + 3nHNO3(đặc)
[C6H7O2(ONO2)3]n + 3nH2O.
Câu 10: Đáp án C
(2) sai vì axit oleic là C17H33COOH, axit linoleic là C17H31COOH nên hai chất không là đồng phân của nhau.
(3) sai vì axit axetyl salixylic tác dụng được với dung dịch NaOH theo tỉ lệ 1 : 3 về số mol:
o-CH3COO-C6H4-COOH + 3KOH → CH3COOK + KO-C6H4-COOK + 2H2O
(1), (4) đúng.
Ghi chú: Axit salixylic và Axit axetyl salixylic gặp trong bài tập 5 (trang 7) – SGK Hóa học 12 – nâng cao.
Câu 11: Đáp án C
Người ta dùng khí SO2 để tẩy màu, còn CO2 để tái tạo lại saccarozơ từ dung dịch đường có lẫn hợp chất của canxi.
Câu 12: Đáp án C
Độ bất bão hòa k = 1.
Các hợp chất tác dụng được với NaOH nhưng không tác dụng được với Na → các đồng phân este.
* Có 4 đồng phân cấu tạo thỏa mãn là:
1. HCOOCH2CH2CH3
2. HCOOCH(CH3)2
3. CH3COOCH2CH3
4. CH3CH2COOCH3
Câu 13: Đáp án C
Ở động vật, tinh bột được dự trữ dưới dạng glicogen ở trong gan. Lượng glucozơ trong máu luôn giữ không đổi 0,1% .Lượng glucozơ dư được chuyển về gan nhờ enzim chuyển hóa thành glicogen. Khi nồng độ glucozơ trong máu giảm dưới 0,1% thì glicogen bị thủy phân thành luôn glucozơ.
Câu 14: Đáp án D
Đáp án A đúng vì ancol có liên kết hiđro nên có nhiệt độ sôi cao hơn este có cùng phân tử khối.
Đáp án B đúng. Trong công nghiệp có thể chuyển hóa chất béo lỏng thành chất béo rắn bằng phản ứng hiđro hóa.
Đáp án C đúng. CTC của este là CnH2n+2-2k-2xO2x nên este đơn chức và đa chức luôn là một số chẵn.
Đáp án D sai. Sản phẩm của phản ứng xà phòng hóa chất béo là xà phòng (muối natri hoặc kali của các axit béo) và glixerol.
Câu 15: Đáp án A
[C6H7O2(OH)3]n + 3nHNO3 đ
[C6H7O2(ONO2)3]n + 3nH2O (H = 90%)

Câu 16: Đáp án C
(C17H33COO)3C3H5 + 3H2
(C17H35COO)3C3H5 (X)
(C17H35COO)3C3H5 + 3NaOH
3C17H35COONa (Y) + C3H5(OH)3
C17H35COONa + HCl → C17H35COOH (Z) + NaCl
Vậy Z là C17H35COOH: axit stearic.
Câu 17: Đáp án D
Tinh bột, xenlulozơ là polisaccarit; saccarozơ, mantozơ là đisaccarit nên đều tham gia phản ứng thủy phân
Câu 18: Đáp án A
Giả sử este có dạng CnH2nO2
Ta có

Ta có:

⇒ C2H4O2⇒ HCOOCH3⇒ metyl fomat
Câu 19: Đáp án B
C6H12O6
2C2H5OH + 2CO2.
Khối lượng glucozơ nguyên chất có trong 2,5 kg là mglucozơ = 2,5.80% = 2 kg

Lượng ancol hao hụt mất 10% → Hiệu suất phản ứng là 90%.
Với hiệu suất 90% thì

⇒ mancol etylic = 20. 46 = 920g = 0,92 kg.
Câu 20: Đáp án A
Xét CH3CH2COOCH3
CH3CH2COOCH3 + H2O ⇆ CH3CH2COOH + CH3OH
Tuy nhiên từ CH3OH (X) không thể điều chế CH3CH2COOH (Y) bằng một phản ứng.
• Xét CH3COOCH3
CH3COOCH3 + H2O ⇆ CH3COOH + CH3OH
CH3OH (X) + CO
CH3COOH (Y)
Vậy Z có thể là CH3COOCH3.
• Xét CH3COOCH2CH3
CH3COOCH2CH3 + H2O ⇆ CH3COOH + CH3CH2OH
CH3CH2OH (X) + O2
CH3COOH (Y) + H2O
Vậy Z có thể là CH3COOCH2CH3
• Xét CH3COOCH=CH2
CH3COOCH=CH2 + H2O ⇆ CH3COOH + CH3CHO
2CH3CHO (X) + O2
2CH3COOH (Y)
Vậy Z có thể là CH3COOCH=CH2
Câu 21: Đáp án A
Khi cho các dung dịch glucozơ; rượu etylic; glixerin và anđehit axetic vào Cu(OH)2 thì:
+ Dung dịch glucozơ ở nhiệt độ thường tạo dung dịch phức màu xanh lam, đun nóng tạo kết tủa đỏ gạch Cu2O.
+ Dung dịch glixerin ở nhiệt độ thường và nhiệt độ cao tạo dung dịch phức màu xanh lam
+ Dung dịch anđehit ở nhiệt độ thường không hiện tượng, nhiệt độ cao tạo kết tủa đỏ gạch.
+ Dung dịch etanol không hiện tượng ở nhiệt độ thường và nhiệt độ cao.
Câu 22: Đáp án A
C10H14O6 có độ bất bão hòa

Vì X là trieste nên trong mạch còn một nối đôi ⇒ loại B, C.
Vì ba muối không có đồng phân hình học ⇒ loại D.
Câu 23: Đáp án B
Quá trình thủy phân tinh bột trong cơ thể :


Câu 24: Đáp án B
C4H6O4 có độ bất bão hòa

Vậy X là đieste no, mạch hở.
Oxi hóa a mol Y cần vừa đủ 2a mol CuO → a mol T. Vậy Y là ancol hai chức.
Vậy X là HCOOCH2CH2OCOH
HCOOCH2CH2OCOH + 2NaOH → 2HCOONa (X) + CH2OH-CH2OH (Y)
CH2OH-CH2OH (Y) + 2CuO -to OHC-CHO (T) + 2Cu + 2H2O
OHC-CHO (T) có M = 58
Câu 25: Đáp án B
Các chất vừa hòa tan được Cu(OH)2 ở nhiệt độ thường và làm mất màu dung dịch brom là: glucozơ; mantozơ; axit fomic.
Câu 26: Đáp án A
Hỗn hợp X gồm hai chất hữu cơ đơn chức.
X + 0,5 mol KOH ⇒ muối của hai axit cacboxylic và một ancol
Ancol + Na dư ⇒ 0,15 mol H2.
nKOH = 0,5 mol
nancol = 2.nH2 = 2.0,15 = 0,3 mol < nKOH
Chỉ có 1 chất phản ứng sinh ra rượu.
Mà thu được 2 muối ⇒ Có một chất là este và 1 chất là axit
Câu 27: Đáp án C
Xenlulozơ được cấu tạo bởi các gốc β-glucozơ bằng liên kết β-1,4- glicozit..
Câu 28: Đáp án B
Giả sử E là RCOOR'
Cô cạn X thu được 16,5 gam muối RCOOK và 6,9 gam R'OH
2R'OH (0,15) + 2Na → 2R'ONa + H2 (0,075 mol)
⇒ MR'OH = 6,9 : 0,15 = 46 ⇒ MR' = 29 ⇒ R' là C2H5-.
nRCOOK = nR'OH = 0,15 mol ⇒ MRCOOK = 16,5 : 0,15 = 110 ⇒ MR = 27 ⇒ R là CH2=CH-
X + KOH → CH2=CHCOOK + CH3CH2OH
Vậy X là CH2=CHCOOCH2CH3: etyl acrylat
Câu 29: Đáp án B

Câu 30: Đáp án A
Ta có nNa2CO3 = 0,0225 mol → nNaOH = 0,045 mol, nX = 0,015 mol
Thấy nNaOH = 3 nX → X có cấu tạo HCOOC6H4OH (o, m, p)
HCOOC6H4OH + 3NaOH → HCOONa + C6H4(ONa)2 + 2H2O
Sở Giáo dục và Đào tạo .....
Đề thi khảo sát chất lượng đầu năm
Năm 2025
Bài thi môn: Hóa học 12
Thời gian làm bài: 45 phút
(Đề thi số 9)
Câu 1: Este nào sau đây thủy phân cho hỗn hợp 2 chất hữu cơ đều tham gia phản ứng tráng bạc?
A. CH3COOC2H5.
B. CH3COOCH=CH2.
C. HCOOCH2CH=CH2.
D. HCOOCH=CH– CH3.
Câu 2: Tại một nhà máy rượu, cứ 10 tấn tinh bột sẽ sản xuất được 1,5 tấn rượu etylic. Hiệu suất cả quá trình điều chế là
A. 26,4% B. 15%
C. 85% D. 32,7%
Câu 3: Lần lượt cho các chất: phenol, axit acrylic, axit fomic, metyl axetat phản ứng với Na, dung dịch NaOH đun nóng. Số trường hợp có phản ứng xảy ra là
A. 5. B. 6.
C. 7. D. 8.
Câu 4: Có 3 chất saccarozơ, mantozơ, anđehit axetic. Dùng thuốc thử nào để phân biệt?
A. AgNO3/NH3
B. Cu(OH)2/NaOH.
C. Dung dịch Br2
D. Na.
Câu 5: Phản ứng nào sau đây không tạo ra glucozơ?
A. Lục hợp HCHO xúc tác Ca(OH)2.
B. Tam hợp CH3CHO.
C. Thủy phân mantozơ.
D. Thủy phân saccarozơ.
Câu 6: Cho 360 gam glucozơ lên men thành ancol etylic (giả sử chỉ có phản ứng tạo thành ancol etylic). Cho tất cả khí CO2 hấp thụ vào dung dịch NaOH thì thu được 212 gam Na2CO3 và 84 gam NaHCO3. Hiệu suất của phản ứng lên men rượu là
A. 50% B. 62,5%
C. 75% D. 80%
Câu 7: Phát biểu không đúng là
A. Dung dịch fructozơ hoà tan được Cu(OH)2.
B. Thủy phân (xúc tác H+, to) saccarozơ cũng như mantozơ đều cho cùng một monosaccarit
C. Sản phẩm thủy phân xenlulozơ (xúc tác H+, to) có thể tham gia phản ứng tráng gương
D. Dung dịch mantozơ tác dụng với Cu(OH)2 khi đun nóng cho kết tủa Cu2O.
Câu 8: Khối lượng phân tử trung bình của xenlulozơ trong sợi bông là 4860000 đvC. Vậy số gốc glucozơ có trong xenlulozơ nêu trên là
A. 28000. B. 30000.
C. 35000. D. 25000.
Câu 9: Cho 3 chất: Glucozơ, axit axetic, glixerol. Để phân biệt 3 chất trên chỉ cần dùng 2 hoá chất là
A. Dung dịch Na2CO3 và Na
B. Quỳ tím và Ag2O/dd NH3.
C. Dung dịch NaHCO3 và dung dịch AgNO3
D. Quỳ tím và Na
Câu 10: Để sản xuất 1 tấn thuốc nổ proxilin (xem như là trinitrat xenlulozơ nguyên chất) thì cần dùng một lượng xenlulozơ là
A. 1000kg B. 611,3kg
C. 545,4kg D. 450,5kg
Câu 11: Cho 10 gam chất X (chỉ chứa nhóm chức este có phân tử khối là 100 đvC) tác dụng với 150 ml dung dịch NaOH 1M. Sau phản ứng, cô cạn dung dịch thu được 11,6 gam chất rắn khan và một chất hữu cơ Y. Công thức của Y là
A. CH3OH. B. C2H5OH.
C. CH3CHO. D. CH3COCH3.
Câu 12: Cho 0,1 mol phenyl axetat tác dụng với 250ml dung dịch NaOH 1M thu được dung dịch X. Cô cạn X được m gam chất rắn. Giá trị của m là
A. 21,8. B. 8,2.
C. 19,8. D. 14,2.
Câu 13: Để phân biệt dung dịch mất nhãn gồm glucozơ, saccarozơ, CH3CHO, ancol etylic, hồ tinh bột ta dùng thuốc thử
A. I2, Cu(OH)2 to
B. I2, HNO3
C. I2, AgNO3/NH3
D. AgNO3/NH3, HNO3 to
Câu 14: Trong chế tạo ruột phích người ta thường dùng phương pháp nào sau đây:
A. Cho axetilen tác dụng với dung dịch AgNO3/NH3
B. Cho anđehit fomic tác dụng với dung dịch AgNO3/NH3
C. Cho axit fomic tác dụng với dung dịch AgNO3/NH3
D. Cho glucozơ tác dụng với dung dịch AgNO3/NH3.
Câu 15: Đun nóng dung dịch chứa 27 gam glucozơ với dung dịch AgNO3/NH3(dư) thì khối lượng Ag tối đa thu được là
A. 21,6 gam B. 32,4 gam
C. 16,2 gam D. 10,8 gam
Câu 16: Mệnh đề nào sau đây không đúng?
A. Metyl fomat có CTPT là C2H4O2.
B. Metyl fomat là este của axit etanoic.
C. Metyl fomat có thể tham gia phản ứng tráng bạc.
D. Thuỷ phân metyl fomat tạo thành ancol metylic và axit fomic.
Câu 17: Cho dãy các chất: glucozơ; xenlulozơ; saccarozơ; tinh bột; mantozơ. Số chất trong tham gia phản ứng tráng gương là
A. 3 B. 5
C. 4 D. 2
Câu 18: Nhiệt độ sôi của các chất được sắp xếp theo thứ tự tăng dần đúng là
A. C2H5Cl < CH3COOH < C2H5OH.
B. C2H5Cl < CH3COOCH3 < C2H5OH < CH3COOH.
C. CH3OH < CH3CH2OH < NH3 < HCl.
D. HCOOH < CH3OH < CH3COOH < C2H5F.
Câu 19: Khí CO2 chiếm 0,03 % thể tích không khí. Thể tích không khí (ở đktc) để cung cấp CO2 cho phản ứng quang hợp để tạo ra 27 gam glucozơ là
A. 44800 lít B. 672 lít
C. 67200 lít D. 448 lít
Câu 20: Xenlulozơ không phản ứng được với chất nào sau đây:
A. HNO3 đặc trong H2SO4 đặc, đun nóng
B. H2 có Ni xúc tác, đun nóng
C. Cu(OH)2 trong dung dịch NH3
D. CS2 trong dung dịch NaOH
Câu 21: Chất hữu cơ X mạch hở có CTPT C4H6O2, biết rằng:

CTCT của X là
A. CH2=CH-CH2-COOH.
B. CH2=CHCOOCH3.
C. HCOOCH2–CH=CH2.
D. CH3COOCH=CH2.
Câu 22: Hai este X, Y là dẫn xuất của benzen, đều có CTPT là C9H8O2; X và Y đều cộng hợp với Brom theo tỉ lệ mol 1:1. X tác dụng với dung dịch NaOH cho một muối và một anđehit. Y tác dụng với dung dịch NaOH dư cho 2 muối và nước, các muối đều có phân tử khối lớn hơn phân tử khối của CH3COONa. CTCT của X và Y lần lượt là
A. HOOC-C6H4-CH=CH2 và CH2=CH-COOC6H5.
B. C6H5COOCH=CH2 và C6H5-CH=CH-COOH.
C. HCOO-C6H4-CH=CH2 và HCOOCH=CH-C6H5.
D. C6H5COO-CH=CH2 và CH2=CH-COOC6H5.
Câu 23: Thủy phân 171g mantozơ với hiệu suất 50% thu được dd X. Sau khi trung hòa axit dư trong X thu được dd Y. Cho Y tác dụng với AgNO3/NH3 dư thu được a gam Ag. Giá trị a là
A. 108 B. 216
C. 162 D. 270
Câu 24: Cho các chất: X: glucozơ; Y: Saccarozơ; Z: Tinh bột; T: Glixerin; H: Xenlulozơ. Những chất bị thuỷ phân là
A. X , Z , H
B. Y , Z , H
C. X , Y , Z
D. Y , T , H
Câu 25: Thủy phân hoàn toàn 1kg saccarozơ sẽ thu được
A. 0,5kg glucozơ và 0,5kg fructozơ.
B. 1kg glucozơ và 1kg fructozơ.
C. 0,5263kg glucozơ và 0,5263kg fructozơ
D. 2kg glucozơ.
Câu 26: Thủy phân 4,3 gam este X đơn chức mạch hở (có xúc tác axit) đến khi phản ứng hoàn toàn thu được hỗn hợp hai chất hữu cơ Y và Z. Cho Y, Z phản ứng với dung dịch dư AgNO3/NH3 thu được 21,6 gam bạc. Công thức cấu tạo của X là:
A. CH3COOCH=CH2.
B. HCOOCH=CH-CH3.
C. HCOOCH2CH=CH2.
D. HCOOC(CH3)=CH2.
Câu 27: Cho 10,2 gam một este đơn chức X tác dụng vừa đủ với 40 gam dung dịch NaOH 15%. Số đồng phân cấu tạo thỏa mãn điều kiện trên của X là
A. 3. B. 4.
C. 5. D. 6.
Câu 28: Chất X có công thức phân tử C4H6O2. Cho m gam X phản ứng vừa đủ với dung dịch chứa 2 gam NaOH, tạo ra 4,1 gam muối. Kết luận nào sau đây là đúng cho chất X ?
A. X có phản ứng tráng bạc và có làm mất màu nước brom
B. X có khả năng làm đổi màu quỳ tím thành đỏ
C. X không tham gia phản ứng tráng bạc nhưng có làm mất màu nước brom
D. X có phản ứng tráng bạc nhưng không làm mất màu nước brom
Câu 29: Khi thuỷ phân 0,1 mol este X được tạo bởi một ancol đa chức với một axit cacboxylic đơn chức cần dùng vừa đủ 12 gam NaOH. Mặt khác để thuỷ phân 6,35 gam X cần dùng 3 gam NaOH và thu được 7,05 gam muối. Công thức của X là:
A. (CH3COO)3C3H5
B. (HCOO)3C3H5
C. (C2H3COO)3C3H5
D. (CH3COO)2C2H4
Câu 30: X là một este đơn chức không tham gia phản ứng tráng bạc, khi thủy phân hoàn toàn 4,3 gam X bằng dung dịch NaOH vừa đủ rồi chưng cất sản phẩm được muối Y và phần bay hơi Z. Cho Z phản ứng với Cu(OH)2 dư trong điều kiện thích hợp thu được 7,2 gam kết tủa đỏ gạch. Khối lượng của muối thu được là
A. 3,4 gam B. 6,8 gam
C. 3,7 gam D. 4,1 gam
ĐÁP ÁN ĐỀ 9
Câu 1: Đáp án D
CH3COOC2H5 + NaOH → CH3COONa + C2H5OH
CH3COOCH=CH2 + NaOH → CH3COONa + CH3CHO
HCOOCH2CH=CH2 + NaOH → HCOONa + CH2=CHCH2OH
HCOOCH=CH– CH3 + NaOH → HCOONa + CH3– CH2CHO
→ Este thủy phân cho hỗn hợp hai chất hữu cơ đều tham gia phản ứng tráng bạc là HCOOCH=CH– CH3
Câu 2: Đáp án A
Ta có: (C6H10O5)n
2nC2H5OH

Hiệu suất của phản ứng là:

Câu 3: Đáp án C
Có 3 chất phản ứng với Na là phenol, axit acrylic, axit fomic.
Có 4 chất phản ứng với dung dịch NaOH đun nóng là phenol, axit acrylic, axit fomic, metyl axetat.
⇒ Có 7 trường hợp có phản ứng xảy ra.
Câu 4: Đáp án B
Dùng Cu(OH)2/NaOH phân biệt saccarozơ, mantozơ, anđehit axetic.
Ở nhiệt độ thường saccarozơ, mantozơ hòa tan Cu(OH)2 tạo dung dịch phức đồng màu xanh lam, anđehit axetic không hiện tượng → nhận ra anđehit axetic.
Sau đó đun nóng hai ống nghiệm có phức xanh → xuất hiện chất kết tủa màu đỏ gạch Cu2O → mantozơ.
Câu 5: Đáp án B
Tam hợp CH3CHO được chất có CTPT: C6H12O3, không phải là glucozơ.
Câu 6: Đáp án C
Bảo toàn C có: nCO2(tt) = nNa2CO3 + nNaHCO3 = 2 + 1 = 3 mol.
C6H12O6
2C2H5OH + 2CO2 ↑
nGlucozo = 2 ⇒ nCO2 (lt) = 2.2 = 4 mol
H% = (3/4).100% = 75%
Câu 7: Đáp án B
Thủy phân (xúc tác H+, toC) saccarozơ cho 1 phân tử glucozơ và 1 phân tử fructozơ; mantozơ thủy phân tạo 2 phân tử glucozơ.
Câu 8: Đáp án B
Số gốc glucozơ trong xenlulozơ = 4860000 / 162 = 30000.
Câu 9: Đáp án B
Dùng quỳ tím phân biệt được axit axetic làm quỳ hóa đỏ
Dùng Ag2O/NH3: có kết tủa bạc là glucozơ
C sai vì AgNO3 thiếu môi trường NH3.
Câu 10: Đáp án C
[C6H7O2(OH)3]n + 3nHNO3 → [C6H7O2(ONO2)3]n + 3nH2O
Ta có:
nxenlulozo = ntrinitrat xenlulozo = 
mxenlulozo =
. 162n = 54545g = 545,45kg
Câu 11: Đáp án C
Ta có MX = 100 ⇒ X có công thức phân tử C5H8O2
Ta có nX = 10 : 100 = 0,1 mol < nNaOH = 0,15 mol ⇒ chất rắn khan chứa muối RCOONa : 0,1 mol và NaOH dư: 0,05 mol
⇒ 0,1. (R + 67) + 0,05. 40 = 11,6 ⇒ R = 29 (C2H5)
Vậy X có công thức C2H5COOCH=CH2. Khi thủy phân X thu được C2H5COONa và CH3CHO
Câu 12: Đáp án A
nCH3COOC6H5 = 0,1 mol; nNaOH = 0,25 mol
CH3COOC6H5 + 2NaOH → CH3COONa + C6H5ONa + H2O
nNaOH dư = 0,25 – 0,1 x 2 = 0,05 mol
Sau phản ứng thu được chất rắn gồm 0,1 mol CH3COONa; 0,1 mol C6H5ONa và 0,05 mol NaOH dư.
Vậy m = 0,1. 82 + 0,1.116 + 0,05.40 = 21,8 gam
Câu 13: Đáp án A
Khi nhỏ I2 vào các dung dịch glucozơ, saccarozơ, CH3CHO, ancol etylic, hồ tinh bột. Dịch xuất hiện xanh tím là hồ tinh bột.
Khi cho các dung dịch saccarozơ, CH3CHO, ancol etylic vào Cu(OH)2. Ở nhiệt độ thường dung dịch saccarozơ hòa tan kết tủa tạo dung dịch màu xanh lam, hai ống nghiệm còn lại không hiện tượng.
Đun nóng hai ống nghiệm còn lại, có kết tủa đỏ gạch → CH3CHO.
Không hiện tượng → C2H5OH.
Câu 14: Đáp án D
Trong công nghiệp người ta dùng glucozơ để chế tạo ruột phích.
Câu 15: Đáp án B
Trong phản ứng tráng gương cứ 1 mol glucozơ → 2 mol Ag
nglucozơ = 0,15 mol ⇒ nAg = 0,3 mol
⇒ mAg = 0,3.108 = 32,4g.
Câu 16: Đáp án B
Đáp án B sai vì metyl fomat là este của axit fomic.
Câu 17: Đáp án D
Các chất tham gia phản ứng tráng gương là: glucozơ và mantozơ.
Câu 18: Đáp án B
Đáp án A sai vì C2H5Cl < C2H5OH < CH3COOH.
Đáp án B thỏa mãn.
Đáp án C sai vì NH3 < CH3OH < CH3CH2OH < HCl
Đáp án D sai vì C2H5F < CH3OH < HCOOH < CH3COOH
Câu 19: Đáp án C
nglucozơ = 27:180 = 0,15 mol
6CO2 + 6H2O -as→ C6H12O6 + 6O2
⇒ nCO2 cần = 0,15.6 = 0,9 mol

Câu 20: Đáp án B
Xenlulozơ không tác dụng với H2/Ni, toC.
Câu 21: Đáp án B
Muối Y + NaOH
CH2=CH2
Mà X có CTPT là C4H6O2⇒ Y là CH2=CHCOONa.
⇒ X là CH2=CHCOOCH3⇒ Chọn B.
CH2=CHCOOCH3 + NaOH → CH2=CHCOONa (Y) + CH3OH
CH2=CHCOONa + NaOH
CH2=CH2 + Na2CO3.
Câu 22: Đáp án D
Đáp án A loại vì HOOC-C6H4-CH=CH2 (X) tác dụng với NaOH cho hai muối và một nước.
• Đáp án B loại vì C6H5-CH=CH-COOH (Y) tác dụng với NaOH dư cho 1 muối và nước.
• Đáp án C loại vì HCOO-C6H4-CH=CH2 (X) tác dụng với NaOH cho hai muối và một nước;
HCOOCH=CH-C6H4 (Y) tác dụng với NaOH dư cho một muối và 1 anđehit.
• Đáp án D thỏa mãn.
C6H5COOCH=CH2 (X) + NaOH → C6H5COONa + CH3CHO
CH2=CH-COOC6H5 + 2NaOH → CH2=CH-COONa + C6H5ONa + H2O.
Câu 23: Đáp án C
nmantozo = 171 : 342 = 0,5 mol
Mantozơ
2 Glucozơ
H = 50% ⇒ nglucozơ = 0,5.2.50%= 0,5 mol
nmantozơ dư = 0,5.0,5 = 0,25 mol
nAg = 2nglucozơ + 2nmantozơ = 2.0,5 + 2.0,25 = 1,5
⇒ mAg = 1,5.108 = 162g.
Câu 24: Đáp án B
Những chất tham gia phản ứng thủy phân gồm đisaccarit và polisaccarit
Vậy Y: Saccarozơ; Z: Tinh bột; H: Xenlulozơ bị thủy phân.
Câu 25: Đáp án C
C12H22O11 + H2O → C6H12O6(glucozơ) + C6H12O6 (fructozơ)
Ta có:

Câu 26: Đáp án B
nAg = 0,2
Nếu chỉ có 1 chất (Y hoặc Z) tác dụng với AgNO3:

Nếu cả Y và Z đều tác dụng

Do cả 2 chất đều tác dụng nên CTCT của X là:đáp án D
Câu 27: Đáp án B
nX = nNaOH = 0,15 mol → MX = 13,2 : 0,15 = 88 → X là C4H8O2.
Có 4 CTCT thỏa mãn là HCOOCH2CH2CH3, HCOOCH(CH3)2, CH3COOCH2CH3, CH3CH2COOCH3.
Câu 28: Đáp án C
nNaOH = 0,05 mol.
Giả sử muối là RCOONa
nRCOONa = 0,05 mol ⇒ MRCOONa = 4,1 : 0,05 = 82 ⇒ MR = 15 ⇒ Muối là CH3COONa
Vậy X là CH3COOCH=CH2.
Đáp án A sai vì X không có phản ứng tráng bạc.
Đáp án B sai vì X không làm quỳ tím đổi màu.
Đáp án C thỏa mãn.
Đáp án D sai vì X không có phản ứng tráng bạc nhưng làm mất màu nước brom
Câu 29: Đáp án C
0,1 mol este X + 0,3 mol NaOH ⇒ X là este 3 chức.
6,35 gam X + 0,075 mol NaOH ⇒ 7,05 gam muối
nX = 0,075 : 3 = 0,025 mol, nancol = 0,025 mol
Theo BTKL: mancol = 6,35 + 3 - 7,05 = 2,3 gam
⇒ Mancol = 2,3 : 0,025 = 92 ⇒ glyxerol
⇒ X có dạng (RCOO)3C3H5
MX = 6,35 : 0,025 = 254 ⇒ MR = 27 ⇒ R là C2H3-
Vậy X là (C2H3COO)3C3H5
Câu 30: Đáp án D
Z + Cu(OH)2 → 0,05 mol ↓Cu2O
Vậy Z là anđehit (Z có số C ≥ 2 vì Z là sản phẩm của phản ứng thủy phân X)
⇒ nZ = 0,05 mol.
nX = nZ = 0,05 mol ⇒ MX = 4,3 : 0,05 = 86 ⇒ X là C4H6O2.
Mà X không tham gia phản ứng tráng bạc ⇒ X là CH3COOCH=CH2
⇒ mCH3COONa = 0,05 x 82 = 4,1 gam.
Sở Giáo dục và Đào tạo .....
Đề thi khảo sát chất lượng đầu năm
Năm 2025
Bài thi môn: Hóa học 12
Thời gian làm bài: 45 phút
(Đề thi số 10)
Câu 1: Dãy gồm các chất đều tác dụng với Cu(OH)2 là
A. Glucozơ, glixerin, mantozơ, axit axetic
B. Glucozơ, glixerin, mantozơ, natri axetat
C. Glucozơ, glixerin, anđehitfomic, natri axetat.
D. Glucozơ, glixerin, mantozơ, ancol etylic.
Câu 2: Ở trạng thái sinh lí bình thường, glucozơ trong máu người chiếm một tỉ lệ không đổi là:
A. 1,0 % B. 0,01 %
C. 0,1 % D. 10 %
Câu 3: Phát biểu đúng là
A. Phản ứng thủy phân este trong môi trường axit là phản ứng thuận nghịch.
B. Phản ứng giữa axit và ancol khi có H2SO4 đặc là phản ứng một chiều.
C. Tất cả các este phản ứng với dung dịch kiềm luôn thu được sản phẩm cuối cùng là muối và ancol.
D. Khi thủy phân chất béo luôn thu được C2H4(OH)2.
Câu 4: Nhóm chất đều tác dụng với dung dịch AgNO3/NH3 là
A. C3H5(OH)3, glucozơ, CH3CHO, C2H2
B. C2H2, C2H4, C2H6, HCHO
C. Glucozơ, C2H2, CH3CHO, HCOOH
D. C2H2, C2H5OH, glucozơ, HCOOH
Câu 5: Lên men 162 gam tinh bột với hiệu suất các quá trình lên men lần lượt là 80% và 90%. Biết khối lượng riêng của C2H5OH nguyên chất là 0,8 g/ml. Thể tích dung dịch rượu 40o thu được là
A. 115 ml. B. 230 ml.
C. 207 ml. D. 82,8 ml.
Câu 6: Thuỷ phân chất hữu cơ X trong dung dịch NaOH (dư), đun nóng, thu được sản phẩm gồm 2 muối và ancol etylic. Chất X là
A. CH3COOCH2CH3.
B. CH3COOCH2CH2Cl.
C. CH3COOCH(Cl)CH3.
D. ClCH2COOC2H5.
Câu 7: Cho sơ đồ sau: glucozơ → X → Y → anđehit axetic. Tên của Y là:
A. anđehit fomic B. etilen
C. axit propionic D. etanol
Câu 8: Khẳng định nào sau đây đúng?
A. Saccarozơ và mantozơ là đồng phân của nhau
B. Tinh bột và xenlulozơ là đồng phân của nhau
C. Fructozơ khong tham gia phản ứng tráng bạc trong dung dịch AgNO3 trong NH3
D. Saccarozơ và mantozơ không cho phản ứng thủy phân
Câu 9: Cho 10,2 gam một este đơn chức X tác dụng vừa đủ với 40 gam dung dịch NaOH 15%. Số đồng phân cấu tạo thỏa mãn điều kiện trên của X là
A. 3 B. 4
C. 5 D. 6
Câu 10: Đem glucozơ lên men điều chế ancol etylic (khối lượng riêng của ancol etylic nguyên chất là 0,8 g/ml), hiệu suất phản ứng lên men ancol etylic là 75%. Để thu được 80 lít rượu vang 120 thì khối lượng glucozơ cần dùng là
A. 24,3 (kg) B. 20(kg)
C. 21,5(kg) D. 25,2(kg).
Câu 11: Cho glixerin trioleat (hay triolein) lần lượt vào mỗi ống nghiệm chứa riêng biệt: Na, Cu(OH)2, CH3OH, dung dịch Br2, dung dịch NaOH. Trong điều kiện thích hợp, số phản ứng xảy ra là
A. 4 B. 2
C. 3 D. 5
Câu 12: Cho các phát biểu sau:
(a) Chất béo được gọi chung là triglixerit hay triaxylglixerol.
(b) Chất béo nhẹ hơn nước, không tan trong nước nhưng tan nhiều trong dung môi hữu cơ.
(c) Phản ứng thủy phân chất béo trong môi trường axit là phản ứng thuận nghịch.
(d) Tristearin, triolein có công thức lần lượt là: (C17H35COO)3C3H5, (C17H33COO)3C3H5.
Số phát biểu đúng là
A. 4 B. 1
C. 3 D. 2
Câu 13: Chia 200 gam dung dịch hỗn hợp glucozơ và fructozơ thành hai phần bằng nhau:
• Phần 1: Tác dụng với dung dịch AgNO3 trong NH3 dư thu được 86,4 gam Ag kết tủa
• Phần 2: Phản ứng vừa hết với 28,8 gam Br2 trong dung dịch.
Nồng độ phần trăm của fructozơ trong dung dịch ban đầu là
A. 39,6 % B. 16,2 %
C. 25,5 % D. 33,3 %
Câu 14: Cho chất X tác dụng với một lượng vừa đủ dung dịch NaOH, sau đó cô cạn dung dịch thu được chất rắn Y và chất hữu cơ Z. Cho Z tác dụng với AgNO3 trong dung dịch NH3 thu được chất hữu cơ T. Cho chất T tác dụng với dung dịch NaOH lại thu được chất Y. Chất X có thể là
A. HCOOCH3.
B. HCOOCH=CH2.
C. CH3COOCH=CH-CH3.
D. CH3COOCH=CH2.
Câu 15: Đốt cháy hoàn toàn m gam chất béo X (chứa triglixerit của axit stearic, axit panmitic và các axit béo tự do đó). Sau phản ứng thu được 6,72 lít CO2 (đktc) và 5,22 gam nước. Xà phòng hoá m gam X (H = 90%) thì thu được khối lượng glixerol là
A. 0,414 gam B. 1,242 gam
C. 0,828 gam D. 0,46 gam
Câu 16: Cho các chất sau: axit propionic (X), axit axetic (Y), ancol etylic (Z) và etyl propionat (T). Dãy gồm các chất được sắp xếp theo chiều tăng của nhiệt độ sôi là ?
A. Y, T, X, Z.
B. T, X, Y, Z.
C. T, Z, Y, X.
D. Z, T, Y, X.
Câu 17: Từ ancol etylic và các chất vô cơ cần thiết, ta có thể điều chế trực tiếp ra các chất nào sau đây ?
(1). Axit axetic; (2). Axetanđehit; (3). Buta-1,3-đien; (4). Etyl axetat.
A. (1), (2) và (3)
B. (1), (2) và (4)
C. (1), (3) và (4)
D. (1), (2), (3) và (4)
Câu 18: Có các nhận định sau:
(1) Axit salixylic còn có tên gọi khác là axit o-hiđroxibenzoic
(2) Axit oleic và axit linoleic là đồng phân của nhau
(3) Axit axetyl salixylic tác dụng được với dung dịch NaOH theo tỉ lệ 1:2 về số mol
(4) Khi thủy phân chất béo luôn thu được glixerol.
Số nhận định sai là
A. 1 B. 4
C. 2 D. 3
Câu 19: Tinh bột, xenlulozơ, saccarozơ, mantozơ đều có khả năng tham gia phản ứng
A. hoà tan Cu(OH)2.
B. trùng ngưng.
C. tráng gương.
D. Thủy phân.
Câu 20: Khi đốt cháy hoàn toàn một este no, đơn chức thì số mol CO2 sinh ra bằng số mol O2 đã phản ứng. Tên gọi của este là
A. metyl fomat.
B. etyl axetat.
C. metyl axetat.
D. n-propyl axetat.
Câu 21: Cho 2,5 kg glucozơ chứa 20% tạp chất lên men thành ancol etylic. Lượng ancol etylic thu được là bao nhiêu nếu ancol bị hao hụt mất 10% trong quá trình sản xuất?
A. 2 kg B. 0,92 kg
C. 1,8 kg D. 0,46 kg
Câu 22: Chỉ dùng duy nhất một thuốc thử nào dưới đây có thể phân biệt được 4 lọ mất nhãn chứa các chất sau: dung dịch glucozơ ; ancol etylic ; glixerol và anđehit axetic.
A. Cu(OH)2 B. Na
C. NaOH D. Ag2O/NH3
Câu 23: Xà phòng hoá một hợp chất có công thức phân tử C10H14O6 trong dung dịch NaOH (dư), thu được glixerol và hỗn hợp gồm ba muối (không có đồng phân hình học). Công thức của ba muối đó là
A. CH2=CH-COONa, CH3-CH2-COONa và HCOONa.
B. HCOONa, CH≡C-COONa và CH3-CH2-COONa.
C. CH2=CH-COONa, HCOONa và CH≡C-COONa.
D. CH3-COONa, HCOONa và CH3-CH=CH-COONa.
Câu 24: Trong quá trình chuyển hoá tinh bột trong cơ thể, chất nào sau đây không phải là sản phẩm của quá trình đó?
A. Đextrin B. Saccarozơ
C. Glicogen. D. Mantozơ.
Câu 25: Thuỷ phân este Z trong môi trường axit thu được hai chất hữu cơ X và Y (MX < MY). Bằng một phản ứng có thể chuyển hoá X thành Y. Chất Z không thể là
A. metyl propionat.
B. metyl axetat.
C. etyl axetat.
D. vinyl axetat.
Câu 26: Một hỗn hợp X gồm hai chất hữu cơ đơn chức. Cho X phản ứng vừa đủ với 500 ml dung dịch KOH 1M. Sau phản ứng, thu được hỗn hợp Y gồm hai muối của hai axit cacboxylic và một ancol. Cho toàn bộ lượng ancol thu được ở trên tác dụng với Na (dư), sinh ra 3,36 lít H2 (ở đktc). Hỗn hợp X gồm
A. một axit và một este.
B. một este và một ancol.
C. hai este.
D. một axit và một ancol.
Câu 27: Cho m gam một este E vào một lượng vừa đủ KOH đun nóng thu được dung dịch X. Cô cạn X thu được 16,5 gam muối khan của một axit đơn chức và 6,9 gam một ancol đơn chức Y. Cho toàn bộ Y tác dụng với Na dư thu được 1,68 lít khí (ở đktc). Tên của E là
A. etyl propionat
B. etyl acrylat
C. metyl metacrylat
D. etyl axetat
Câu 28: Cho các dung dịch chứa các chất tan : glucozơ, fructozơ, saccarozơ, mantozơ, axit fomic, glixerol, vinyl axetat, anđehit fomic. Những dung dịch vừa hoà tan Cu(OH)2 ở nhiệt độ thường, vừa làm mất màu nước brom là?
A. glucozơ, mantozơ, axit fomic, vinyl axetat
B. glucozơ, mantozơ, axit fomic
C. glucozơ, mantozơ, fructozơ, saccarozơ, axit fomic
D. fructozơ, vinyl axetat, anđehit fomic, glixerol, glucozơ, saccarozơ
Câu 19: Cho sơ đồ chuyển hoá:

Tên của Z là
A. axit oleic.
B. axit linoleic.
C. axit stearic.
D. axit panmitic.
Câu 30: Chất hữu cơ X có công thức phân tử C4H6O4 tác dụng với dung dịch NaOH (đun nóng) theo phương trình phản ứng: C4H6O4 + 2NaOH → 2Z + Y.
Để oxi hoá hết a mol Y thì cần vừa đủ 2a mol CuO (đun nóng), sau phản ứng tạo thành a mol chất T (biết Y, Z, T là các hợp chất hữu cơ). Khối lượng phân tử của T là
A. 44 đvC. B. 58 đvC.
C. 82 đvC. D. 118 đvC.
ĐÁP ÁN ĐỀ 10
Câu 1: Đáp án A
Nhận thấy muối natri axetat và ancol etylic không phản ứng với Cu(OH)2
Câu 2: Đáp án C
SGK Nâng cao trang 27 có đề cập là trong máu người trạng thái sinh lí bình thường có một lượng nhỏ glucozơ, hầu như không đổi, nồng độ khoảng 0,1%.
Câu 3: Đáp án A
Đáp án A đúng.
Đáp án B sai vì phản ứng giữa axit và ancol khi có H2SO4 đặc là phản ứng thuận nghịch.
Đáp án C sai vì ví dụ: este CH3COOCH=CH2 phản ứng với dung dịch kiềm thu được sản phẩm cuối cùng là muối và anđehit.
Đáp án D sai vì khi thủy phân chất béo luôn thu được C3H5(OH)3.
Câu 4: Đáp án C
Nhận thấy C3H3(OH)3, C2H4, C2H5OH không tham gia phản ứng với dung dịch AgNO3/NH3.
Chú ý: Glucozơ, CH3CHO, HCOOH tham gia phản ứng tráng bạc, C2H2 tham gia phản ứng thế với dung dịch AgNO3/NH3.
Câu 5: Đáp án C
(C6H10O5)n → nC6H12O6 → 2nC2H5OH .
Hiệu suất toàn bộ quá trình là H = 80%.90%.100% = 72%

Thể tích rượu C2H5OH 40o là:

Câu 6: Đáp án D
CH3COOCH2CH3 + NaOH → CH3COONa + CH3CH2OH
CH3COOCH2CH2Cl + 2NaOH -to→ CH3COONa + NaCl + C2H4(OH)2
CH3COOCH(Cl)CH3 + 2NaOH → CH3COONa + NaCl + CH3CHO + H2O
ClCH2COOC2H5 + 2NaOH → HOCH2COOH + NaCl + CH3CH2OH
⇒ X thỏa mãn là ClCH2COOC2H5.
Câu 7: Đáp án B
Sơ đồ phản ứng :
C6H12O6
C2H5OH
C2H4
CH3CHO
Câu 8: Đáp án A
Nhận thấy tinh bột và xenlulozơ có công thức tổng quát giống nhau (C6H10O5)n nhưng công thức phân tử khác nhau (do hệ số n khác nhau) ⇒ Loại B
Trong môi trường AgNO3 trong NH3 fructozơ chuyển hóa thành glucozơ nên fructozơ tham gia phản ứng tráng bạc ⇒ Loại C.
Saccarozơ và mantozơ là đisaccarit tham gia phản ứng thủy phân tạo monosacarit ⇒ Loại D
Câu 9: Đáp án B
Ta có nNaOH = 0,15 mol
Nếu X là este đơn chức của phenol ⇒ nX = 0,5nNaOH = 0,075 mol ⇒ MX = 136 (C8H8O2)
Các đồng phân thỏa mãn là HCOOC6H5-CH3 (o,p,m) và CH3COOC6H5
Nếu X là este đơn chức không chứa gốc phenol ⇒ nX = nNaOH = 0,15 mol ⇒ MX = 68. Không tìm được este đơn chức thỏa mãn.
Câu 10:
Phương trình phản ứng:
C6H12O6
2C2H5OH + 2CO2 (H = 75%).
Ta có: mC2H5OH = V.d = (80.103.12%).0,8 = 7680 g

Với H = 75% thì

mglucozơ = 111,3.180 = 20034 g = 20,034 kg.
Câu 11: Đáp án B
Trong điều kiện thích hợp, triolein phản ứng được với Br2 và NaOH:
(C17H33COO)3C3H5 + 3Br2 → (C17H33Br2COO)3C3H5
(C17H33COO)3C3H5 + 3NaOH → 3C17H33COONa + C3H5(OH)3
Câu 12: Đáp án A
Câu 13: Đáp án A
Phần 1:
Nhận thấy cho hỗn hợp glucozơ và fructozơ phản ứng với Br2 thì chỉ có glucozơ tham gia phản ứng → nBr2 = nglucozơ = 0,18 mol.
Phần 2:
Khi tác dụng với AgNO3 trong NH3 dư thì cả glucozơ và fructozơ tham gia phản ứng
⇒ nfructozơ + nglucozơ = 1/2 nAg⇒ nfructozơ = 1/2 .0,8 - 0,18 = 0,22 mol.
Nồng độ phần trăm của fructozơ trong dung dịch ban đầu là

Câu 14: Đáp án D
RCOOR1 + NaOH → RCOONa + R1OH
Z + AgNO3 → T
T + NaOH → Y
Do đó, Z và Y cùng số nguyên tử cacbon trong phân tử.
CH3COOCH=CH2 + NaOH → CH3COONa + CH3CHO
CH3CHO + 2AgNO3 + 4NH3 + H2O → CH3COONH4 + 2Ag↓ + 2NH4NO3.
CH3COONH4 + NaOH → CH3COONa + NH3 + H2O
Câu 15: Đáp án A
nCO2 = 0,3 mol; nH2O = 0,29 mol
Gọi công thức trung bình của triglixerit và axit tự do là (CnH2n + 1COO)3C3H5 và CnH2n + 1COOH với số mol lần lượt là x, y mol.
Ta có hpt:

⇒ x = 0,005 mol
ntriglixerit = nglixerol = 0,005 mol
H = 90% ⇒ mglixerol = 0,005.92.90% = 0,414 gam.
Câu 16: Đáp án C
Etyl propionat là hợp chất không chứ liên kết hiđro là chất có nhiệt độ sôi thấp nhất ⇒ nhiệt độ sôi của T < (X, Y, Z)
Do có nhóm – C=O hút e trong phân tử nên X, Y có độ bền liên kết hiđro lớn hơn trong ancol Z → nhiệt độ sôi của Z < (X, Y)
Do MX > MY⇒ nên nhiệt độ sôi của X > Y
Thứ tự nhiệt độ sôi của các chất là T < Z < Y < X.
Câu 17: Đáp án A
Từ ancol và các chất vô cơ cần thiết, ta có thể điều chế trực tiếp
(1) CH3COOH: C2H5OH + O2
CH3COOH + H2O
(2) CH3CH2OH + CuO
CH3CHO + Cu + H2O
(3) 2C2H5OH
CH2=CH-CH=CH2 + 2H2O + H2
CH3COOC2H5 điều chế trực tiếp từ C2H5OH và CH3COOH nên không thỏa mãn
Câu 18: Đáp án C
(2) sai vì axit oleic là C17H33COOH, axit linoleic là C17H31COOH nên hai chất không là đồng phân của nhau.
(3) sai vì axit axetyl salixylic tác dụng được với dung dịch NaOH theo tỉ lệ 1 : 3 về số mol:
o-CH3COO-C6H4-COOH + 3KOH → CH3COOK + KO-C6H4-COOK + 2H2O
(1), (4) đúng.
Ghi chú: Axit salixylic và Axit axetyl salixylic gặp trong bài tập 5 (trang 7) – SGK Hóa học 12 – nâng cao.
Câu 19: Đáp án D
Tinh bột, xenlulozơ là polisaccarit; saccarozơ, mantozơ là đisaccarit nên đều tham gia phản ứng thủy phân
Câu 20: Đáp án A
Giả sử este có dạng CnH2nO2
Ta có

Ta có:

⇒ C2H4O2⇒ HCOOCH3⇒ metyl fomat
Câu 21: Đáp án B
C6H12O6
2C2H5OH + 2CO2.
Khối lượng glucozơ nguyên chất có trong 2,5 kg là mglucozơ = 2,5.80% = 2 kg

Lượng ancol hao hụt mất 10% → Hiệu suất phản ứng là 90%.
Với hiệu suất 90% thì

⇒ mancol etylic = 20. 46 = 920g = 0,92 kg.
Câu 22: Đáp án A
Khi cho các dung dịch glucozơ; rượu etylic; glixerin và anđehit axetic vào Cu(OH)2 thì:
+ Dung dịch glucozơ ở nhiệt độ thường tạo dung dịch phức màu xanh lam, đun nóng tạo kết tủa đỏ gạch Cu2O.
+ Dung dịch glixerin ở nhiệt độ thường và nhiệt độ cao tạo dung dịch phức màu xanh lam
+ Dung dịch anđehit ở nhiệt độ thường không hiện tượng, nhiệt độ cao tạo kết tủa đỏ gạch.
+ Dung dịch etanol không hiện tượng ở nhiệt độ thường và nhiệt độ cao.
Câu 23: Đáp án A
C10H14O6 có độ bất bão hòa

Vì X là trieste nên trong mạch còn một nối đôi ⇒ loại B, C.
Vì ba muối không có đồng phân hình học ⇒ loại D.
Câu 24: Đáp án B
Quá trình thủy phân tinh bột trong cơ thể :


Câu 25: Đáp án A
Xét CH3CH2COOCH3
CH3CH2COOCH3 + H2O ⇆ CH3CH2COOH + CH3OH
Tuy nhiên từ CH3OH (X) không thể điều chế CH3CH2COOH (Y) bằng một phản ứng.
• Xét CH3COOCH3
CH3COOCH3 + H2O ⇆ CH3COOH + CH3OH
CH3OH (X) + CO
CH3COOH (Y)
Vậy Z có thể là CH3COOCH3.
• Xét CH3COOCH2CH3
CH3COOCH2CH3 + H2O ⇆ CH3COOH + CH3CH2OH
CH3CH2OH (X) + O2
CH3COOH (Y) + H2O
Vậy Z có thể là CH3COOCH2CH3
• Xét CH3COOCH=CH2
CH3COOCH=CH2 + H2O ⇆ CH3COOH + CH3CHO
2CH3CHO (X) + O2
2CH3COOH (Y)
Vậy Z có thể là CH3COOCH=CH2
Câu 26: Đáp án A
Hỗn hợp X gồm hai chất hữu cơ đơn chức.
X + 0,5 mol KOH ⇒ muối của hai axit cacboxylic và một ancol
Ancol + Na dư ⇒ 0,15 mol H2.
nKOH = 0,5 mol
nancol = 2.nH2 = 2.0,15 = 0,3 mol < nKOH
Chỉ có 1 chất phản ứng sinh ra rượu.
Mà thu được 2 muối ⇒ Có một chất là este và 1 chất là axit
Câu 27: Đáp án B
Giả sử E là RCOOR'
Cô cạn X thu được 16,5 gam muối RCOOK và 6,9 gam R'OH
2R'OH (0,15) + 2Na → 2R'ONa + H2 (0,075 mol)
⇒ MR'OH = 6,9 : 0,15 = 46 ⇒ MR' = 29 ⇒ R' là C2H5-.
nRCOOK = nR'OH = 0,15 mol ⇒ MRCOOK = 16,5 : 0,15 = 110 ⇒ MR = 27 ⇒ R là CH2=CH-
X + KOH → CH2=CHCOOK + CH3CH2OH
Vậy X là CH2=CHCOOCH2CH3: etyl acrylat
Câu 28: Đáp án B
Các chất vừa hòa tan được Cu(OH)2 ở nhiệt độ thường và làm mất màu dung dịch brom là: glucozơ; mantozơ; axit fomic.
Câu 29: Đáp án C
(C17H33COO)3C3H5 + 3H2
(C17H35COO)3C3H5 (X)
(C17H35COO)3C3H5 + 3NaOH
3C17H35COONa (Y) + C3H5(OH)3
C17H35COONa + HCl → C17H35COOH (Z) + NaCl
Vậy Z là C17H35COOH: axit stearic.
Câu 30: Đáp án B
C4H6O4 có độ bất bão hòa

Vậy X là đieste no, mạch hở.
Oxi hóa a mol Y cần vừa đủ 2a mol CuO → a mol T. Vậy Y là ancol hai chức.
Vậy X là HCOOCH2CH2OCOH
HCOOCH2CH2OCOH + 2NaOH → 2HCOONa (X) + CH2OH-CH2OH (Y)
CH2OH-CH2OH (Y) + 2CuO -to OHC-CHO (T) + 2Cu + 2H2O
OHC-CHO (T) có M = 58
..........................
..........................
..........................
Tải xuống để xem đề thi Hóa học 12 Giữa học kì 1 năm 2025 đầy đủ!
Xem thêm bộ đề thi Hóa học 12 mới năm 2025 chọn lọc khác:
- Đề thi Học kì 1 Hóa học 12 năm 2026 có đáp án (3 đề)
- Đề thi Hóa học 12 Giữa kì 2 trắc nghiệm năm 2026 có đáp án (3 đề)
- Đề thi Hóa học 12 Giữa kì 2 trắc nghiệm - tự luận năm 2026 có đáp án (5 đề)
- Đề thi Hóa học 12 Giữa kì 2 trắc nghiệm năm 2026 có đáp án (3 đề)
- Đề thi Hóa học 12 Giữa kì 2 trắc nghiệm - tự luận năm 2026 có đáp án (5 đề)
- Đề thi Hóa học 12 Học kì 2 trắc nghiệm năm 2026 có đáp án (3 đề)
- Đề thi Hóa học 12 Học kì 2 trắc nghiệm - tự luận năm 2026 có đáp án (5 đề)
Để học tốt lớp 12 các môn học sách mới:
- Giải bài tập Lớp 12 Kết nối tri thức
- Giải bài tập Lớp 12 Chân trời sáng tạo
- Giải bài tập Lớp 12 Cánh diều
Đã có app VietJack trên điện thoại, giải bài tập SGK, SBT Soạn văn, Văn mẫu, Thi online, Bài giảng....miễn phí. Tải ngay ứng dụng trên Android và iOS.
Theo dõi chúng tôi miễn phí trên mạng xã hội facebook và youtube:Nếu thấy hay, hãy động viên và chia sẻ nhé! Các bình luận không phù hợp với nội quy bình luận trang web sẽ bị cấm bình luận vĩnh viễn.
- Giáo án lớp 12 (các môn học)
- Giáo án điện tử lớp 12 (các môn học)
- Giáo án Toán 12
- Giáo án Ngữ văn 12
- Giáo án Vật Lí 12
- Giáo án Hóa học 12
- Giáo án Sinh học 12
- Giáo án Địa Lí 12
- Giáo án Lịch Sử 12
- Giáo án Lịch Sử 12 mới
- Giáo án GDCD 12
- Giáo án Kinh tế Pháp luật 12
- Giáo án Tin học 12
- Giáo án Công nghệ 12
- Giáo án GDQP 12
- Đề thi lớp 12 (các môn học)
- Đề thi Ngữ văn 12
- Đề thi Toán 12
- Đề thi Tiếng Anh 12 mới
- Đề thi Tiếng Anh 12
- Đề thi Vật Lí 12
- Đề thi Hóa học 12
- Đề thi Sinh học 12
- Đề thi Địa Lí 12
- Đề thi Lịch Sử 12
- Đề thi Giáo dục Kinh tế Pháp luật 12
- Đề thi Giáo dục quốc phòng 12
- Đề thi Tin học 12
- Đề thi Công nghệ 12


Giải bài tập SGK & SBT
Tài liệu giáo viên
Sách
Khóa học
Thi online
Hỏi đáp

