Đề cương ôn tập Học kì 2 Toán 8 trường THCS Phú Thị năm 2024-2025
Với đề cương ôn tập Học kì 2 Toán 8 năm 2024-2025 trường THCS Phú Thị, Hà Nội có đáp án sẽ giúp học sinh lớp 8 ôn tập và đạt điểm cao trong bài thi Toán 8.
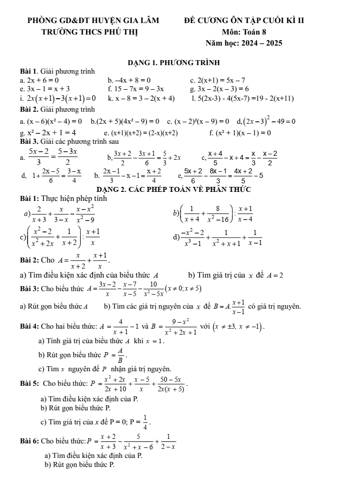
Đề cương ôn tập Học kì 2 Toán 8 trường THCS Phú Thị năm 2024-2025
Xem thử Đề cương ôn tập Toán 8 CK2 KNTT Xem thử Đề cương ôn tập Toán 8 CK2 CTST Xem thử Đề cương ôn tập Toán 8 CK2 CD
Chỉ từ 80k mua trọn bộ đề cương ôn tập Toán 8 Học kì 2 theo cấu trúc mới bản word có lời giải chi tiết, trình bày đẹp mắt, dễ dàng chỉnh sửa:
- B1: gửi phí vào tk:
1133836868- CT TNHH DAU TU VA DV GD VIETJACK - Ngân hàng MB (QR) - B2: Nhắn tin tới Zalo VietJack Official - nhấn vào đây để thông báo và nhận giáo án
Xem thử Đề cương ôn tập Toán 8 CK2 KNTT Xem thử Đề cương ôn tập Toán 8 CK2 CTST Xem thử Đề cương ôn tập Toán 8 CK2 CD
Xem thêm các đề cương ôn tập Học kì 2 Toán 8 có đáp án, hay khác:
Đề cương ôn tập Học kì 2 Toán 8 trường THCS Nguyễn Bỉnh Khiêm (Hà Nội) năm 2025-2026
Đề cương ôn tập Giữa kì 2 Toán 8 trường THCS Ngọc Thụy (Hà Nội) năm 2025-2026
Đề cương ôn tập Giữa kì 2 Toán 8 trường THCS Nguyễn Trường Tộ (Hà Nội) năm 2025-2026
Đề cương ôn tập Học kì 2 Toán 8 trường THCS Mạo Khê II năm 2024-2025
Đã có app VietJack trên điện thoại, giải bài tập SGK, SBT Soạn văn, Văn mẫu, Thi online, Bài giảng....miễn phí. Tải ngay ứng dụng trên Android và iOS.
Theo dõi chúng tôi miễn phí trên mạng xã hội facebook và youtube:Bộ đề thi các môn học lớp 8 năm 2025 Học kì 1, Học kì 2 của chúng tôi được biên soạn và sưu tầm từ đề thi khối lớp 8 của các trường THCS trên cả nước.
Nếu thấy hay, hãy động viên và chia sẻ nhé! Các bình luận không phù hợp với nội quy bình luận trang web sẽ bị cấm bình luận vĩnh viễn.
- Giải Tiếng Anh 8 Global Success
- Giải sgk Tiếng Anh 8 Smart World
- Giải sgk Tiếng Anh 8 Friends plus
- Lớp 8 - Kết nối tri thức
- Soạn văn 8 (hay nhất) - KNTT
- Soạn văn 8 (ngắn nhất) KNTT
- Giải sgk Toán 8 - KNTT
- Giải sgk Khoa học tự nhiên 8 - KNTT
- Giải sgk Lịch Sử 8 - KNTT
- Giải sgk Địa Lí 8 - KNTT
- Giải sgk Giáo dục công dân 8 - KNTT
- Giải sgk Tin học 8 - KNTT
- Giải sgk Công nghệ 8 - KNTT
- Giải sgk Hoạt động trải nghiệm 8 - KNTT
- Giải sgk Âm nhạc 8 - KNTT
- Lớp 8 - Chân trời sáng tạo
- Soạn văn 8 (hay nhất) - CTST
- Soạn văn 8 (ngắn nhất) - CTST
- Giải sgk Toán 8 - CTST
- Giải sgk Khoa học tự nhiên 8 - CTST
- Giải sgk Lịch Sử 8 - CTST
- Giải sgk Địa Lí 8 - CTST
- Giải sgk Giáo dục công dân 8 - CTST
- Giải sgk Tin học 8 - CTST
- Giải sgk Công nghệ 8 - CTST
- Giải sgk Hoạt động trải nghiệm 8 - CTST
- Giải sgk Âm nhạc 8 - CTST
- Lớp 8 - Cánh diều
- Soạn văn 8 Cánh diều (hay nhất)
- Soạn văn 8 Cánh diều (ngắn nhất)
- Giải sgk Toán 8 - Cánh diều
- Giải sgk Khoa học tự nhiên 8 - Cánh diều
- Giải sgk Lịch Sử 8 - Cánh diều
- Giải sgk Địa Lí 8 - Cánh diều
- Giải sgk Giáo dục công dân 8 - Cánh diều
- Giải sgk Tin học 8 - Cánh diều
- Giải sgk Công nghệ 8 - Cánh diều
- Giải sgk Hoạt động trải nghiệm 8 - Cánh diều
- Giải sgk Âm nhạc 8 - Cánh diều


Giải bài tập SGK & SBT
Tài liệu giáo viên
Sách
Khóa học
Thi online
Hỏi đáp

