Đề thi Giữa kì 2 Toán 8 trường THCS Đồi Ngô (Bắc Ninh) năm 2025-2026

Với đề thi Giữa kì 2 Toán 8 năm 2025-2026 trường THCS Đồi Ngô, Bắc Ninh có đáp án sẽ giúp học sinh lớp 8 ôn tập và đạt điểm cao trong bài thi Toán 8.

Đề thi Giữa kì 2 Toán 8 trường THCS Đồi Ngô (Bắc Ninh) năm 2025-2026

Xem thử Đề thi GK2 Toán 8 KNTT Xem thử Đề thi GK2 Toán 8 CTST Xem thử Đề thi GK2 Toán 8 CD

Chỉ từ 150k mua trọn bộ đề thi Toán 8 Giữa kì 2 theo cấu trúc mới bản word có lời giải chi tiết, dễ dàng chỉnh sửa:

Quảng cáo

Đề thi Giữa kì 2 Toán 8 trường THCS Đồi Ngô (Bắc Ninh) năm 2025-2026

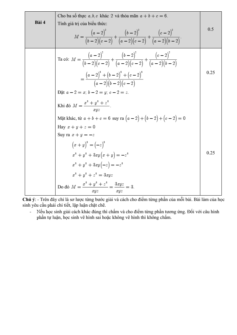
Đề thi Giữa kì 2 Toán 8 trường THCS Đồi Ngô (Bắc Ninh) năm 2025-2026

Đề thi Giữa kì 2 Toán 8 trường THCS Đồi Ngô (Bắc Ninh) năm 2025-2026

Đề thi Giữa kì 2 Toán 8 trường THCS Đồi Ngô (Bắc Ninh) năm 2025-2026

Đề thi Giữa kì 2 Toán 8 trường THCS Đồi Ngô (Bắc Ninh) năm 2025-2026

Đề thi Giữa kì 2 Toán 8 trường THCS Đồi Ngô (Bắc Ninh) năm 2025-2026

Đề thi Giữa kì 2 Toán 8 trường THCS Đồi Ngô (Bắc Ninh) năm 2025-2026

Xem thử Đề thi GK2 Toán 8 KNTT Xem thử Đề thi GK2 Toán 8 CTST Xem thử Đề thi GK2 Toán 8 CD

Xem thêm đề thi Toán 8 Giữa kì 2 các trường trên cả nước hay khác:

Đã có app VietJack trên điện thoại, giải bài tập SGK, SBT Soạn văn, Văn mẫu, Thi online, Bài giảng....miễn phí. Tải ngay ứng dụng trên Android và iOS.

Theo dõi chúng tôi miễn phí trên mạng xã hội facebook và youtube:

Bộ đề thi các môn học lớp 8 năm 2025 Học kì 1, Học kì 2 của chúng tôi được biên soạn và sưu tầm từ đề thi khối lớp 8 của các trường THCS trên cả nước.

Nếu thấy hay, hãy động viên và chia sẻ nhé! Các bình luận không phù hợp với nội quy bình luận trang web sẽ bị cấm bình luận vĩnh viễn.


Giải bài tập lớp 8 sách mới các môn học