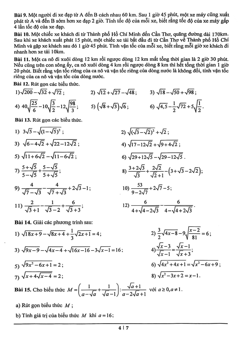
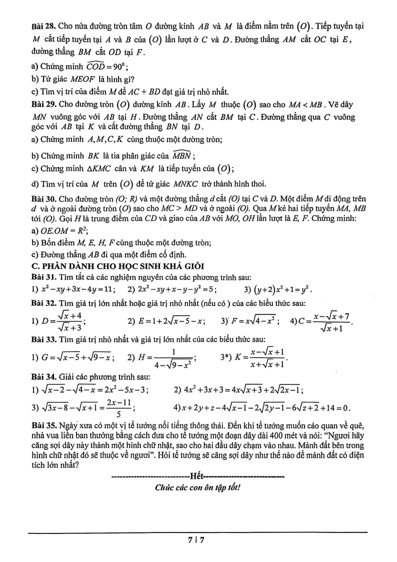
Đề cương ôn tập Học kì 1 Toán 9 trường THCS và THPT M.V. Lô-mô-nô-xốp năm 2026-2026
Với đề cương ôn tập Học kì 1 Toán 9 năm 2026-2026 trường THCS và THPT M.V. Lô-mô-nô-xốp, Hà Nội có đáp án sẽ giúp học sinh lớp 9 ôn tập và đạt điểm cao trong bài thi Toán 9.
Đề cương ôn tập Học kì 1 Toán 9 trường THCS và THPT M.V. Lô-mô-nô-xốp năm 2026-2026
Xem thử Đề cương Toán 9 CK1 KNTT Xem thử Đề cương Toán 9 CK1 CTST Xem thử Đề cương Toán 9 CK1 CD
Chỉ từ 80k mua trọn bộ đề cương ôn tập Toán 9 Học kì 1 theo cấu trúc mới bản word có lời giải chi tiết, trình bày đẹp mắt, dễ dàng chỉnh sửa:
- B1: gửi phí vào tk:
1133836868- CT TNHH DAU TU VA DV GD VIETJACK - Ngân hàng MB (QR) - B2: Nhắn tin tới Zalo VietJack Official - nhấn vào đây để thông báo và nhận giáo án
Xem thử Đề cương Toán 9 CK1 KNTT Xem thử Đề cương Toán 9 CK1 CTST Xem thử Đề cương Toán 9 CK1 CD
Xem thêm các đề cương ôn tập Học kì 1 Toán 9 có đáp án, hay khác:
Đề cương ôn tập Học kì 1 Toán 9 trường THCS Hoàng Hoa Thám năm 2026-2026
Đề cương ôn tập Học kì 1 Toán 9 trường THCS Ái Mộ năm 2026-2026
Đề cương ôn tập Học kì 1 Toán 9 trường THCS Nguyễn Bỉnh Khiêm năm 2024-2025
Đề cương ôn tập Học kì 1 Toán 9 trường THCS Lê Quý Đôn năm 2024-2025
Tủ sách VIETJACK luyện thi vào 10 cho 2k11 (2026):
Đã có app VietJack trên điện thoại, giải bài tập SGK, SBT Soạn văn, Văn mẫu, Thi online, Bài giảng....miễn phí. Tải ngay ứng dụng trên Android và iOS.
Theo dõi chúng tôi miễn phí trên mạng xã hội facebook và youtube:Loạt bài Đề thi các môn học lớp 9 năm 2025 học kì 1 và học kì 2 được biên soạn bám sát cấu trúc ra đề thi mới Tự luận và Trắc nghiệm giúp bạn giành được điểm cao trong các bài thi lớp 9.
Nếu thấy hay, hãy động viên và chia sẻ nhé! Các bình luận không phù hợp với nội quy bình luận trang web sẽ bị cấm bình luận vĩnh viễn.
- Giáo án lớp 9 (các môn học)
- Giáo án điện tử lớp 9 (các môn học)
- Giáo án Toán 9
- Giáo án Ngữ văn 9
- Giáo án Tiếng Anh 9
- Giáo án Khoa học tự nhiên 9
- Giáo án Vật Lí 9
- Giáo án Hóa học 9
- Giáo án Sinh học 9
- Giáo án Địa Lí 9
- Giáo án Lịch Sử 9
- Giáo án GDCD 9
- Giáo án Tin học 9
- Giáo án Công nghệ 9
- Đề thi lớp 9 (các môn học)
- Đề thi Ngữ Văn 9 (có đáp án)
- Đề thi Toán 9 (có đáp án)
- Đề thi Tiếng Anh 9 mới (có đáp án)
- Đề thi Tiếng Anh 9 (có đáp án)
- Đề thi Khoa học tự nhiên 9 (có đáp án)
- Đề thi Lịch Sử và Địa Lí 9 (có đáp án)
- Đề thi GDCD 9 (có đáp án)
- Đề thi Tin học 9 (có đáp án)
- Đề thi Công nghệ 9 (có đáp án)


Giải bài tập SGK & SBT
Tài liệu giáo viên
Sách
Khóa học
Thi online
Hỏi đáp

